Номер 232, страница 74 - гдз по геометрии 11 класс учебник Латотин, Чеботаревский

Геометрия, 11 класс Учебник, авторы: Латотин Леонид Александрович, Чеботаревский Борис Дмитриевич, Горбунова Ирина Владимировна, Цыбулько Оксана Евгеньевна, издательство Белорусская Энциклопедия имени Петруся Бровки, Минск, 2020, белого цвета

Авторы: Латотин Л. А., Чеботаревский Б. Д., Горбунова И. В., Цыбулько О. Е.

Тип: Учебник

Издательство: Белорусская Энциклопедия имени Петруся Бровки

Год издания: 2020 - 2026

Уровень обучения: базовый и повышенный

Цвет обложки: белый в клеточку

ISBN: 978-985-11-1251-3

Допущено Министерством образования Республики Беларусь

Популярные ГДЗ в 11 классе

Раздел 2. Пирамида и конус. Параграф 4. Конус - номер 232, страница 74.

№232 (с. 74)
Условие. №232 (с. 74)
скриншот условия
Геометрия, 11 класс Учебник, авторы: Латотин Леонид Александрович, Чеботаревский Борис Дмитриевич, Горбунова Ирина Владимировна, Цыбулько Оксана Евгеньевна, издательство Белорусская Энциклопедия имени Петруся Бровки, Минск, 2020, белого цвета, страница 74, номер 232, Условие

232. Есть конус с радиусом основания 5 см и высотой 4 см, в который вписана правильная $n$-угольная пирамида. Плоскость, параллельная основанию конуса, пересекает его по кругу с радиусом 2 см. Найдите полную поверхность части пирамиды, заключенной между основанием конуса и секущей плоскостью, учитывая, что:

a) $n = 3$;

б) $n = 4$;

в) $n = 6$;

г) $n = 5$.

Решение 2. №232 (с. 74)
Геометрия, 11 класс Учебник, авторы: Латотин Леонид Александрович, Чеботаревский Борис Дмитриевич, Горбунова Ирина Владимировна, Цыбулько Оксана Евгеньевна, издательство Белорусская Энциклопедия имени Петруся Бровки, Минск, 2020, белого цвета, страница 74, номер 232, Решение 2
Решение 3. №232 (с. 74)

Пусть $R$ — радиус основания конуса, $H$ — его высота. По условию $R = 5$ см, $H = 4$ см. В конус вписана правильная $n$-угольная пирамида. Это означает, что основание пирамиды — правильный $n$-угольник, вписанный в окружность основания конуса, а вершина пирамиды совпадает с вершиной конуса.

Секущая плоскость, параллельная основанию, пересекает конус по кругу с радиусом $r = 2$ см. Эта же плоскость отсекает от пирамиды меньшую пирамиду, подобную исходной. Часть пирамиды, заключенная между основанием и секущей плоскостью, является правильной усеченной $n$-угольной пирамидой.

Найдем высоту этой усеченной пирамиды. Пусть $h_{отс}$ — высота отсеченной (верхней) маленькой пирамиды. Из подобия конусов (исходного и отсеченного) следует, что отношение их высот равно отношению радиусов оснований: $ \frac{h_{отс}}{H} = \frac{r}{R} $ $ h_{отс} = H \cdot \frac{r}{R} = 4 \cdot \frac{2}{5} = \frac{8}{5} = 1.6 \text{ см} $ Высота усеченной пирамиды $h_{усеч}$ равна разности высот исходной и отсеченной пирамид: $ h_{усеч} = H - h_{отс} = 4 - 1.6 = 2.4 \text{ см} $

Полная поверхность усеченной пирамиды $S_{полн}$ складывается из площадей двух оснований (нижнего $S_{нижн}$ и верхнего $S_{верхн}$) и площади боковой поверхности $S_{бок}$: $ S_{полн} = S_{нижн} + S_{верхн} + S_{бок} $

Площадь правильного $n$-угольника, вписанного в окружность радиуса $R_c$, вычисляется по формуле: $ S_n = \frac{1}{2} n R_c^2 \sin\left(\frac{360^\circ}{n}\right) $

Площадь боковой поверхности правильной усеченной пирамиды: $ S_{бок} = \frac{1}{2} (P_{нижн} + P_{верхн}) \cdot h_a $, где $P_{нижн}$ и $P_{верхн}$ — периметры оснований, а $h_a$ — апофема (высота боковой грани).

