Номер 456, страница 227 - гдз по алгебре 11 класс учебник Арефьева, Пирютко

Алгебра, 11 класс Учебник, авторы: Арефьева Ирина Глебовна, Пирютко Ольга Николаевна, издательство Народная асвета, Минск, 2020, бирюзового цвета

Авторы: Арефьева И. Г., Пирютко О. Н.

Тип: Учебник

Издательство: Народная асвета

Год издания: 2020 - 2026

Цвет обложки: бирюзовый, зелёный с графиком

ISBN: 978-985-03-3165-6

Популярные ГДЗ в 11 классе

Упражнения для итогового повторения. Функции и их свойства - номер 456, страница 227.

№456 (с. 227)
Условие. №456 (с. 227)
скриншот условия
Алгебра, 11 класс Учебник, авторы: Арефьева Ирина Глебовна, Пирютко Ольга Николаевна, издательство Народная асвета, Минск, 2020, бирюзового цвета, страница 227, номер 456, Условие

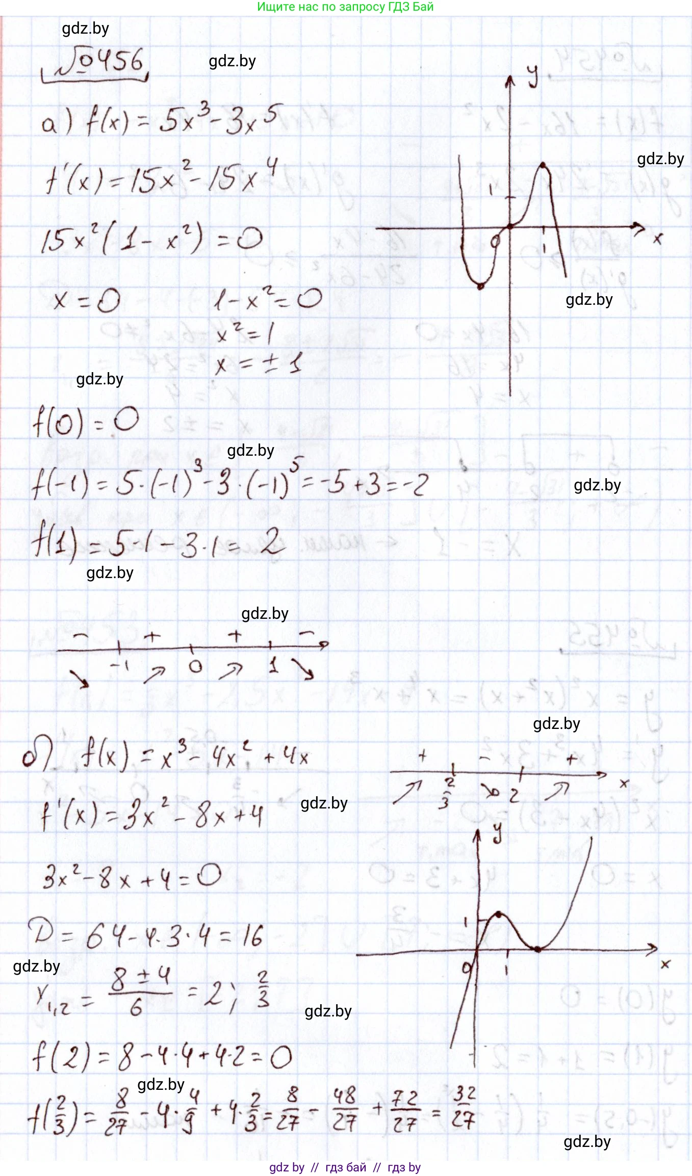
456. Исследуйте функцию и постройте ее график.

a) $f(x)=5x^3 - 3x^5$;

б) $f(x)=x^3 - 4x^2 + 4x.

Решение. №456 (с. 227)
Алгебра, 11 класс Учебник, авторы: Арефьева Ирина Глебовна, Пирютко Ольга Николаевна, издательство Народная асвета, Минск, 2020, бирюзового цвета, страница 227, номер 456, Решение
Решение 2. №456 (с. 227)

a) $f(x) = 5x^3 - 3x^5$

Проведем полное исследование функции:

1. Область определения.

Функция является многочленом, поэтому ее область определения — все действительные числа. $D(f) = (-\infty; +\infty)$.

2. Четность и нечетность.

Найдем $f(-x)$: $f(-x) = 5(-x)^3 - 3(-x)^5 = -5x^3 + 3x^5 = -(5x^3 - 3x^5) = -f(x)$.
Так как $f(-x) = -f(x)$, функция является нечетной. Ее график симметричен относительно начала координат.

3. Точки пересечения с осями координат.

С осью Oy: $x=0 \Rightarrow f(0) = 5(0)^3 - 3(0)^5 = 0$. Точка пересечения $(0, 0)$.

