Номер 14, страница 247 - гдз по алгебре 11 класс учебник Арефьева, Пирютко

Алгебра, 11 класс Учебник, авторы: Арефьева Ирина Глебовна, Пирютко Ольга Николаевна, издательство Народная асвета, Минск, 2020, бирюзового цвета

Авторы: Арефьева И. Г., Пирютко О. Н.

Тип: Учебник

Издательство: Народная асвета

Год издания: 2020 - 2026

Цвет обложки: бирюзовый, зелёный с графиком

ISBN: 978-985-03-3165-6

Популярные ГДЗ в 11 классе

Тематические тесты. Тест 6. Тригонометрические уравнения - номер 14, страница 247.

№14 (с. 247)
Условие. №14 (с. 247)
скриншот условия
Алгебра, 11 класс Учебник, авторы: Арефьева Ирина Глебовна, Пирютко Ольга Николаевна, издательство Народная асвета, Минск, 2020, бирюзового цвета, страница 247, номер 14, Условие

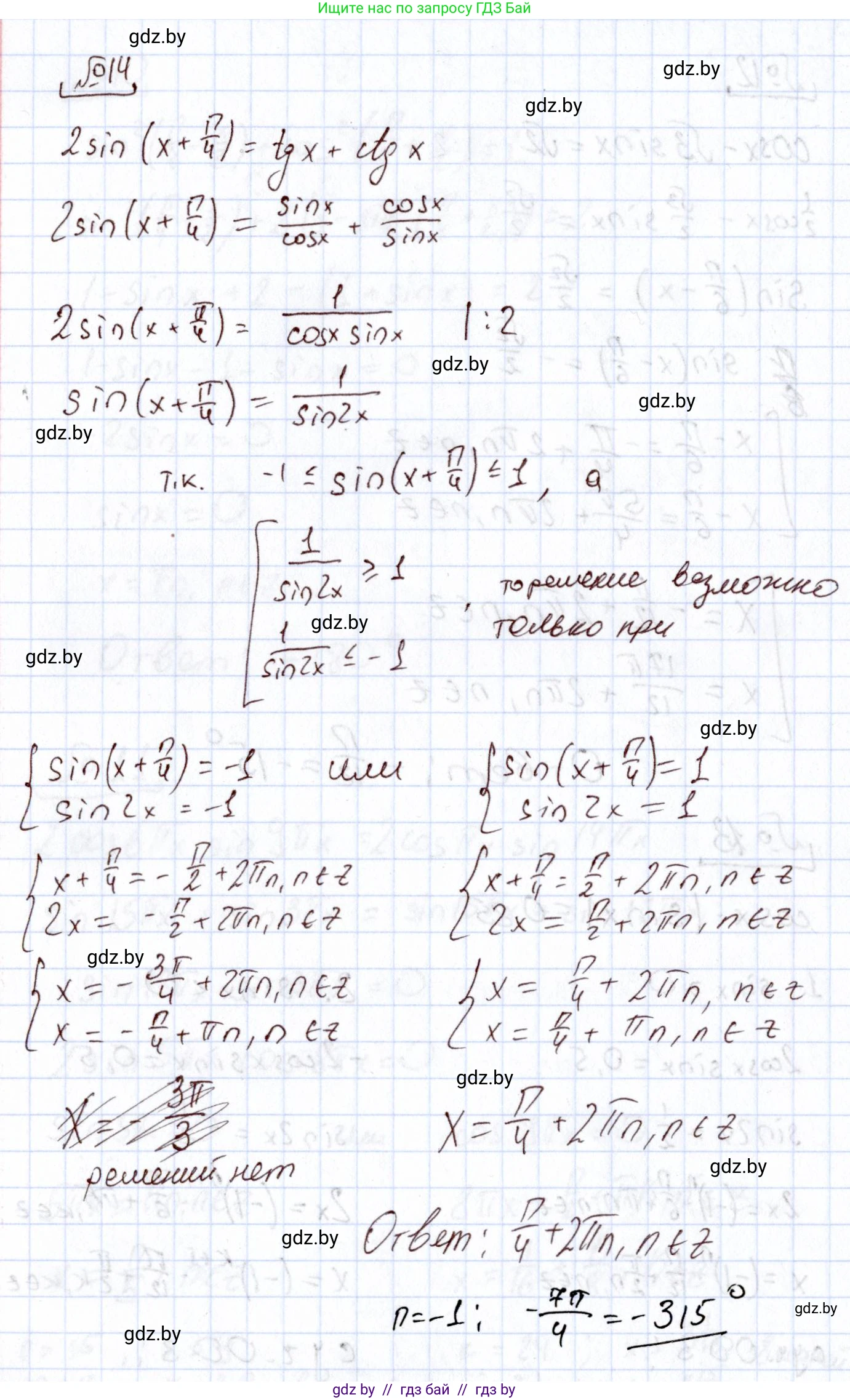
14. Найдите (в градусах) наибольший отрицательный корень уравнения

