Номер 436, страница 225 - гдз по алгебре 11 класс учебник Арефьева, Пирютко

Алгебра, 11 класс Учебник, авторы: Арефьева Ирина Глебовна, Пирютко Ольга Николаевна, издательство Народная асвета, Минск, 2020, бирюзового цвета

Авторы: Арефьева И. Г., Пирютко О. Н.

Тип: Учебник

Издательство: Народная асвета

Год издания: 2020 - 2026

Цвет обложки: бирюзовый, зелёный с графиком

ISBN: 978-985-03-3165-6

Популярные ГДЗ в 11 классе

Упражнения для итогового повторения. Функции и их свойства - номер 436, страница 225.

№436 (с. 225)
Условие. №436 (с. 225)
скриншот условия
Алгебра, 11 класс Учебник, авторы: Арефьева Ирина Глебовна, Пирютко Ольга Николаевна, издательство Народная асвета, Минск, 2020, бирюзового цвета, страница 225, номер 436, Условие

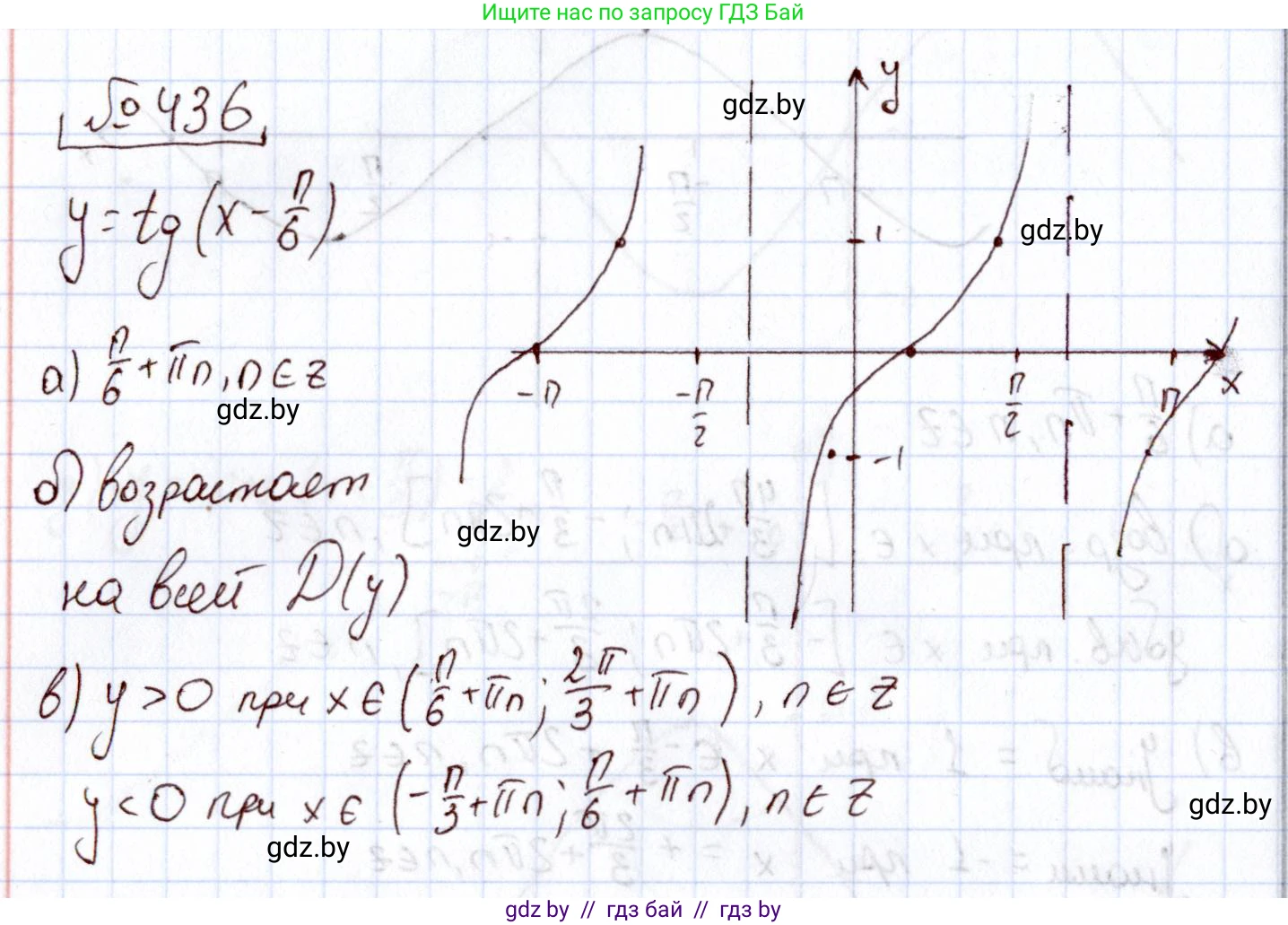
436. Постройте график функции $y = \operatorname{tg}(x - \frac{\pi}{6})$. Пользуясь графиком, определите:

а) нули функции;

б) промежутки монотонности функции;

в) промежутки знакопостоянства функции.

Решение. №436 (с. 225)
Алгебра, 11 класс Учебник, авторы: Арефьева Ирина Глебовна, Пирютко Ольга Николаевна, издательство Народная асвета, Минск, 2020, бирюзового цвета, страница 225, номер 436, Решение
Решение 2. №436 (с. 225)

Для построения графика функции $y = \text{tg}(x - \frac{\pi}{6})$ воспользуемся преобразованием графика основной функции $y = \text{tg}(x)$. График искомой функции получается из графика $y = \text{tg}(x)$ путем параллельного переноса (сдвига) вдоль оси абсцисс на $\frac{\pi}{6}$ вправо.

