Номер 418, страница 148 - гдз по геометрии 11 класс учебник Латотин, Чеботаревский

Геометрия, 11 класс Учебник, авторы: Латотин Леонид Александрович, Чеботаревский Борис Дмитриевич, Горбунова Ирина Владимировна, Цыбулько Оксана Евгеньевна, издательство Белорусская Энциклопедия имени Петруся Бровки, Минск, 2020, белого цвета

Авторы: Латотин Л. А., Чеботаревский Б. Д., Горбунова И. В., Цыбулько О. Е.

Тип: Учебник

Издательство: Белорусская Энциклопедия имени Петруся Бровки

Год издания: 2020 - 2026

Уровень обучения: базовый и повышенный

Цвет обложки: белый в клеточку

ISBN: 978-985-11-1251-3

Допущено Министерством образования Республики Беларусь

Популярные ГДЗ в 11 классе

Раздел 4. Повторение. Параграф 8. Геометрические фигуры и их свойства - номер 418, страница 148.

№418 (с. 148)
Условие. №418 (с. 148)
скриншот условия
Геометрия, 11 класс Учебник, авторы: Латотин Леонид Александрович, Чеботаревский Борис Дмитриевич, Горбунова Ирина Владимировна, Цыбулько Оксана Евгеньевна, издательство Белорусская Энциклопедия имени Петруся Бровки, Минск, 2020, белого цвета, страница 148, номер 418, Условие

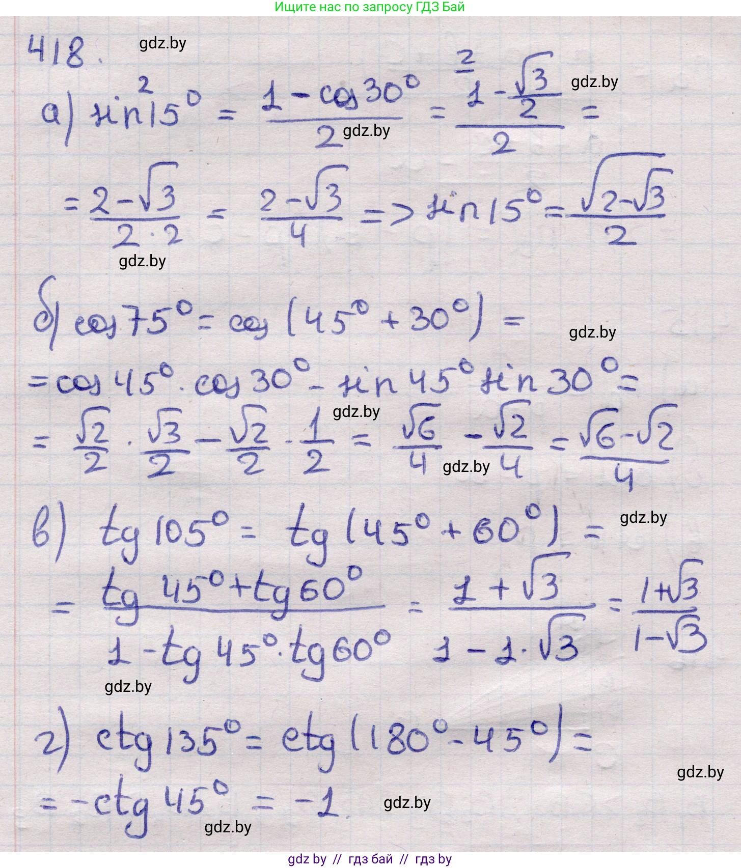
418. Найдите:

а) $\sin 15^\circ$;

б) $\cos 75^\circ$;

в) $tg 105^\circ$;

г) $ctg 135^\circ$.

Решение 2. №418 (с. 148)
Геометрия, 11 класс Учебник, авторы: Латотин Леонид Александрович, Чеботаревский Борис Дмитриевич, Горбунова Ирина Владимировна, Цыбулько Оксана Евгеньевна, издательство Белорусская Энциклопедия имени Петруся Бровки, Минск, 2020, белого цвета, страница 148, номер 418, Решение 2
Решение 3. №418 (с. 148)

a) sin 15°

Для нахождения значения $sin 15°$ воспользуемся формулой синуса разности двух углов: $sin(\alpha - \beta) = sin\alpha \cdot cos\beta - cos\alpha \cdot sin\beta$.

Представим $15°$ как разность углов $45°$ и $30°$, значения синусов и косинусов которых нам известны.