Для нахождения апофемы $h_a$ рассмотрим осевое сечение усеченной пирамиды, проходящее через апофемы оснований. Это сечение является равнобокой трапецией с высотой $h_{усеч} = 2.4$ см. Основаниями этой трапеции являются апофемы многоугольников в основаниях пирамиды. Апофема $A$ правильного $n$-угольника, вписанного в окружность радиуса $R_c$: $ A = R_c \cos\left(\frac{180^\circ}{n}\right) $ Тогда апофемы нижнего и верхнего оснований: $ A_{нижн} = R \cos\left(\frac{180^\circ}{n}\right) = 5 \cos\left(\frac{180^\circ}{n}\right) $ $ A_{верхн} = r \cos\left(\frac{180^\circ}{n}\right) = 2 \cos\left(\frac{180^\circ}{n}\right) $ Апофему $h_a$ найдем по теореме Пифагора: $ h_a = \sqrt{h_{усеч}^2 + (A_{нижн} - A_{верхн})^2} = \sqrt{2.4^2 + \left(3 \cos\left(\frac{180^\circ}{n}\right)\right)^2} = \sqrt{5.76 + 9 \cos^2\left(\frac{180^\circ}{n}\right)} $

Теперь решим задачу для каждого конкретного значения $n$.

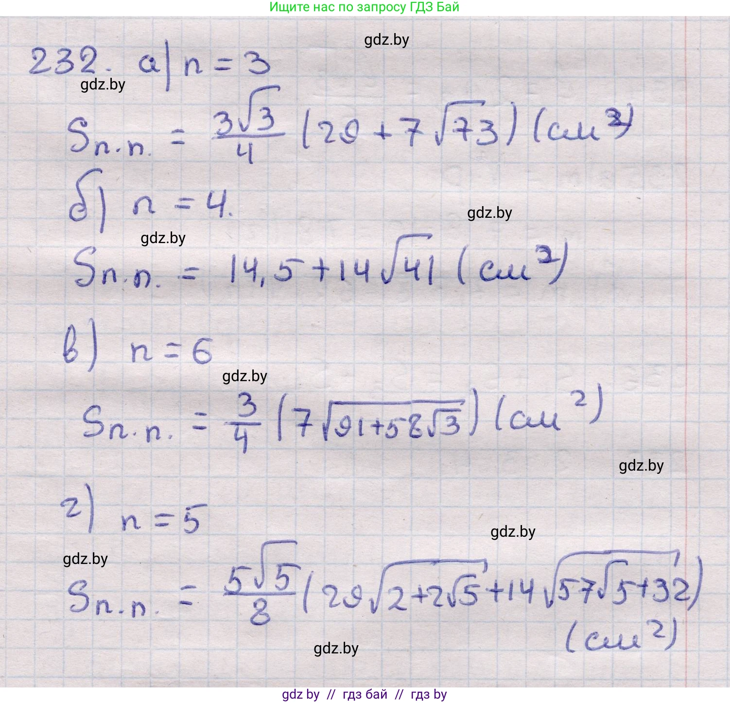
a) n = 3

Имеем дело с усеченной правильной треугольной пирамидой. $ \frac{180^\circ}{3} = 60^\circ $, $ \cos(60^\circ) = \frac{1}{2} $, $ \sin(120^\circ) = \frac{\sqrt{3}}{2} $. Площади оснований: $ S_{нижн} = \frac{1}{2} \cdot 3 \cdot 5^2 \sin(120^\circ) = \frac{75}{2} \cdot \frac{\sqrt{3}}{2} = \frac{75\sqrt{3}}{4} \text{ см}^2 $. $ S_{верхн} = \frac{1}{2} \cdot 3 \cdot 2^2 \sin(120^\circ) = 6 \cdot \frac{\sqrt{3}}{2} = 3\sqrt{3} = \frac{12\sqrt{3}}{4} \text{ см}^2 $. Апофема боковой грани: $ h_a = \sqrt{5.76 + 9 \cos^2(60^\circ)} = \sqrt{5.76 + 9 \left(\frac{1}{2}\right)^2} = \sqrt{5.76 + 2.25} = \sqrt{8.01} = \frac{\sqrt{801}}{10} = \frac{3\sqrt{89}}{10} \text{ см} $. Стороны оснований: $a_{нижн} = 2 \cdot 5 \sin(60^\circ) = 5\sqrt{3}$ см; $a_{верхн} = 2 \cdot 2 \sin(60^\circ) = 2\sqrt{3}$ см. Периметры оснований: $P_{нижн} = 3 \cdot 5\sqrt{3} = 15\sqrt{3}$ см; $P_{верхн} = 3 \cdot 2\sqrt{3} = 6\sqrt{3}$ см. Площадь боковой поверхности: $ S_{бок} = \frac{1}{2} (15\sqrt{3} + 6\sqrt{3}) \cdot \frac{3\sqrt{89}}{10} = \frac{21\sqrt{3}}{2} \cdot \frac{3\sqrt{89}}{10} = \frac{63\sqrt{267}}{20} \text{ см}^2 $. Полная поверхность: $ S_{полн} = \frac{75\sqrt{3}}{4} + \frac{12\sqrt{3}}{4} + \frac{63\sqrt{267}}{20} = \frac{87\sqrt{3}}{4} + \frac{63\sqrt{267}}{20} = \frac{5 \cdot 87\sqrt{3} + 63\sqrt{267}}{20} = \frac{435\sqrt{3} + 63\sqrt{267}}{20} \text{ см}^2 $.

