Номер 28.9, страница 130 - гдз по алгебре 7-9 класс сборник задач Арефьева, Пирютко

Алгебра, 7-9 класс Сборник задач, авторы: Арефьева Ирина Глебовна, Пирютко Ольга Николаевна, издательство Народная асвета, Минск, 2020

Авторы: Арефьева И. Г., Пирютко О. Н.

Тип: Сборник задач

Издательство: Народная асвета

Год издания: 2020 - 2026

Цвет обложки: синий с графиками

Допущено Министерством образования Республики Беларусь

Популярные ГДЗ в 7 классе

8 класс. Параграф 28. Решение целых рациональных уравнений, сводящихся к квадратным уравнениям - номер 28.9, страница 130.

№28.9 (с. 130)
Условие. №28.9 (с. 130)
скриншот условия
Алгебра, 7-9 класс Сборник задач, авторы: Арефьева Ирина Глебовна, Пирютко Ольга Николаевна, издательство Народная асвета, Минск, 2020, страница 130, номер 28.9, Условие

28.9*. Выполните замену переменной и решите уравнение:

а) $x^2 + |x| - 20 = 0$;

б) $3x^2 - |x| - 2 = 0$;

в) $x^2 - 4x - 2|x - 2| + 1 = 0$;

г) $x^2 - 2x + 1 = |x - 1|$.

Решение. №28.9 (с. 130)
Алгебра, 7-9 класс Сборник задач, авторы: Арефьева Ирина Глебовна, Пирютко Ольга Николаевна, издательство Народная асвета, Минск, 2020, страница 130, номер 28.9, Решение Алгебра, 7-9 класс Сборник задач, авторы: Арефьева Ирина Глебовна, Пирютко Ольга Николаевна, издательство Народная асвета, Минск, 2020, страница 130, номер 28.9, Решение (продолжение 2)
Решение 2. №28.9 (с. 130)

а) $x^2 + |x| - 20 = 0$
Заметим, что $x^2 = |x|^2$. Тогда уравнение можно переписать в виде: $|x|^2 + |x| - 20 = 0$.
Выполним замену переменной. Пусть $t = |x|$. Так как модуль числа является неотрицательной величиной, то $t \ge 0$.
Получим квадратное уравнение относительно переменной $t$: $t^2 + t - 20 = 0$.
Решим это уравнение с помощью теоремы Виета: $t_1 + t_2 = -1$ $t_1 \cdot t_2 = -20$
Корнями являются $t_1 = -5$ и $t_2 = 4$.
Корень $t_1 = -5$ не удовлетворяет условию $t \ge 0$, поэтому он является посторонним.
Корень $t_2 = 4$ удовлетворяет условию $t \ge 0$.
Выполним обратную замену: $|x| = 4$.
Отсюда получаем два решения: $x_1 = 4$ и $x_2 = -4$.
Ответ: $-4; 4$.

б) $3x^2 - |x| - 2 = 0$
Так как $x^2 = |x|^2$, перепишем уравнение: $3|x|^2 - |x| - 2 = 0$.
Сделаем замену переменной: $t = |x|$, где $t \ge 0$.
Получим квадратное уравнение: $3t^2 - t - 2 = 0$.
Найдем корни через дискриминант: $D = b^2 - 4ac = (-1)^2 - 4 \cdot 3 \cdot (-2) = 1 + 24 = 25$.
$t = \frac{-b \pm \sqrt{D}}{2a} = \frac{1 \pm \sqrt{25}}{2 \cdot 3} = \frac{1 \pm 5}{6}$.
$t_1 = \frac{1 + 5}{6} = \frac{6}{6} = 1$.
$t_2 = \frac{1 - 5}{6} = \frac{-4}{6} = -\frac{2}{3}$.
Корень $t_2 = -\frac{2}{3}$ не удовлетворяет условию $t \ge 0$.
Корень $t_1 = 1$ удовлетворяет условию.
Выполним обратную замену: $|x| = 1$.
Отсюда $x_1 = 1$ и $x_2 = -1$.
Ответ: $-1; 1$.