С осью Ox: $f(x)=0 \Rightarrow 5x^3 - 3x^5 = 0 \Rightarrow x^3(5 - 3x^2) = 0$.
Отсюда $x=0$ или $5-3x^2=0 \Rightarrow x^2 = 5/3 \Rightarrow x = \pm\sqrt{5/3} \approx \pm 1.29$.
Точки пересечения: $(0, 0)$, $(-\sqrt{5/3}, 0)$, $(\sqrt{5/3}, 0)$.

4. Асимптоты.

Так как функция является многочленом, вертикальные и горизонтальные асимптоты отсутствуют.

5. Промежутки монотонности и точки экстремума.

Найдем первую производную: $f'(x) = (5x^3 - 3x^5)' = 15x^2 - 15x^4$.
Приравняем производную к нулю для нахождения критических точек: $15x^2 - 15x^4 = 0 \Rightarrow 15x^2(1-x^2) = 0$.
Критические точки: $x_1 = 0$, $x_2 = -1$, $x_3 = 1$.
Исследуем знак производной на интервалах, на которые критические точки разбивают область определения:
- на $(-\infty, -1)$: $f'(x) < 0$, функция убывает.
- на $(-1, 1)$: $f'(x) > 0$ (так как на $(-1, 0)$ и $(0, 1)$ знак не меняется), функция возрастает.
- на $(1, +\infty)$: $f'(x) < 0$, функция убывает.
В точке $x=-1$ производная меняет знак с «−» на «+», следовательно, это точка локального минимума. $f(-1) = 5(-1)^3 - 3(-1)^5 = -5 + 3 = -2$. Точка минимума: $(-1, -2)$.
В точке $x=1$ производная меняет знак с «+» на «−», следовательно, это точка локального максимума. $f(1) = 5(1)^3 - 3(1)^5 = 5 - 3 = 2$. Точка максимума: $(1, 2)$.
В точке $x=0$ производная не меняет знак, значит, экстремума нет.

6. Промежутки выпуклости, вогнутости и точки перегиба.

Найдем вторую производную: $f''(x) = (15x^2 - 15x^4)' = 30x - 60x^3$.
Приравняем вторую производную к нулю: $30x - 60x^3 = 0 \Rightarrow 30x(1 - 2x^2) = 0$.
Точки возможного перегиба: $x_1=0$, $x_2 = -1/\sqrt{2}$, $x_3 = 1/\sqrt{2}$.
Исследуем знак второй производной на интервалах:
- на $(-\infty, -1/\sqrt{2})$: $f''(x) > 0$, график вогнутый (выпуклый вниз).
- на $(-1/\sqrt{2}, 0)$: $f''(x) < 0$, график выпуклый (выпуклый вверх).
- на $(0, 1/\sqrt{2})$: $f''(x) > 0$, график вогнутый (выпуклый вниз).
- на $(1/\sqrt{2}, +\infty)$: $f''(x) < 0$, график выпуклый (выпуклый вверх).
Во всех трех точках знак второй производной меняется, значит, это точки перегиба.
$f(0) = 0$.
$f(1/\sqrt{2}) = 5(1/\sqrt{2})^3 - 3(1/\sqrt{2})^5 = 5/(2\sqrt{2}) - 3/(4\sqrt{2}) = (10-3)/(4\sqrt{2}) = 7/(4\sqrt{2}) = 7\sqrt{2}/8 \approx 1.24$.
$f(-1/\sqrt{2}) = -7\sqrt{2}/8 \approx -1.24$ (в силу нечетности).
Точки перегиба: $(-1/\sqrt{2}, -7\sqrt{2}/8)$, $(0, 0)$, $(1/\sqrt{2}, 7\sqrt{2}/8)$.

7. Построение графика.

На основе полученных данных строим график. Отметим на координатной плоскости точки пересечения с осями, точки экстремумов и точки перегиба. Соединим их плавной линией, учитывая интервалы возрастания/убывания и выпуклости/вогнутости. График симметричен относительно начала координат. При $x \to +\infty$, $f(x) \to -\infty$. При $x \to -\infty$, $f(x) \to +\infty$.

Ответ: Функция $f(x) = 5x^3 - 3x^5$ нечетная, $D(f) = (-\infty; +\infty)$. Точки пересечения с осями: $(0, 0)$, $(\pm\sqrt{5/3}, 0)$. Локальный минимум в точке $(-1, -2)$, локальный максимум в точке $(1, 2)$. Точки перегиба: $(0, 0)$ и $(\pm 1/\sqrt{2}, \pm 7\sqrt{2}/8)$. Функция возрастает на $[-1, 1]$ и убывает на $(-\infty, -1] \cup [1, +\infty)$.


б) $f(x) = x^3 - 4x^2 + 4x$

Проведем полное исследование функции:

1. Область определения.

Функция является многочленом, $D(f) = (-\infty; +\infty)$.

2. Четность и нечетность.

Найдем $f(-x)$: $f(-x) = (-x)^3 - 4(-x)^2 + 4(-x) = -x^3 - 4x^2 - 4x$.
$f(-x) \neq f(x)$ и $f(-x) \neq -f(x)$. Функция не является ни четной, ни нечетной (функция общего вида).