Ответ: $ \frac{435\sqrt{3} + 63\sqrt{267}}{20} \text{ см}^2 $.

б) n = 4

Имеем дело с усеченной правильной четырехугольной пирамидой. $ \frac{180^\circ}{4} = 45^\circ $, $ \cos(45^\circ) = \frac{\sqrt{2}}{2} $, $ \sin(90^\circ) = 1 $. Площади оснований (квадраты): $ S_{нижн} = \frac{1}{2} \cdot 4 \cdot 5^2 \sin(90^\circ) = 2 \cdot 25 \cdot 1 = 50 \text{ см}^2 $. $ S_{верхн} = \frac{1}{2} \cdot 4 \cdot 2^2 \sin(90^\circ) = 2 \cdot 4 \cdot 1 = 8 \text{ см}^2 $. Апофема боковой грани: $ h_a = \sqrt{5.76 + 9 \cos^2(45^\circ)} = \sqrt{5.76 + 9 \left(\frac{\sqrt{2}}{2}\right)^2} = \sqrt{5.76 + 9 \cdot \frac{2}{4}} = \sqrt{5.76 + 4.5} = \sqrt{10.26} = \frac{\sqrt{1026}}{10} = \frac{3\sqrt{114}}{10} \text{ см} $. Стороны оснований: $a_{нижн} = 2 \cdot 5 \sin(45^\circ) = 5\sqrt{2}$ см; $a_{верхн} = 2 \cdot 2 \sin(45^\circ) = 2\sqrt{2}$ см. Периметры оснований: $P_{нижн} = 4 \cdot 5\sqrt{2} = 20\sqrt{2}$ см; $P_{верхн} = 4 \cdot 2\sqrt{2} = 8\sqrt{2}$ см. Площадь боковой поверхности: $ S_{бок} = \frac{1}{2} (20\sqrt{2} + 8\sqrt{2}) \cdot \frac{3\sqrt{114}}{10} = 14\sqrt{2} \cdot \frac{3\sqrt{114}}{10} = \frac{42\sqrt{228}}{10} = \frac{42 \cdot 2\sqrt{57}}{10} = \frac{42\sqrt{57}}{5} \text{ см}^2 $. Полная поверхность: $ S_{полн} = 50 + 8 + \frac{42\sqrt{57}}{5} = 58 + \frac{42\sqrt{57}}{5} \text{ см}^2 $.

Ответ: $ 58 + \frac{42\sqrt{57}}{5} \text{ см}^2 $.

в) n = 6

Имеем дело с усеченной правильной шестиугольной пирамидой. $ \frac{180^\circ}{6} = 30^\circ $, $ \cos(30^\circ) = \frac{\sqrt{3}}{2} $, $ \sin(60^\circ) = \frac{\sqrt{3}}{2} $. Площади оснований: $ S_{нижн} = \frac{1}{2} \cdot 6 \cdot 5^2 \sin(60^\circ) = 3 \cdot 25 \cdot \frac{\sqrt{3}}{2} = \frac{75\sqrt{3}}{2} \text{ см}^2 $. $ S_{верхн} = \frac{1}{2} \cdot 6 \cdot 2^2 \sin(60^\circ) = 3 \cdot 4 \cdot \frac{\sqrt{3}}{2} = 6\sqrt{3} \text{ см}^2 $. Апофема боковой грани: $ h_a = \sqrt{5.76 + 9 \cos^2(30^\circ)} = \sqrt{5.76 + 9 \left(\frac{\sqrt{3}}{2}\right)^2} = \sqrt{5.76 + 9 \cdot \frac{3}{4}} = \sqrt{5.76 + 6.75} = \sqrt{12.51} = \frac{\sqrt{1251}}{10} = \frac{3\sqrt{139}}{10} \text{ см} $. Стороны оснований (для шестиугольника сторона равна радиусу описанной окружности): $a_{нижн} = 5$ см; $a_{верхн} = 2$ см. Периметры оснований: $P_{нижн} = 6 \cdot 5 = 30$ см; $P_{верхн} = 6 \cdot 2 = 12$ см. Площадь боковой поверхности: $ S_{бок} = \frac{1}{2} (30 + 12) \cdot \frac{3\sqrt{139}}{10} = 21 \cdot \frac{3\sqrt{139}}{10} = \frac{63\sqrt{139}}{10} \text{ см}^2 $. Полная поверхность: $ S_{полн} = \frac{75\sqrt{3}}{2} + 6\sqrt{3} + \frac{63\sqrt{139}}{10} = \frac{87\sqrt{3}}{2} + \frac{63\sqrt{139}}{10} = \frac{435\sqrt{3} + 63\sqrt{139}}{10} \text{ см}^2 $.