Сначала определим основные характеристики для смещенного графика. Период тангенса $T=\pi$ при сдвиге не меняется.

Вертикальные асимптоты для $y = \text{tg}(x)$ находятся в точках $x = \frac{\pi}{2} + \pi k, k \in \mathbb{Z}$. После сдвига на $\frac{\pi}{6}$ вправо асимптоты для функции $y = \text{tg}(x - \frac{\pi}{6})$ будут в точках $x = \frac{\pi}{2} + \frac{\pi}{6} + \pi k = \frac{3\pi+\pi}{6} + \pi k = \frac{4\pi}{6} + \pi k = \frac{2\pi}{3} + \pi k, k \in \mathbb{Z}$.

Нули функции $y = \text{tg}(x)$ находятся в точках $x = \pi k, k \in \mathbb{Z}$. После сдвига на $\frac{\pi}{6}$ вправо нули функции $y = \text{tg}(x - \frac{\pi}{6})$ будут в точках $x = \frac{\pi}{6} + \pi k, k \in \mathbb{Z}$.

График представляет собой бесконечную последовательность возрастающих ветвей, разделенных вертикальными асимптотами. Используя эти данные, ответим на вопросы.

а) нули функции;

Нули функции – это значения $x$, при которых $y=0$. Для этого необходимо решить уравнение:

$\text{tg}(x - \frac{\pi}{6}) = 0$

Тангенс равен нулю, когда его аргумент равен $\pi k$, где $k$ – любое целое число ($k \in \mathbb{Z}$).

$x - \frac{\pi}{6} = \pi k$

Выражаем $x$:

$x = \frac{\pi}{6} + \pi k, k \in \mathbb{Z}$

Ответ: $x = \frac{\pi}{6} + \pi k, k \in \mathbb{Z}$.

б) промежутки монотонности функции;

Функция $y = \text{tg}(u)$ возрастает на всей своей области определения. Область определения функции $y = \text{tg}(x - \frac{\pi}{6})$ задается интервалами между ее вертикальными асимптотами.

Асимптоты находятся в точках $x = \frac{2\pi}{3} + \pi k, k \in \mathbb{Z}$.

Следовательно, функция возрастает на каждом из интервалов, заключенных между двумя последовательными асимптотами. Возьмем асимптоты для $k-1$ и $k$:

$x_1 = \frac{2\pi}{3} + \pi(k-1) = \frac{2\pi}{3} - \pi + \pi k = -\frac{\pi}{3} + \pi k$

$x_2 = \frac{2\pi}{3} + \pi k$

Таким образом, функция монотонно возрастает на каждом из интервалов вида $(-\frac{\pi}{3} + \pi k, \frac{2\pi}{3} + \pi k)$, где $k \in \mathbb{Z}$. Промежутков убывания у функции нет.

Ответ: функция возрастает на промежутках $(-\frac{\pi}{3} + \pi k, \frac{2\pi}{3} + \pi k)$, $k \in \mathbb{Z}$.

в) промежутки знакопостоянства функции.

Знаки функции определяются положением ее графика относительно оси Ox. Промежутки знакопостоянства ограничены нулями функции и ее асимптотами.

Нули: $x = \frac{\pi}{6} + \pi k$.

Асимптоты: $x = \frac{2\pi}{3} + \pi k$ и $x = -\frac{\pi}{3} + \pi k$.

1. Функция положительна ($y>0$), когда ее график находится выше оси Ox.

$\text{tg}(x - \frac{\pi}{6}) > 0$

Это верно, когда аргумент тангенса находится между нулем и ближайшей правой асимптотой:

$\pi k < x - \frac{\pi}{6} < \frac{\pi}{2} + \pi k$

Прибавив ко всем частям $\frac{\pi}{6}$, получим:

$\frac{\pi}{6} + \pi k < x < \frac{\pi}{2} + \frac{\pi}{6} + \pi k$

$\frac{\pi}{6} + \pi k < x < \frac{2\pi}{3} + \pi k, k \in \mathbb{Z}$

2. Функция отрицательна ($y<0$), когда ее график находится ниже оси Ox.

$\text{tg}(x - \frac{\pi}{6}) < 0$

Это верно, когда аргумент тангенса находится между ближайшей левой асимптотой и нулем:

$-\frac{\pi}{2} + \pi k < x - \frac{\pi}{6} < \pi k$

Прибавив ко всем частям $\frac{\pi}{6}$, получим:

$-\frac{\pi}{2} + \frac{\pi}{6} + \pi k < x < \frac{\pi}{6} + \pi k$

$-\frac{\pi}{3} + \pi k < x < \frac{\pi}{6} + \pi k, k \in \mathbb{Z}$

Ответ: $y>0$ при $x \in (\frac{\pi}{6} + \pi k, \frac{2\pi}{3} + \pi k), k \in \mathbb{Z}$; $y<0$ при $x \in (-\frac{\pi}{3} + \pi k, \frac{\pi}{6} + \pi k), k \in \mathbb{Z}$.

Помогло решение? Оставьте отзыв в комментариях ниже.

Присоединяйтесь к Телеграм-группе @gdz_by_belarus

Присоединиться

Мы подготовили для вас ответ c подробным объяснением домашего задания по алгебре за 11 класс, для упражнения номер 436 расположенного на странице 225 к учебнику 2020 года издания для учащихся школ и гимназий.

Теперь на нашем сайте ГДЗ.ТОП вы всегда легко и бесплатно найдёте условие с правильным ответом на вопрос «Как решить ДЗ» и «Как сделать» задание по алгебре к упражнению №436 (с. 225), авторов: Арефьева (Ирина Глебовна), Пирютко (Ольга Николаевна), учебного пособия издательства Народная асвета.