$2\sin\left(x + \frac{\pi}{4}\right) = \operatorname{tg}x + \operatorname{ctg}x.$

Решение. №14 (с. 247)
Алгебра, 11 класс Учебник, авторы: Арефьева Ирина Глебовна, Пирютко Ольга Николаевна, издательство Народная асвета, Минск, 2020, бирюзового цвета, страница 247, номер 14, Решение
Решение 2. №14 (с. 247)

Для решения данного тригонометрического уравнения выполним следующие преобразования.

1. Определение области допустимых значений (ОДЗ)

Уравнение содержит функции $\tg x$ и $\ctg x$.

Функция $\tg x = \frac{\sin x}{\cos x}$ определена, когда $\cos x \neq 0$, то есть $x \neq \frac{\pi}{2} + \pi k$ для $k \in \mathbb{Z}$.

Функция $\ctg x = \frac{\cos x}{\sin x}$ определена, когда $\sin x \neq 0$, то есть $x \neq \pi n$ для $n \in \mathbb{Z}$.

Объединяя эти два условия, получаем, что ОДЗ уравнения — все $x$, кроме $x = \frac{\pi m}{2}$ для любого целого $m$.

2. Упрощение левой и правой частей уравнения

Преобразуем левую часть уравнения, используя формулу синуса суммы $\sin(\alpha + \beta) = \sin\alpha\cos\beta + \cos\alpha\sin\beta$:

$$2\sin\left(x + \frac{\pi}{4}\right) = 2\left(\sin x \cos\frac{\pi}{4} + \cos x \sin\frac{\pi}{4}\right)$$

Поскольку $\cos\frac{\pi}{4} = \sin\frac{\pi}{4} = \frac{\sqrt{2}}{2}$, получаем:

$$2\left(\sin x \cdot \frac{\sqrt{2}}{2} + \cos x \cdot \frac{\sqrt{2}}{2}\right) = \sqrt{2}(\sin x + \cos x)$$

Преобразуем правую часть уравнения:

$$\tg x + \ctg x = \frac{\sin x}{\cos x} + \frac{\cos x}{\sin x} = \frac{\sin^2 x + \cos^2 x}{\sin x \cos x}$$

Используя основное тригонометрическое тождество $\sin^2 x + \cos^2 x = 1$, имеем:

$$\frac{1}{\sin x \cos x}$$

Таким образом, исходное уравнение принимает вид:

$$\sqrt{2}(\sin x + \cos x) = \frac{1}{\sin x \cos x}$$

3. Решение уравнения с помощью замены переменной

Введем замену $t = \sin x + \cos x$. Чтобы выразить произведение $\sin x \cos x$ через $t$, возведем замену в квадрат:

$$t^2 = (\sin x + \cos x)^2 = \sin^2 x + 2\sin x \cos x + \cos^2 x = 1 + 2\sin x \cos x$$

Отсюда $2\sin x \cos x = t^2 - 1$, и $\sin x \cos x = \frac{t^2 - 1}{2}$.