Ответ: $ \frac{435\sqrt{3} + 63\sqrt{139}}{10} \text{ см}^2 $.

г) n = 5

Имеем дело с усеченной правильной пятиугольной пирамидой. $ \frac{180^\circ}{5} = 36^\circ $, $ \frac{360^\circ}{5} = 72^\circ $. Площади оснований: $ S_{нижн} = \frac{1}{2} \cdot 5 \cdot 5^2 \sin(72^\circ) = \frac{125}{2}\sin(72^\circ) \text{ см}^2 $. $ S_{верхн} = \frac{1}{2} \cdot 5 \cdot 2^2 \sin(72^\circ) = 10\sin(72^\circ) \text{ см}^2 $. Апофема боковой грани: $ h_a = \sqrt{5.76 + 9 \cos^2(36^\circ)} \text{ см} $. Стороны оснований: $a_{нижн} = 2 \cdot 5 \sin(36^\circ) = 10\sin(36^\circ)$ см; $a_{верхн} = 2 \cdot 2 \sin(36^\circ) = 4\sin(36^\circ)$ см. Периметры оснований: $P_{нижн} = 5 \cdot 10\sin(36^\circ) = 50\sin(36^\circ)$ см; $P_{верхн} = 5 \cdot 4\sin(36^\circ) = 20\sin(36^\circ)$ см. Площадь боковой поверхности: $ S_{бок} = \frac{1}{2} (50\sin(36^\circ) + 20\sin(36^\circ)) \cdot \sqrt{5.76 + 9 \cos^2(36^\circ)} = 35\sin(36^\circ)\sqrt{5.76 + 9 \cos^2(36^\circ)} \text{ см}^2 $. Полная поверхность: $ S_{полн} = \frac{125}{2}\sin(72^\circ) + 10\sin(72^\circ) + 35\sin(36^\circ)\sqrt{5.76 + 9 \cos^2(36^\circ)} $. $ S_{полн} = \frac{145}{2}\sin(72^\circ) + 35\sin(36^\circ)\sqrt{5.76 + 9 \cos^2(36^\circ)} $. Используя формулу двойного угла $\sin(72^\circ) = 2\sin(36^\circ)\cos(36^\circ)$: $ S_{полн} = \frac{145}{2} \cdot 2\sin(36^\circ)\cos(36^\circ) + 35\sin(36^\circ)\sqrt{5.76 + 9 \cos^2(36^\circ)} $. $ S_{полн} = 145\sin(36^\circ)\cos(36^\circ) + 35\sin(36^\circ)\sqrt{5.76 + 9 \cos^2(36^\circ)} \text{ см}^2 $.

Ответ: $ 145\sin(36^\circ)\cos(36^\circ) + 35\sin(36^\circ)\sqrt{5.76 + 9 \cos^2(36^\circ)} \text{ см}^2 $.

Помогло решение? Оставьте отзыв в комментариях ниже.

Присоединяйтесь к Телеграм-группе @gdz_by_belarus

Присоединиться

Мы подготовили для вас ответ c подробным объяснением домашего задания по геометрии за 11 класс, для упражнения номер 232 расположенного на странице 74 к учебнику 2020 года издания для учащихся школ и гимназий.

Теперь на нашем сайте ГДЗ.ТОП вы всегда легко и бесплатно найдёте условие с правильным ответом на вопрос «Как решить ДЗ» и «Как сделать» задание по геометрии к упражнению №232 (с. 74), авторов: Латотин (Леонид Александрович), Чеботаревский (Борис Дмитриевич), Горбунова (Ирина Владимировна), Цыбулько (Оксана Евгеньевна), базовый и повышенный уровень обучения учебного пособия издательства Белорусская Энциклопедия имени Петруся Бровки.