$sin 15° = sin(45° - 30°)$

Подставим значения в формулу, где $\alpha = 45°$ и $\beta = 30°$:

$sin 15° = sin 45° \cdot cos 30° - cos 45° \cdot sin 30°$

Известные значения тригонометрических функций:

$sin 45° = \frac{\sqrt{2}}{2}$

$cos 45° = \frac{\sqrt{2}}{2}$

$sin 30° = \frac{1}{2}$

$cos 30° = \frac{\sqrt{3}}{2}$

Подставляем эти значения в выражение:

$sin 15° = \frac{\sqrt{2}}{2} \cdot \frac{\sqrt{3}}{2} - \frac{\sqrt{2}}{2} \cdot \frac{1}{2} = \frac{\sqrt{6}}{4} - \frac{\sqrt{2}}{4} = \frac{\sqrt{6} - \sqrt{2}}{4}$

Ответ: $\frac{\sqrt{6} - \sqrt{2}}{4}$

б) cos 75°

Для нахождения значения $cos 75°$ воспользуемся формулой косинуса суммы двух углов: $cos(\alpha + \beta) = cos\alpha \cdot cos\beta - sin\alpha \cdot sin\beta$.

Представим $75°$ как сумму углов $45°$ и $30°$.

$cos 75° = cos(45° + 30°)$

Подставим значения в формулу, где $\alpha = 45°$ и $\beta = 30°$:

$cos 75° = cos 45° \cdot cos 30° - sin 45° \cdot sin 30°$

Используем те же известные значения, что и в предыдущем пункте:

$cos 75° = \frac{\sqrt{2}}{2} \cdot \frac{\sqrt{3}}{2} - \frac{\sqrt{2}}{2} \cdot \frac{1}{2} = \frac{\sqrt{6}}{4} - \frac{\sqrt{2}}{4} = \frac{\sqrt{6} - \sqrt{2}}{4}$

Также можно заметить, что $cos 75° = sin(90° - 75°) = sin 15°$, поэтому результат совпадает с результатом из пункта а).

Ответ: $\frac{\sqrt{6} - \sqrt{2}}{4}$

в) tg 105°

Для нахождения значения $tg 105°$ воспользуемся формулой тангенса суммы двух углов: $tg(\alpha + \beta) = \frac{tg\alpha + tg\beta}{1 - tg\alpha \cdot tg\beta}$.

Представим $105°$ как сумму углов $60°$ и $45°$.

$tg 105° = tg(60° + 45°)$

Подставим значения в формулу, где $\alpha = 60°$ и $\beta = 45°$:

$tg 105° = \frac{tg 60° + tg 45°}{1 - tg 60° \cdot tg 45°}$

Известные значения тангенсов:

$tg 60° = \sqrt{3}$

$tg 45° = 1$

Подставляем эти значения в выражение:

$tg 105° = \frac{\sqrt{3} + 1}{1 - \sqrt{3} \cdot 1} = \frac{1 + \sqrt{3}}{1 - \sqrt{3}}$

Чтобы избавиться от иррациональности в знаменателе, умножим числитель и знаменатель на сопряженное к знаменателю выражение $(1 + \sqrt{3})$:

$tg 105° = \frac{(1 + \sqrt{3})(1 + \sqrt{3})}{(1 - \sqrt{3})(1 + \sqrt{3})} = \frac{1^2 + 2\sqrt{3} + (\sqrt{3})^2}{1^2 - (\sqrt{3})^2} = \frac{1 + 2\sqrt{3} + 3}{1 - 3} = \frac{4 + 2\sqrt{3}}{-2} = -(2 + \sqrt{3})$

Угол $105°$ находится во второй четверти, где тангенс отрицателен, что соответствует полученному результату.

Ответ: $-(2 + \sqrt{3})$

г) ctg 135°

Для нахождения значения $ctg 135°$ воспользуемся формулами приведения.

Представим $135°$ как $180° - 45°$.

$ctg 135° = ctg(180° - 45°)$

Угол $135°$ находится во второй четверти, где котангенс имеет отрицательный знак. При использовании формулы приведения $ctg(180° - \alpha)$, название функции не меняется.

Следовательно, $ctg(180° - 45°) = -ctg 45°$.

Значение $ctg 45°$ нам известно:

$ctg 45° = 1$

Таким образом:

$ctg 135° = -1$

Ответ: -1

Помогло решение? Оставьте отзыв в комментариях ниже.

Присоединяйтесь к Телеграм-группе @gdz_by_belarus

Присоединиться

Мы подготовили для вас ответ c подробным объяснением домашего задания по геометрии за 11 класс, для упражнения номер 418 расположенного на странице 148 к учебнику 2020 года издания для учащихся школ и гимназий.

Теперь на нашем сайте ГДЗ.ТОП вы всегда легко и бесплатно найдёте условие с правильным ответом на вопрос «Как решить ДЗ» и «Как сделать» задание по геометрии к упражнению №418 (с. 148), авторов: Латотин (Леонид Александрович), Чеботаревский (Борис Дмитриевич), Горбунова (Ирина Владимировна), Цыбулько (Оксана Евгеньевна), базовый и повышенный уровень обучения учебного пособия издательства Белорусская Энциклопедия имени Петруся Бровки.