3. Точки пересечения с осями координат.

С осью Oy: $x=0 \Rightarrow f(0) = 0$. Точка пересечения $(0, 0)$.

С осью Ox: $f(x)=0 \Rightarrow x^3 - 4x^2 + 4x = 0 \Rightarrow x(x^2 - 4x + 4) = 0 \Rightarrow x(x-2)^2 = 0$.
Корни: $x_1=0$, $x_2=2$ (корень кратности 2).
Точки пересечения: $(0, 0)$ и $(2, 0)$. В точке $(2, 0)$ график касается оси Ox.

4. Асимптоты.

Вертикальные и горизонтальные асимптоты отсутствуют.

5. Промежутки монотонности и точки экстремума.

Найдем первую производную: $f'(x) = (x^3 - 4x^2 + 4x)' = 3x^2 - 8x + 4$.
Найдем критические точки: $3x^2 - 8x + 4 = 0$.
Дискриминант $D = (-8)^2 - 4 \cdot 3 \cdot 4 = 64 - 48 = 16$.
Корни: $x = \frac{8 \pm \sqrt{16}}{2 \cdot 3} = \frac{8 \pm 4}{6}$.
$x_1 = (8-4)/6 = 4/6 = 2/3$.
$x_2 = (8+4)/6 = 12/6 = 2$.
Парабола $y=3x^2-8x+4$ ветвями вверх, значит:
- на $(-\infty, 2/3)$: $f'(x) > 0$, функция возрастает.
- на $(2/3, 2)$: $f'(x) < 0$, функция убывает.
- на $(2, +\infty)$: $f'(x) > 0$, функция возрастает.
В точке $x=2/3$ производная меняет знак с «+» на «−», это точка локального максимума. $f(2/3) = (2/3)^3 - 4(2/3)^2 + 4(2/3) = 8/27 - 16/9 + 8/3 = (8 - 48 + 72)/27 = 32/27$. Точка максимума: $(2/3, 32/27)$.
В точке $x=2$ производная меняет знак с «−» на «+», это точка локального минимума. $f(2) = 2^3 - 4(2)^2 + 4(2) = 8 - 16 + 8 = 0$. Точка минимума: $(2, 0)$.

6. Промежутки выпуклости, вогнутости и точки перегиба.

Найдем вторую производную: $f''(x) = (3x^2 - 8x + 4)' = 6x - 8$.
Приравняем к нулю: $6x - 8 = 0 \Rightarrow x = 8/6 = 4/3$.
- на $(-\infty, 4/3)$: $f''(x) < 0$, график выпуклый (выпуклый вверх).
- на $(4/3, +\infty)$: $f''(x) > 0$, график вогнутый (выпуклый вниз).
В точке $x=4/3$ вторая производная меняет знак, это точка перегиба.
$f(4/3) = (4/3)^3 - 4(4/3)^2 + 4(4/3) = 64/27 - 64/9 + 16/3 = (64 - 192 + 144)/27 = 16/27$.
Точка перегиба: $(4/3, 16/27)$.

7. Построение графика.

Нанесем на координатную плоскость точки пересечения с осями $(0,0)$ и $(2,0)$, точку максимума $(2/3, 32/27) \approx (0.67, 1.19)$, точку минимума $(2,0)$ и точку перегиба $(4/3, 16/27) \approx (1.33, 0.59)$. Соединим точки плавной линией, учитывая, что до $x=2/3$ функция возрастает, затем убывает до $x=2$, а после $x=2$ снова возрастает. При $x \to +\infty$, $f(x) \to +\infty$. При $x \to -\infty$, $f(x) \to -\infty$.

Ответ: Функция $f(x) = x^3 - 4x^2 + 4x$ общего вида, $D(f) = (-\infty; +\infty)$. Точки пересечения с осями: $(0, 0)$ и $(2, 0)$. Локальный максимум в точке $(2/3, 32/27)$, локальный минимум в точке $(2, 0)$. Точка перегиба: $(4/3, 16/27)$. Функция возрастает на $(-\infty, 2/3] \cup [2, +\infty)$ и убывает на $[2/3, 2]$.

Помогло решение? Оставьте отзыв в комментариях ниже.

Присоединяйтесь к Телеграм-группе @gdz_by_belarus

Присоединиться

Мы подготовили для вас ответ c подробным объяснением домашего задания по алгебре за 11 класс, для упражнения номер 456 расположенного на странице 227 к учебнику 2020 года издания для учащихся школ и гимназий.

Теперь на нашем сайте ГДЗ.ТОП вы всегда легко и бесплатно найдёте условие с правильным ответом на вопрос «Как решить ДЗ» и «Как сделать» задание по алгебре к упражнению №456 (с. 227), авторов: Арефьева (Ирина Глебовна), Пирютко (Ольга Николаевна), учебного пособия издательства Народная асвета.