Номер 15, страница 257 - гдз по алгебре 11 класс учебник Арефьева, Пирютко

Алгебра, 11 класс Учебник, авторы: Арефьева Ирина Глебовна, Пирютко Ольга Николаевна, издательство Народная асвета, Минск, 2020, бирюзового цвета

Авторы: Арефьева И. Г., Пирютко О. Н.

Тип: Учебник

Издательство: Народная асвета

Год издания: 2020 - 2026

Цвет обложки: бирюзовый, зелёный с графиком

ISBN: 978-985-03-3165-6

Популярные ГДЗ в 11 классе

Тематические тесты. Тест 10. Логарифмические уравнения - номер 15, страница 257.

№15 (с. 257)
Условие. №15 (с. 257)
скриншот условия
Алгебра, 11 класс Учебник, авторы: Арефьева Ирина Глебовна, Пирютко Ольга Николаевна, издательство Народная асвета, Минск, 2020, бирюзового цвета, страница 257, номер 15, Условие

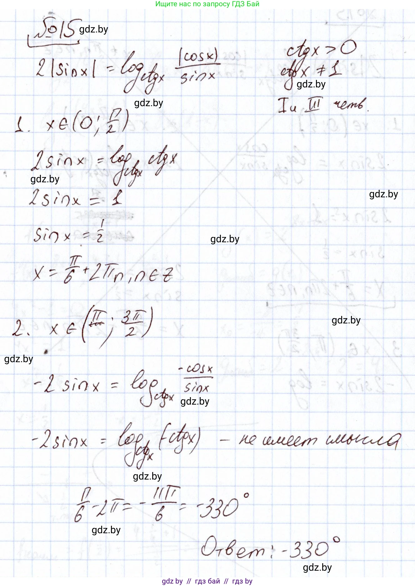
15. Найдите (в градусах) наибольший отрицательный корень уравнения $2|\sin x| = \log_{\operatorname{ctg}x} \frac{|\cos x|}{\sin x}$.

Решение. №15 (с. 257)
Алгебра, 11 класс Учебник, авторы: Арефьева Ирина Глебовна, Пирютко Ольга Николаевна, издательство Народная асвета, Минск, 2020, бирюзового цвета, страница 257, номер 15, Решение
Решение 2. №15 (с. 257)

Исходное уравнение: $2|\sin x| = \log_{\ctg x} \frac{|\cos x|}{\sin x}$.

Найдем область допустимых значений (ОДЗ) для этого уравнения. Логарифмическая функция $\log_a b$ определена при выполнении трех условий: основание больше нуля ($a > 0$), основание не равно единице ($a \neq 1$), и аргумент больше нуля ($b > 0$). Применительно к нашему уравнению:

  1. Основание логарифма: $\ctg x > 0$.
  2. Основание логарифма: $\ctg x \neq 1$.
  3. Аргумент логарифма: $\frac{|\cos x|}{\sin x} > 0$.

Рассмотрим эти условия подробнее:

  • Из условия (3), $\frac{|\cos x|}{\sin x} > 0$. Так как числитель $|\cos x|$ является неотрицательным ($|\cos x| \ge 0$), для выполнения неравенства необходимо, чтобы знаменатель был строго положителен, $\sin x > 0$. При этом числитель не должен быть равен нулю, т.е. $|\cos x| \neq 0$, что эквивалентно $\cos x \neq 0$. Условие $\sin x > 0$ означает, что угол $x$ находится в I или II координатной четверти.
  • Из условия (1), $\ctg x > 0$. Так как $\ctg x = \frac{\cos x}{\sin x}$ и мы уже установили, что $\sin x > 0$, это неравенство выполняется, только если $\cos x > 0$. Условие $\cos x > 0$ означает, что угол $x$ находится в I или IV координатной четверти.
  • Объединяя условия $\sin x > 0$ и $\cos x > 0$, приходим к выводу, что угол $x$ должен находиться в I координатной четверти. Таким образом, $x$ принадлежит интервалам вида $(2\pi k, \frac{\pi}{2} + 2\pi k)$, где $k$ – любое целое число.
  • Наконец, условие (2), $\ctg x \neq 1$, означает, что $x \neq \frac{\pi}{4} + \pi n$ для любого целого $n$.

