Номер 452, страница 227 - гдз по алгебре 11 класс учебник Арефьева, Пирютко

Алгебра, 11 класс Учебник, авторы: Арефьева Ирина Глебовна, Пирютко Ольга Николаевна, издательство Народная асвета, Минск, 2020, бирюзового цвета

Авторы: Арефьева И. Г., Пирютко О. Н.

Тип: Учебник

Издательство: Народная асвета

Год издания: 2020 - 2026

Цвет обложки: бирюзовый, зелёный с графиком

ISBN: 978-985-03-3165-6

Популярные ГДЗ в 11 классе

Упражнения для итогового повторения. Функции и их свойства - номер 452, страница 227.

№452 (с. 227)
Условие. №452 (с. 227)
скриншот условия
Алгебра, 11 класс Учебник, авторы: Арефьева Ирина Глебовна, Пирютко Ольга Николаевна, издательство Народная асвета, Минск, 2020, бирюзового цвета, страница 227, номер 452, Условие

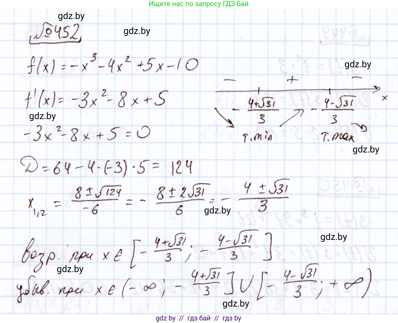
452. Найдите промежутки возрастания и убывания, точки минимума и максимума функции $f(x) = -x^3 - 4x^2 + 5x - 10$.

Решение. №452 (с. 227)
Алгебра, 11 класс Учебник, авторы: Арефьева Ирина Глебовна, Пирютко Ольга Николаевна, издательство Народная асвета, Минск, 2020, бирюзового цвета, страница 227, номер 452, Решение
Решение 2. №452 (с. 227)

Для исследования функции $f(x) = -x^3 - 4x^2 + 5x - 10$ на монотонность и экстремумы, необходимо найти ее первую производную.

Промежутки возрастания и убывания

1. Находим производную функции $f(x)$:

$f'(x) = (-x^3 - 4x^2 + 5x - 10)' = -3x^2 - 8x + 5$.

2. Найдем критические точки функции, решив уравнение $f'(x) = 0$:

$-3x^2 - 8x + 5 = 0$

Умножим уравнение на -1, чтобы сделать старший коэффициент положительным:

$3x^2 + 8x - 5 = 0$

Вычислим дискриминант $D$:

$D = b^2 - 4ac = 8^2 - 4 \cdot 3 \cdot (-5) = 64 + 60 = 124$.

Найдем корни уравнения (критические точки):

$x_{1,2} = \frac{-b \pm \sqrt{D}}{2a} = \frac{-8 \pm \sqrt{124}}{2 \cdot 3} = \frac{-8 \pm 2\sqrt{31}}{6} = \frac{-4 \pm \sqrt{31}}{3}$.

Таким образом, критические точки: $x_1 = \frac{-4 - \sqrt{31}}{3}$ и $x_2 = \frac{-4 + \sqrt{31}}{3}$.

3. Определим знаки производной на интервалах, на которые критические точки разбивают числовую прямую. График производной $f'(x) = -3x^2 - 8x + 5$ представляет собой параболу, ветви которой направлены вниз (коэффициент при $x^2$ равен -3, что меньше нуля). Следовательно, производная положительна между корнями и отрицательна вне этого интервала.

- На интервале $(-\infty, \frac{-4 - \sqrt{31}}{3})$ производная $f'(x) < 0$, значит, функция $f(x)$ убывает.

- На интервале $(\frac{-4 - \sqrt{31}}{3}, \frac{-4 + \sqrt{31}}{3})$ производная $f'(x) > 0$, значит, функция $f(x)$ возрастает.

- На интервале $(\frac{-4 + \sqrt{31}}{3}, +\infty)$ производная $f'(x) < 0$, значит, функция $f(x)$ убывает.

Ответ: функция возрастает на промежутке $[\frac{-4 - \sqrt{31}}{3}, \frac{-4 + \sqrt{31}}{3}]$; функция убывает на промежутках $(-\infty, \frac{-4 - \sqrt{31}}{3}]$ и $[\frac{-4 + \sqrt{31}}{3}, +\infty)$.

Точки минимума и максимума

Точки экстремума — это критические точки, в которых производная меняет свой знак.

В точке $x = \frac{-4 - \sqrt{31}}{3}$ производная $f'(x)$ меняет знак с минуса на плюс, следовательно, это точка минимума.

В точке $x = \frac{-4 + \sqrt{31}}{3}$ производная $f'(x)$ меняет знак с плюса на минус, следовательно, это точка максимума.

Ответ: точка минимума $x_{min} = \frac{-4 - \sqrt{31}}{3}$, точка максимума $x_{max} = \frac{-4 + \sqrt{31}}{3}$.

Помогло решение? Оставьте отзыв в комментариях ниже.

Присоединяйтесь к Телеграм-группе @gdz_by_belarus

Присоединиться

Мы подготовили для вас ответ c подробным объяснением домашего задания по алгебре за 11 класс, для упражнения номер 452 расположенного на странице 227 к учебнику 2020 года издания для учащихся школ и гимназий.

Теперь на нашем сайте ГДЗ.ТОП вы всегда легко и бесплатно найдёте условие с правильным ответом на вопрос «Как решить ДЗ» и «Как сделать» задание по алгебре к упражнению №452 (с. 227), авторов: Арефьева (Ирина Глебовна), Пирютко (Ольга Николаевна), учебного пособия издательства Народная асвета.