Номер 434, страница 225 - гдз по алгебре 11 класс учебник Арефьева, Пирютко

Алгебра, 11 класс Учебник, авторы: Арефьева Ирина Глебовна, Пирютко Ольга Николаевна, издательство Народная асвета, Минск, 2020, бирюзового цвета

Авторы: Арефьева И. Г., Пирютко О. Н.

Тип: Учебник

Издательство: Народная асвета

Год издания: 2020 - 2026

Цвет обложки: бирюзовый, зелёный с графиком

ISBN: 978-985-03-3165-6

Популярные ГДЗ в 11 классе

Упражнения для итогового повторения. Функции и их свойства - номер 434, страница 225.

№434 (с. 225)
Условие. №434 (с. 225)
скриншот условия
Алгебра, 11 класс Учебник, авторы: Арефьева Ирина Глебовна, Пирютко Ольга Николаевна, издательство Народная асвета, Минск, 2020, бирюзового цвета, страница 225, номер 434, Условие

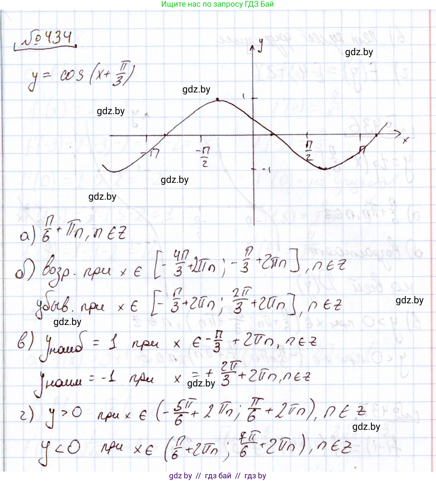
434. Постройте график функции $y = \cos \left(x + \frac{\pi}{3}\right)$. Пользуясь графиком, определите:

а) нули функции;

б) промежутки монотонности функции;

в) наибольшее и наименьшее значения функции и значения аргумента, при которых они достигаются;

г) промежутки знакопостоянства функции.

Решение. №434 (с. 225)
Алгебра, 11 класс Учебник, авторы: Арефьева Ирина Глебовна, Пирютко Ольга Николаевна, издательство Народная асвета, Минск, 2020, бирюзового цвета, страница 225, номер 434, Решение
Решение 2. №434 (с. 225)

Для построения графика функции $y = \cos(x + \frac{\pi}{3})$ воспользуемся преобразованием графика функции $y = \cos(x)$. График искомой функции получается путем сдвига (параллельного переноса) графика $y = \cos(x)$ вдоль оси абсцисс (Ox) на $\frac{\pi}{3}$ влево.

Построим график. Сначала изобразим график $y = \cos(x)$ (пунктирная линия), а затем сдвинем его на $\frac{\pi}{3}$ влево, чтобы получить график $y = \cos(x + \frac{\pi}{3})$ (сплошная линия).

y x 1 -1 0 y=cos(x) y=cos(x+π/3)

Пользуясь графиком и подтверждая вычислениями, определим свойства функции.

а) нули функции;

Нули функции — это значения аргумента $x$, при которых значение функции $y$ равно нулю. На графике это точки пересечения с осью Ox. Чтобы найти их, решим уравнение:

$y = 0 \implies \cos(x + \frac{\pi}{3}) = 0$

Уравнение $\cos(t) = 0$ имеет решения $t = \frac{\pi}{2} + \pi k$, где $k \in \mathbb{Z}$ ( $\mathbb{Z}$ — множество целых чисел).

Подставим $t = x + \frac{\pi}{3}$:

$x + \frac{\pi}{3} = \frac{\pi}{2} + \pi k$

$x = \frac{\pi}{2} - \frac{\pi}{3} + \pi k$

$x = \frac{3\pi - 2\pi}{6} + \pi k$

$x = \frac{\pi}{6} + \pi k, \quad k \in \mathbb{Z}$

Ответ: $x = \frac{\pi}{6} + \pi k, k \in \mathbb{Z}$.

б) промежутки монотонности функции;

Промежутки монотонности — это интервалы, на которых функция только возрастает или только убывает. Для функции $y = \cos(t)$ известно, что она возрастает на отрезках $[\pi + 2\pi k, 2\pi + 2\pi k]$ и убывает на отрезках $[2\pi k, \pi + 2\pi k]$, где $k \in \mathbb{Z}$.

Промежутки возрастания:

$\pi + 2\pi k \le x + \frac{\pi}{3} \le 2\pi + 2\pi k$

$\pi - \frac{\pi}{3} + 2\pi k \le x \le 2\pi - \frac{\pi}{3} + 2\pi k$

$\frac{2\pi}{3} + 2\pi k \le x \le \frac{5\pi}{3} + 2\pi k$

Функция возрастает на отрезках $[\frac{2\pi}{3} + 2\pi k, \frac{5\pi}{3} + 2\pi k], k \in \mathbb{Z}$.

