Номер 4, страница 258 - гдз по алгебре 11 класс учебник Арефьева, Пирютко

Алгебра, 11 класс Учебник, авторы: Арефьева Ирина Глебовна, Пирютко Ольга Николаевна, издательство Народная асвета, Минск, 2020, бирюзового цвета

Авторы: Арефьева И. Г., Пирютко О. Н.

Тип: Учебник

Издательство: Народная асвета

Год издания: 2020 - 2026

Цвет обложки: бирюзовый, зелёный с графиком

ISBN: 978-985-03-3165-6

Популярные ГДЗ в 11 классе

Тематические тесты. Тест 11. Логарифмические неравенства - номер 4, страница 258.

№4 (с. 258)
Условие. №4 (с. 258)
скриншот условия
Алгебра, 11 класс Учебник, авторы: Арефьева Ирина Глебовна, Пирютко Ольга Николаевна, издательство Народная асвета, Минск, 2020, бирюзового цвета, страница 258, номер 4, Условие

4. Найдите сумму целых решений неравенства $3^{\log_{0,25}(1 - x)} \ge \frac{1}{\sqrt{3}}$.

а) -1;

б) 0;

в) 1;

г) -2;

д) 2.

Решение. №4 (с. 258)
Алгебра, 11 класс Учебник, авторы: Арефьева Ирина Глебовна, Пирютко Ольга Николаевна, издательство Народная асвета, Минск, 2020, бирюзового цвета, страница 258, номер 4, Решение
Решение 2. №4 (с. 258)

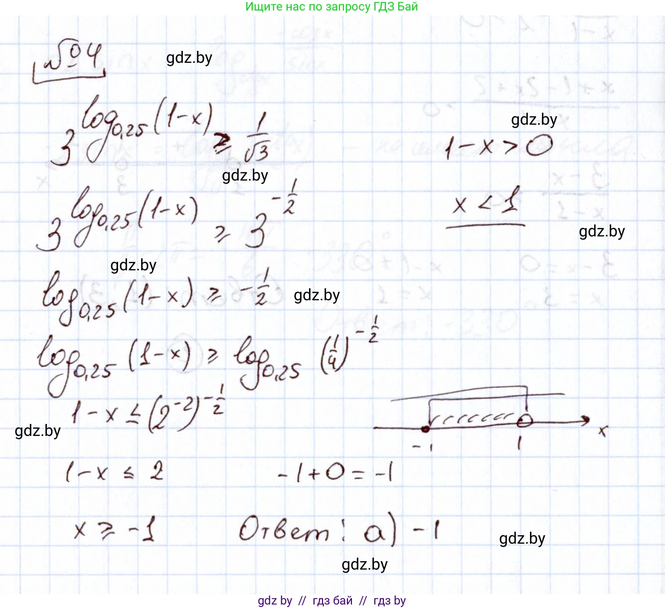
Для решения неравенства $3^{\log_{0,25}(1-x)} \ge \frac{1}{\sqrt{3}}$ необходимо выполнить следующие действия.

1. Определение области допустимых значений (ОДЗ).

Аргумент логарифма должен быть строго положительным, поэтому:

$1 - x > 0$

$x < 1$

2. Преобразование неравенства.

Приведем обе части неравенства к одному основанию — 3. Правая часть неравенства преобразуется следующим образом:

$\frac{1}{\sqrt{3}} = \frac{1}{3^{1/2}} = 3^{-1/2}$

Теперь исходное неравенство принимает вид:

$3^{\log_{0,25}(1-x)} \ge 3^{-1/2}$

Так как основание степени $3 > 1$, показательная функция является возрастающей. Это позволяет перейти к сравнению показателей степеней, сохраняя знак неравенства:

$\log_{0,25}(1-x) \ge -\frac{1}{2}$

3. Решение логарифмического неравенства.

Преобразуем основание логарифма: $0,25 = \frac{1}{4}$. Неравенство примет вид:

$\log_{1/4}(1-x) \ge -\frac{1}{2}$

Чтобы сравнить аргументы, представим правую часть в виде логарифма с таким же основанием $\frac{1}{4}$:

$-\frac{1}{2} = \log_{1/4}{\left(\left(\frac{1}{4}\right)^{-1/2}\right)} = \log_{1/4}{\left(4^{1/2}\right)} = \log_{1/4}{2}$

Теперь неравенство можно переписать как:

$\log_{1/4}(1-x) \ge \log_{1/4}(2)$

Поскольку основание логарифма $0 < \frac{1}{4} < 1$, логарифмическая функция является убывающей. Поэтому при переходе к сравнению аргументов знак неравенства необходимо изменить на противоположный:

$1 - x \le 2$

Решим полученное линейное неравенство:

$-x \le 2 - 1$

$-x \le 1$

$x \ge -1$

4. Определение итогового множества решений.

Необходимо учесть область допустимых значений. Составим систему из двух условий:

$\begin{cases} x < 1 & \text{(из ОДЗ)} \\ x \ge -1 & \text{(из решения неравенства)} \end{cases}$

Общим решением системы является промежуток $x \in [-1, 1)$.

5. Нахождение суммы целых решений.

Целыми числами, которые принадлежат промежутку $[-1, 1)$, являются $-1$ и $0$.

Сумма этих целых решений равна:

$-1 + 0 = -1$

Ответ: -1

Помогло решение? Оставьте отзыв в комментариях ниже.

Присоединяйтесь к Телеграм-группе @gdz_by_belarus

Присоединиться

Мы подготовили для вас ответ c подробным объяснением домашего задания по алгебре за 11 класс, для упражнения номер 4 расположенного на странице 258 к учебнику 2020 года издания для учащихся школ и гимназий.

Теперь на нашем сайте ГДЗ.ТОП вы всегда легко и бесплатно найдёте условие с правильным ответом на вопрос «Как решить ДЗ» и «Как сделать» задание по алгебре к упражнению №4 (с. 258), авторов: Арефьева (Ирина Глебовна), Пирютко (Ольга Николаевна), учебного пособия издательства Народная асвета.