Подставим $t$ и полученное выражение в уравнение:

$$\sqrt{2}t = \frac{1}{\frac{t^2-1}{2}} \implies \sqrt{2}t = \frac{2}{t^2-1}$$

Решим это уравнение относительно $t$:

$$\sqrt{2}t(t^2-1) = 2$$

$$t(t^2-1) = \frac{2}{\sqrt{2}} = \sqrt{2}$$

$$t^3 - t - \sqrt{2} = 0$$

Подбором находим один из корней этого кубического уравнения. Проверим $t = \sqrt{2}$:

$$(\sqrt{2})^3 - \sqrt{2} - \sqrt{2} = 2\sqrt{2} - 2\sqrt{2} = 0$$

Корень $t = \sqrt{2}$ подходит. Разделим многочлен $t^3 - t - \sqrt{2}$ на $(t - \sqrt{2})$ и получим $(t-\sqrt{2})(t^2 + \sqrt{2}t + 1) = 0$.

Для квадратного уравнения $t^2 + \sqrt{2}t + 1 = 0$ найдем дискриминант: $D = (\sqrt{2})^2 - 4 \cdot 1 \cdot 1 = 2 - 4 = -2$. Так как $D < 0$, других действительных корней для $t$ нет.

Единственное решение — $t = \sqrt{2}$.

4. Обратная замена и нахождение корней

Возвращаемся к исходной переменной:

$$\sin x + \cos x = \sqrt{2}$$

С помощью метода вспомогательного угла преобразуем левую часть:

$$\sqrt{2}\left(\frac{1}{\sqrt{2}}\sin x + \frac{1}{\sqrt{2}}\cos x\right) = \sqrt{2}$$

$$\sqrt{2}\left(\cos\frac{\pi}{4}\sin x + \sin\frac{\pi}{4}\cos x\right) = \sqrt{2}$$

$$\sqrt{2}\sin\left(x + \frac{\pi}{4}\right) = \sqrt{2}$$

$$\sin\left(x + \frac{\pi}{4}\right) = 1$$

Общее решение этого уравнения:

$$x + \frac{\pi}{4} = \frac{\pi}{2} + 2\pi n, \quad n \in \mathbb{Z}$$

$$x = \frac{\pi}{2} - \frac{\pi}{4} + 2\pi n$$

$$x = \frac{\pi}{4} + 2\pi n, \quad n \in \mathbb{Z}$$

5. Нахождение наибольшего отрицательного корня

Нам нужно найти такой корень $x$, что $x < 0$. Для этого подберем соответствующее целое значение $n$.

$$\frac{\pi}{4} + 2\pi n < 0$$

$$2\pi n < -\frac{\pi}{4}$$

$$n < -\frac{1}{8}$$

Наибольшим целым числом $n$, удовлетворяющим этому неравенству, является $n = -1$.

Подставим $n = -1$ в общую формулу для корней:

$$x = \frac{\pi}{4} + 2\pi(-1) = \frac{\pi}{4} - 2\pi = \frac{\pi - 8\pi}{4} = -\frac{7\pi}{4}$$

6. Перевод корня в градусы

Чтобы перевести радианы в градусы, используем соотношение $\pi \text{ рад} = 180^\circ$.

$$x = -\frac{7\pi}{4} = -\frac{7 \cdot 180^\circ}{4} = -7 \cdot 45^\circ = -315^\circ$$

Ответ: $-315^\circ$.

Помогло решение? Оставьте отзыв в комментариях ниже.

Присоединяйтесь к Телеграм-группе @gdz_by_belarus

Присоединиться

Мы подготовили для вас ответ c подробным объяснением домашего задания по алгебре за 11 класс, для упражнения номер 14 расположенного на странице 247 к учебнику 2020 года издания для учащихся школ и гимназий.

Теперь на нашем сайте ГДЗ.ТОП вы всегда легко и бесплатно найдёте условие с правильным ответом на вопрос «Как решить ДЗ» и «Как сделать» задание по алгебре к упражнению №14 (с. 247), авторов: Арефьева (Ирина Глебовна), Пирютко (Ольга Николаевна), учебного пособия издательства Народная асвета.