Промежутки убывания:

$2\pi k \le x + \frac{\pi}{3} \le \pi + 2\pi k$

$-\frac{\pi}{3} + 2\pi k \le x \le \pi - \frac{\pi}{3} + 2\pi k$

$-\frac{\pi}{3} + 2\pi k \le x \le \frac{2\pi}{3} + 2\pi k$

Функция убывает на отрезках $[-\frac{\pi}{3} + 2\pi k, \frac{2\pi}{3} + 2\pi k], k \in \mathbb{Z}$.

Ответ: функция возрастает на отрезках $[\frac{2\pi}{3} + 2\pi k, \frac{5\pi}{3} + 2\pi k]$ и убывает на отрезках $[-\frac{\pi}{3} + 2\pi k, \frac{2\pi}{3} + 2\pi k]$ для всех $k \in \mathbb{Z}$.

в) наибольшее и наименьшее значения функции и значения аргумента, при которых они достигаются;

Область значений функции косинус - отрезок $[-1, 1]$. Сдвиг графика вдоль оси Ox не меняет область значений.

Наибольшее значение:

$y_{max} = 1$. Оно достигается, когда $\cos(x + \frac{\pi}{3}) = 1$.

$x + \frac{\pi}{3} = 2\pi k$

$x = -\frac{\pi}{3} + 2\pi k, \quad k \in \mathbb{Z}$

Наименьшее значение:

$y_{min} = -1$. Оно достигается, когда $\cos(x + \frac{\pi}{3}) = -1$.

$x + \frac{\pi}{3} = \pi + 2\pi k$

$x = \pi - \frac{\pi}{3} + 2\pi k = \frac{2\pi}{3} + 2\pi k, \quad k \in \mathbb{Z}$

Ответ: наибольшее значение $y_{max} = 1$ достигается при $x = -\frac{\pi}{3} + 2\pi k, k \in \mathbb{Z}$; наименьшее значение $y_{min} = -1$ достигается при $x = \frac{2\pi}{3} + 2\pi k, k \in \mathbb{Z}$.

г) промежутки знакопостоянства функции.

Промежутки знакопостоянства - это интервалы, на которых функция принимает только положительные или только отрицательные значения.

Функция положительна ($y > 0$):

$\cos(x + \frac{\pi}{3}) > 0$. Это выполняется, когда аргумент косинуса находится в интервале $(-\frac{\pi}{2} + 2\pi k, \frac{\pi}{2} + 2\pi k)$.

$-\frac{\pi}{2} + 2\pi k < x + \frac{\pi}{3} < \frac{\pi}{2} + 2\pi k$

$-\frac{\pi}{2} - \frac{\pi}{3} + 2\pi k < x < \frac{\pi}{2} - \frac{\pi}{3} + 2\pi k$

$-\frac{5\pi}{6} + 2\pi k < x < \frac{\pi}{6} + 2\pi k, \quad k \in \mathbb{Z}$

Функция отрицательна ($y < 0$):

$\cos(x + \frac{\pi}{3}) < 0$. Это выполняется, когда аргумент косинуса находится в интервале $(\frac{\pi}{2} + 2\pi k, \frac{3\pi}{2} + 2\pi k)$.

$\frac{\pi}{2} + 2\pi k < x + \frac{\pi}{3} < \frac{3\pi}{2} + 2\pi k$

$\frac{\pi}{2} - \frac{\pi}{3} + 2\pi k < x < \frac{3\pi}{2} - \frac{\pi}{3} + 2\pi k$

$\frac{\pi}{6} + 2\pi k < x < \frac{7\pi}{6} + 2\pi k, \quad k \in \mathbb{Z}$

Ответ: функция положительна на интервалах $(-\frac{5\pi}{6} + 2\pi k, \frac{\pi}{6} + 2\pi k)$ и отрицательна на интервалах $(\frac{\pi}{6} + 2\pi k, \frac{7\pi}{6} + 2\pi k)$ для всех $k \in \mathbb{Z}$.

Помогло решение? Оставьте отзыв в комментариях ниже.

Присоединяйтесь к Телеграм-группе @gdz_by_belarus

Присоединиться

Мы подготовили для вас ответ c подробным объяснением домашего задания по алгебре за 11 класс, для упражнения номер 434 расположенного на странице 225 к учебнику 2020 года издания для учащихся школ и гимназий.

Теперь на нашем сайте ГДЗ.ТОП вы всегда легко и бесплатно найдёте условие с правильным ответом на вопрос «Как решить ДЗ» и «Как сделать» задание по алгебре к упражнению №434 (с. 225), авторов: Арефьева (Ирина Глебовна), Пирютко (Ольга Николаевна), учебного пособия издательства Народная асвета.