Номер 361, страница 214 - гдз по алгебре 11 класс учебник Арефьева, Пирютко

Алгебра, 11 класс Учебник, авторы: Арефьева Ирина Глебовна, Пирютко Ольга Николаевна, издательство Народная асвета, Минск, 2020, бирюзового цвета

Авторы: Арефьева И. Г., Пирютко О. Н.

Тип: Учебник

Издательство: Народная асвета

Год издания: 2020 - 2026

Цвет обложки: бирюзовый, зелёный с графиком

ISBN: 978-985-03-3165-6

Популярные ГДЗ в 11 классе

Упражнения для итогового повторения. Функции и их свойства - номер 361, страница 214.

№361 (с. 214)
Условие. №361 (с. 214)
скриншот условия
Алгебра, 11 класс Учебник, авторы: Арефьева Ирина Глебовна, Пирютко Ольга Николаевна, издательство Народная асвета, Минск, 2020, бирюзового цвета, страница 214, номер 361, Условие

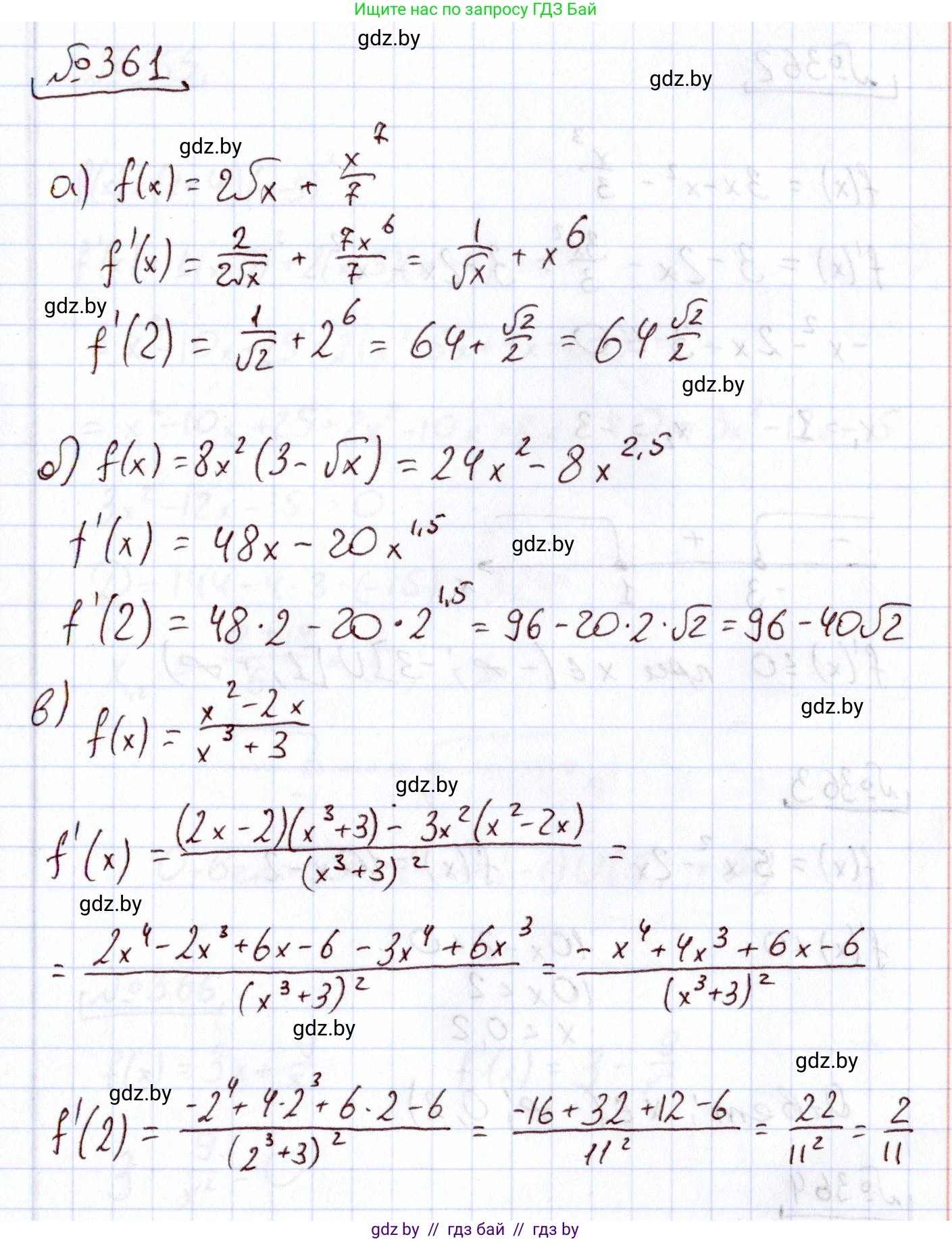
361. Найдите $f'(2)$, если:

a) $f(x) = 2\sqrt{x} + \frac{x^7}{7}$;

б) $f(x) = 8x^2(3-\sqrt{x})$;

в) $f(x) = \frac{x^2 - 2x}{x^3 + 3}$.

