Номер 13, страница 247 - гдз по алгебре 11 класс учебник Арефьева, Пирютко

Алгебра, 11 класс Учебник, авторы: Арефьева Ирина Глебовна, Пирютко Ольга Николаевна, издательство Народная асвета, Минск, 2020, бирюзового цвета

Авторы: Арефьева И. Г., Пирютко О. Н.

Тип: Учебник

Издательство: Народная асвета

Год издания: 2020 - 2026

Цвет обложки: бирюзовый, зелёный с графиком

ISBN: 978-985-03-3165-6

Популярные ГДЗ в 11 классе

Тематические тесты. Тест 6. Тригонометрические уравнения - номер 13, страница 247.

№13 (с. 247)
Условие. №13 (с. 247)
скриншот условия
Алгебра, 11 класс Учебник, авторы: Арефьева Ирина Глебовна, Пирютко Ольга Николаевна, издательство Народная асвета, Минск, 2020, бирюзового цвета, страница 247, номер 13, Условие

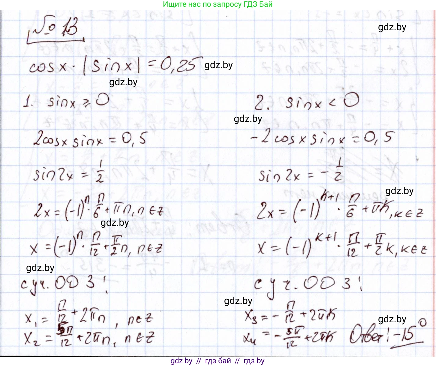
13. Найдите (в градусах) наибольший отрицательный корень уравнения

$\cos x \cdot |\sin x| = 0,25.$

Решение. №13 (с. 247)
Алгебра, 11 класс Учебник, авторы: Арефьева Ирина Глебовна, Пирютко Ольга Николаевна, издательство Народная асвета, Минск, 2020, бирюзового цвета, страница 247, номер 13, Решение
Решение 2. №13 (с. 247)

Для решения уравнения $\cos x \cdot |\sin x| = 0,25$ необходимо рассмотреть два случая, в зависимости от знака выражения под модулем $|\sin x|$. Запишем $0,25$ как дробь $\frac{1}{4}$.

Случай 1: $\sin x \ge 0$

Это условие выполняется, когда угол $x$ находится в I или II координатной четверти. В этом случае $|\sin x| = \sin x$, и уравнение принимает вид:

$\cos x \cdot \sin x = \frac{1}{4}$

Используя формулу синуса двойного угла $\sin(2x) = 2\sin x \cos x$, преобразуем левую часть:

$\frac{1}{2} \sin(2x) = \frac{1}{4}$

$\sin(2x) = \frac{1}{2}$

Общее решение этого уравнения в градусах:

$2x = 30^\circ + 360^\circ \cdot n$ или $2x = 150^\circ + 360^\circ \cdot n$, где $n$ — целое число.

Отсюда получаем две серии решений для $x$:

$x = 15^\circ + 180^\circ \cdot n$

$x = 75^\circ + 180^\circ \cdot n$

Теперь отберем из этих серий те корни, для которых выполняется условие $\sin x \ge 0$. Это происходит, когда $n$ является четным числом ($n=2k$). Таким образом, решения для первого случая:

$x = 15^\circ + 360^\circ \cdot k$

$x = 75^\circ + 360^\circ \cdot k$

Случай 2: $\sin x < 0$

Это условие выполняется, когда угол $x$ находится в III или IV координатной четверти. В этом случае $|\sin x| = -\sin x$, и уравнение принимает вид:

$\cos x \cdot (-\sin x) = \frac{1}{4}$

$-\frac{1}{2} \sin(2x) = \frac{1}{4}$

$\sin(2x) = -\frac{1}{2}$

Общее решение этого уравнения в градусах:

$2x = -30^\circ + 360^\circ \cdot n$ или $2x = 210^\circ + 360^\circ \cdot n$, где $n$ — целое число.

Отсюда получаем еще две серии решений для $x$:

$x = -15^\circ + 180^\circ \cdot n$

$x = 105^\circ + 180^\circ \cdot n$

Отберем из этих серий те корни, для которых выполняется условие $\sin x < 0$.

Для серии $x = -15^\circ + 180^\circ \cdot n$ условие $\sin x < 0$ выполняется при четных $n$ ($n=2k$), что дает серию $x = -15^\circ + 360^\circ \cdot k$.

Для серии $x = 105^\circ + 180^\circ \cdot n$ условие $\sin x < 0$ выполняется при нечетных $n$ ($n=2k+1$), что дает серию $x = 105^\circ + 180^\circ(2k+1) = 285^\circ + 360^\circ k$, которую можно записать как $x = -75^\circ + 360^\circ \cdot m$.

Поиск наибольшего отрицательного корня

Итак, мы получили четыре серии решений:

1. $x = 15^\circ + 360^\circ \cdot k$

2. $x = 75^\circ + 360^\circ \cdot k$

3. $x = -15^\circ + 360^\circ \cdot k$

4. $x = -75^\circ + 360^\circ \cdot k$

Нам нужно найти наибольший отрицательный корень. Для этого найдем отрицательные значения $x$ из каждой серии, подставляя целые значения $k$.

Из серии 1: при $k=-1$, $x = 15^\circ - 360^\circ = -345^\circ$.

Из серии 2: при $k=-1$, $x = 75^\circ - 360^\circ = -285^\circ$.

Из серии 3: при $k=0$, $x = -15^\circ$.

Из серии 4: при $k=0$, $x = -75^\circ$.

При других целых значениях $k$ (например, $k=-2, -3, \dots$) получатся еще меньшие (более отрицательные) корни.

Сравнивая полученные отрицательные корни: $-15^\circ$, $-75^\circ$, $-285^\circ$, $-345^\circ$, ... , наибольшим является тот, который ближе всего к нулю, то есть $-15^\circ$.

Ответ: -15

Помогло решение? Оставьте отзыв в комментариях ниже.

Присоединяйтесь к Телеграм-группе @gdz_by_belarus

Присоединиться

Мы подготовили для вас ответ c подробным объяснением домашего задания по алгебре за 11 класс, для упражнения номер 13 расположенного на странице 247 к учебнику 2020 года издания для учащихся школ и гимназий.

Теперь на нашем сайте ГДЗ.ТОП вы всегда легко и бесплатно найдёте условие с правильным ответом на вопрос «Как решить ДЗ» и «Как сделать» задание по алгебре к упражнению №13 (с. 247), авторов: Арефьева (Ирина Глебовна), Пирютко (Ольга Николаевна), учебного пособия издательства Народная асвета.