в) $x^2 - 4x - 2|x - 2| + 1 = 0$
Преобразуем выражение $x^2 - 4x$ в левой части уравнения, выделив полный квадрат: $x^2 - 4x = (x^2 - 4x + 4) - 4 = (x - 2)^2 - 4$.
Подставим это в исходное уравнение: $(x - 2)^2 - 4 - 2|x - 2| + 1 = 0$
$(x - 2)^2 - 2|x - 2| - 3 = 0$.
Используя свойство $(x-2)^2 = |x-2|^2$, получим: $|x - 2|^2 - 2|x - 2| - 3 = 0$.
Выполним замену переменной: $t = |x - 2|$, где $t \ge 0$.
$t^2 - 2t - 3 = 0$.
По теореме Виета: $t_1 + t_2 = 2$ $t_1 \cdot t_2 = -3$
Корни: $t_1 = 3$ и $t_2 = -1$.
Корень $t_2 = -1$ не удовлетворяет условию $t \ge 0$.
Корень $t_1 = 3$ подходит.
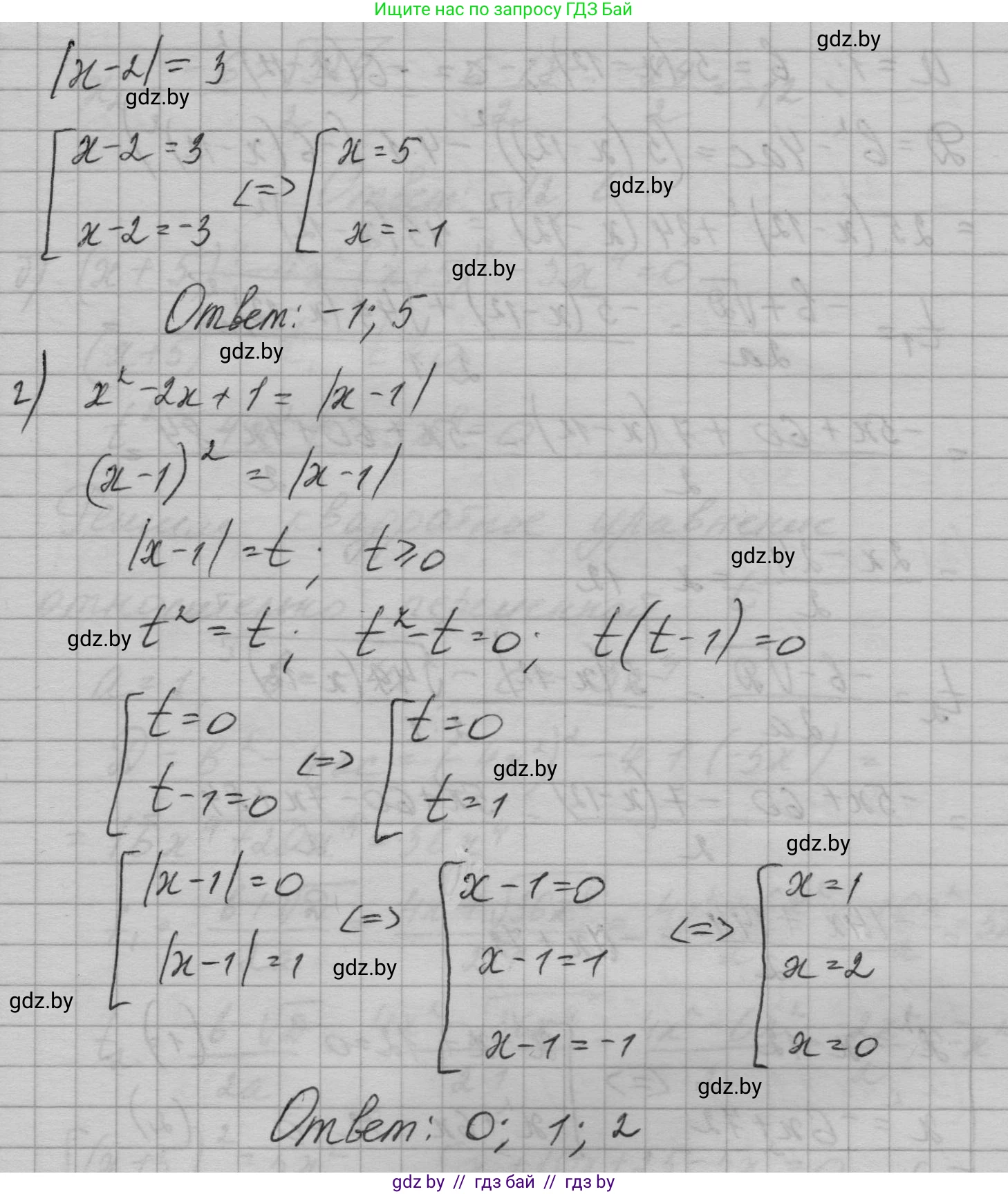
Вернемся к исходной переменной: $|x - 2| = 3$.
Рассмотрим два случая: 1) $x - 2 = 3 \implies x = 5$. 2) $x - 2 = -3 \implies x = -1$.
Ответ: $-1; 5$.

г) $x^2 - 2x + 1 = |x - 1|$
Левая часть уравнения является полным квадратом: $x^2 - 2x + 1 = (x - 1)^2$.
Уравнение принимает вид: $(x - 1)^2 = |x - 1|$.
Так как $(x - 1)^2 = |x - 1|^2$, перепишем уравнение: $|x - 1|^2 = |x - 1|$.
$|x - 1|^2 - |x - 1| = 0$.
Выполним замену переменной: $t = |x - 1|$, где $t \ge 0$.
$t^2 - t = 0$.
$t(t - 1) = 0$.
Отсюда $t_1 = 0$ или $t_2 = 1$.
Оба корня удовлетворяют условию $t \ge 0$.
Выполним обратную замену для каждого корня: 1) $|x - 1| = 0 \implies x - 1 = 0 \implies x = 1$. 2) $|x - 1| = 1$. Это уравнение распадается на два: $x - 1 = 1 \implies x = 2$. $x - 1 = -1 \implies x = 0$.
Получили три решения.
Ответ: $0; 1; 2$.

Помогло решение? Оставьте отзыв в комментариях ниже.

Присоединяйтесь к Телеграм-группе @gdz_by_belarus

Присоединиться

Мы подготовили для вас ответ c подробным объяснением домашего задания по алгебре за 7-9 класс, для упражнения номер 28.9 расположенного на странице 130 к сборнику задач 2020 года издания для учащихся школ и гимназий.

Теперь на нашем сайте ГДЗ.ТОП вы всегда легко и бесплатно найдёте условие с правильным ответом на вопрос «Как решить ДЗ» и «Как сделать» задание по алгебре к упражнению №28.9 (с. 130), авторов: Арефьева (Ирина Глебовна), Пирютко (Ольга Николаевна), учебного пособия издательства Народная асвета.