Итак, ОДЗ уравнения: $x \in (2\pi k, \frac{\pi}{2} + 2\pi k)$, при этом $x \neq \frac{\pi}{4} + 2\pi k$ для $k \in \mathbb{Z}$.

На найденной области допустимых значений $\sin x > 0$ и $\cos x > 0$, поэтому модули можно раскрыть: $|\sin x| = \sin x$ и $|\cos x| = \cos x$. Уравнение принимает вид:$2\sin x = \log_{\ctg x} \frac{\cos x}{\sin x}$

По определению котангенса, $\frac{\cos x}{\sin x} = \ctg x$. Подставим это в уравнение:$2\sin x = \log_{\ctg x} (\ctg x)$

По основному свойству логарифмов, $\log_a a = 1$ (при $a>0, a \neq 1$). Так как по ОДЗ $\ctg x > 0$ и $\ctg x \neq 1$, правая часть уравнения равна 1.$2\sin x = 1$$\sin x = \frac{1}{2}$

Общие решения этого тригонометрического уравнения:$x = \frac{\pi}{6} + 2\pi n, n \in \mathbb{Z}$$x = \pi - \frac{\pi}{6} + 2\pi n = \frac{5\pi}{6} + 2\pi n, n \in \mathbb{Z}$

Теперь необходимо проверить, какие из этих решений удовлетворяют ОДЗ.

  • Серия корней $x = \frac{\pi}{6} + 2\pi n$ соответствует углам в I четверти, что согласуется с ОДЗ. Проверим также условие $\ctg x \neq 1$. При $x = \frac{\pi}{6}$, $\ctg(\frac{\pi}{6}) = \sqrt{3} \neq 1$. Следовательно, эта серия корней полностью входит в ОДЗ.
  • Серия корней $x = \frac{5\pi}{6} + 2\pi n$ соответствует углам во II четверти. Для этих углов $\ctg x < 0$, что противоречит ОДЗ. Значит, эта серия корней является посторонней.

Таким образом, решения исходного уравнения задаются формулой $x = \frac{\pi}{6} + 2\pi n$, где $n \in \mathbb{Z}$.

Требуется найти наибольший отрицательный корень. Для этого нужно найти наибольшее целое $n$, при котором $x < 0$:$\frac{\pi}{6} + 2\pi n < 0$Делим обе части на $\pi$ (так как $\pi > 0$):$\frac{1}{6} + 2n < 0$$2n < -\frac{1}{6}$$n < -\frac{1}{12}$Наибольшее целое число $n$, удовлетворяющее этому неравенству, это $n = -1$.

Подставляем $n=-1$ в формулу для корней:$x = \frac{\pi}{6} + 2\pi(-1) = \frac{\pi}{6} - 2\pi = \frac{\pi - 12\pi}{6} = -\frac{11\pi}{6}$

Найденный корень дан в радианах. Переведем его в градусы, зная, что $\pi$ радиан равно $180^\circ$:$x = -\frac{11\pi}{6} \text{ рад} = -\frac{11 \times 180^\circ}{6} = -11 \times 30^\circ = -330^\circ$

Ответ: -330

Помогло решение? Оставьте отзыв в комментариях ниже.

Присоединяйтесь к Телеграм-группе @gdz_by_belarus

Присоединиться

Мы подготовили для вас ответ c подробным объяснением домашего задания по алгебре за 11 класс, для упражнения номер 15 расположенного на странице 257 к учебнику 2020 года издания для учащихся школ и гимназий.

Теперь на нашем сайте ГДЗ.ТОП вы всегда легко и бесплатно найдёте условие с правильным ответом на вопрос «Как решить ДЗ» и «Как сделать» задание по алгебре к упражнению №15 (с. 257), авторов: Арефьева (Ирина Глебовна), Пирютко (Ольга Николаевна), учебного пособия издательства Народная асвета.