Номер 358, страница 213 - гдз по алгебре 11 класс учебник Арефьева, Пирютко

Алгебра, 11 класс Учебник, авторы: Арефьева Ирина Глебовна, Пирютко Ольга Николаевна, издательство Народная асвета, Минск, 2020, бирюзового цвета

Авторы: Арефьева И. Г., Пирютко О. Н.

Тип: Учебник

Издательство: Народная асвета

Год издания: 2020 - 2026

Цвет обложки: бирюзовый, зелёный с графиком

ISBN: 978-985-03-3165-6

Популярные ГДЗ в 11 классе

Упражнения для итогового повторения. Функции и их свойства - номер 358, страница 213.

№358 (с. 213)
Условие. №358 (с. 213)
скриншот условия
Алгебра, 11 класс Учебник, авторы: Арефьева Ирина Глебовна, Пирютко Ольга Николаевна, издательство Народная асвета, Минск, 2020, бирюзового цвета, страница 213, номер 358, Условие

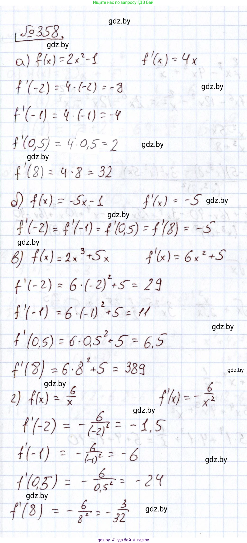
358. Вычислите производную функции в точках $x = -2; -1; 0,5; 8;$:

а) $f(x) = 2x^2 - 1;$

б) $f(x) = -5x - 1;$

в) $f(x) = 2x^3 + 5x;$

г) $f(x) = \frac{6}{x}.$

Решение. №358 (с. 213)
Алгебра, 11 класс Учебник, авторы: Арефьева Ирина Глебовна, Пирютко Ольга Николаевна, издательство Народная асвета, Минск, 2020, бирюзового цвета, страница 213, номер 358, Решение
Решение 2. №358 (с. 213)

а) Дана функция $f(x) = 2x^2 - 1$.

Сначала найдем производную функции. Используем правило дифференцирования степенной функции $(x^n)' = nx^{n-1}$ и то, что производная константы равна нулю.

$f'(x) = (2x^2 - 1)' = (2x^2)' - (1)' = 2 \cdot 2x^{2-1} - 0 = 4x$.

Теперь вычислим значения производной в заданных точках.

При $x = -2$:

$f'(-2) = 4 \cdot (-2) = -8$.

При $x = -1$:

$f'(-1) = 4 \cdot (-1) = -4$.

При $x = 0,5$:

$f'(0,5) = 4 \cdot 0,5 = 2$.

При $x = 8$:

$f'(8) = 4 \cdot 8 = 32$.

Ответ: $f'(-2) = -8$; $f'(-1) = -4$; $f'(0,5) = 2$; $f'(8) = 32$.

б) Дана функция $f(x) = -5x - 1$.

Найдем производную функции. Это линейная функция, ее производная - это угловой коэффициент.

$f'(x) = (-5x - 1)' = (-5x)' - (1)' = -5 \cdot 1 - 0 = -5$.

Производная является константой, поэтому ее значение одинаково для любого $x$.

$f'(-2) = -5$
$f'(-1) = -5$
$f'(0,5) = -5$
$f'(8) = -5$

Ответ: $f'(-2) = -5$; $f'(-1) = -5$; $f'(0,5) = -5$; $f'(8) = -5$.

в) Дана функция $f(x) = 2x^3 + 5x$.

Найдем производную функции, используя правило суммы и правило дифференцирования степенной функции.

$f'(x) = (2x^3 + 5x)' = (2x^3)' + (5x)' = 2 \cdot 3x^{3-1} + 5 \cdot 1 = 6x^2 + 5$.

Теперь вычислим значения производной в заданных точках.

При $x = -2$:

$f'(-2) = 6 \cdot (-2)^2 + 5 = 6 \cdot 4 + 5 = 24 + 5 = 29$.

При $x = -1$:

$f'(-1) = 6 \cdot (-1)^2 + 5 = 6 \cdot 1 + 5 = 6 + 5 = 11$.

При $x = 0,5$:

$f'(0,5) = 6 \cdot (0,5)^2 + 5 = 6 \cdot 0,25 + 5 = 1,5 + 5 = 6,5$.

При $x = 8$:

$f'(8) = 6 \cdot (8)^2 + 5 = 6 \cdot 64 + 5 = 384 + 5 = 389$.

Ответ: $f'(-2) = 29$; $f'(-1) = 11$; $f'(0,5) = 6,5$; $f'(8) = 389$.

г) Дана функция $f(x) = \frac{6}{x}$.

Для нахождения производной представим функцию в виде $f(x) = 6x^{-1}$.

Используем правило дифференцирования степенной функции $(x^n)' = nx^{n-1}$.

$f'(x) = (6x^{-1})' = 6 \cdot (-1)x^{-1-1} = -6x^{-2} = -\frac{6}{x^2}$.

Теперь вычислим значения производной в заданных точках.

При $x = -2$:

$f'(-2) = -\frac{6}{(-2)^2} = -\frac{6}{4} = -1,5$.

При $x = -1$:

$f'(-1) = -\frac{6}{(-1)^2} = -\frac{6}{1} = -6$.

При $x = 0,5$:

$f'(0,5) = -\frac{6}{(0,5)^2} = -\frac{6}{0,25} = -24$.

При $x = 8$:

$f'(8) = -\frac{6}{8^2} = -\frac{6}{64} = -\frac{3}{32}$.

Ответ: $f'(-2) = -1,5$; $f'(-1) = -6$; $f'(0,5) = -24$; $f'(8) = -\frac{3}{32}$.

Помогло решение? Оставьте отзыв в комментариях ниже.

Присоединяйтесь к Телеграм-группе @gdz_by_belarus

Присоединиться

Мы подготовили для вас ответ c подробным объяснением домашего задания по алгебре за 11 класс, для упражнения номер 358 расположенного на странице 213 к учебнику 2020 года издания для учащихся школ и гимназий.

Теперь на нашем сайте ГДЗ.ТОП вы всегда легко и бесплатно найдёте условие с правильным ответом на вопрос «Как решить ДЗ» и «Как сделать» задание по алгебре к упражнению №358 (с. 213), авторов: Арефьева (Ирина Глебовна), Пирютко (Ольга Николаевна), учебного пособия издательства Народная асвета.