Решение. №361 (с. 214)
Алгебра, 11 класс Учебник, авторы: Арефьева Ирина Глебовна, Пирютко Ольга Николаевна, издательство Народная асвета, Минск, 2020, бирюзового цвета, страница 214, номер 361, Решение
Решение 2. №361 (с. 214)

а) Дана функция $f(x) = 2\sqrt{x} + \frac{x^7}{7}$.

Для нахождения производной сначала перепишем функцию, представив корень как степень:

$f(x) = 2x^{1/2} + \frac{1}{7}x^7$.

Теперь найдем производную, используя правило дифференцирования суммы и степенной функции $(x^n)' = nx^{n-1}$:

$f'(x) = (2x^{1/2} + \frac{1}{7}x^7)' = 2 \cdot (x^{1/2})' + \frac{1}{7} \cdot (x^7)' = 2 \cdot \frac{1}{2}x^{1/2 - 1} + \frac{1}{7} \cdot 7x^{7-1} = x^{-1/2} + x^6$.

Запишем производную в более привычном виде:

$f'(x) = \frac{1}{\sqrt{x}} + x^6$.

Теперь найдем значение производной в точке $x=2$:

$f'(2) = \frac{1}{\sqrt{2}} + 2^6 = \frac{\sqrt{2}}{2} + 64$.

Ответ: $64 + \frac{\sqrt{2}}{2}$.

б) Дана функция $f(x) = 8x^2(3 - \sqrt{x})$.

Сначала раскроем скобки, чтобы упростить выражение. Напомним, что $\sqrt{x} = x^{1/2}$.

$f(x) = 8x^2 \cdot 3 - 8x^2 \cdot \sqrt{x} = 24x^2 - 8x^2 \cdot x^{1/2} = 24x^2 - 8x^{2+1/2} = 24x^2 - 8x^{5/2}$.

Теперь найдем производную, используя правило дифференцирования степенной функции:

$f'(x) = (24x^2 - 8x^{5/2})' = 24 \cdot 2x^{2-1} - 8 \cdot \frac{5}{2}x^{5/2 - 1} = 48x - 20x^{3/2}$.

Выражение $x^{3/2}$ можно записать как $x\sqrt{x}$, тогда $f'(x) = 48x - 20x\sqrt{x}$.

Подставим $x=2$ в выражение для производной:

$f'(2) = 48 \cdot 2 - 20 \cdot 2\sqrt{2} = 96 - 40\sqrt{2}$.

Ответ: $96 - 40\sqrt{2}$.

в) Дана функция $f(x) = \frac{x^2 - 2x}{x^3 + 3}$.

Для нахождения производной частного используем правило: $(\frac{u}{v})' = \frac{u'v - uv'}{v^2}$.

В нашем случае $u(x) = x^2 - 2x$ и $v(x) = x^3 + 3$.

Найдем их производные:

$u'(x) = (x^2 - 2x)' = 2x - 2$.

$v'(x) = (x^3 + 3)' = 3x^2$.

Подставим эти выражения в формулу для производной частного:

$f'(x) = \frac{(2x - 2)(x^3 + 3) - (x^2 - 2x)(3x^2)}{(x^3 + 3)^2}$.

Чтобы найти $f'(2)$, подставим $x=2$ в полученное выражение:

$f'(2) = \frac{(2\cdot2 - 2)(2^3 + 3) - (2^2 - 2\cdot2)(3\cdot2^2)}{(2^3 + 3)^2}$.

Вычислим значения выражений в числителе и знаменателе:

$2\cdot2 - 2 = 4 - 2 = 2$

$2^3 + 3 = 8 + 3 = 11$

$2^2 - 2\cdot2 = 4 - 4 = 0$

Знаменатель: $(2^3 + 3)^2 = 11^2 = 121$.

Подставим вычисленные значения обратно в формулу:

$f'(2) = \frac{2 \cdot 11 - 0 \cdot (3 \cdot 4)}{121} = \frac{22 - 0}{121} = \frac{22}{121}$.

Сократим полученную дробь на 11:

$\frac{22}{121} = \frac{2 \cdot 11}{11 \cdot 11} = \frac{2}{11}$.

Ответ: $\frac{2}{11}$.

Помогло решение? Оставьте отзыв в комментариях ниже.

Присоединяйтесь к Телеграм-группе @gdz_by_belarus

Присоединиться

Мы подготовили для вас ответ c подробным объяснением домашего задания по алгебре за 11 класс, для упражнения номер 361 расположенного на странице 214 к учебнику 2020 года издания для учащихся школ и гимназий.

Теперь на нашем сайте ГДЗ.ТОП вы всегда легко и бесплатно найдёте условие с правильным ответом на вопрос «Как решить ДЗ» и «Как сделать» задание по алгебре к упражнению №361 (с. 214), авторов: Арефьева (Ирина Глебовна), Пирютко (Ольга Николаевна), учебного пособия издательства Народная асвета.