Номер 28.10, страница 130 - гдз по алгебре 7-9 класс сборник задач Арефьева, Пирютко

Алгебра, 7-9 класс Сборник задач, авторы: Арефьева Ирина Глебовна, Пирютко Ольга Николаевна, издательство Народная асвета, Минск, 2020

Авторы: Арефьева И. Г., Пирютко О. Н.

Тип: Сборник задач

Издательство: Народная асвета

Год издания: 2020 - 2026

Цвет обложки: синий с графиками

Допущено Министерством образования Республики Беларусь

Популярные ГДЗ в 7 классе

8 класс. Параграф 28. Решение целых рациональных уравнений, сводящихся к квадратным уравнениям - номер 28.10, страница 130.

№28.10 (с. 130)
Условие. №28.10 (с. 130)
скриншот условия
Алгебра, 7-9 класс Сборник задач, авторы: Арефьева Ирина Глебовна, Пирютко Ольга Николаевна, издательство Народная асвета, Минск, 2020, страница 130, номер 28.10, Условие

28.10*. Решите уравнение:

a) $x^4 + 5x^2(x - 12) - 6(x - 12)^2 = 0$

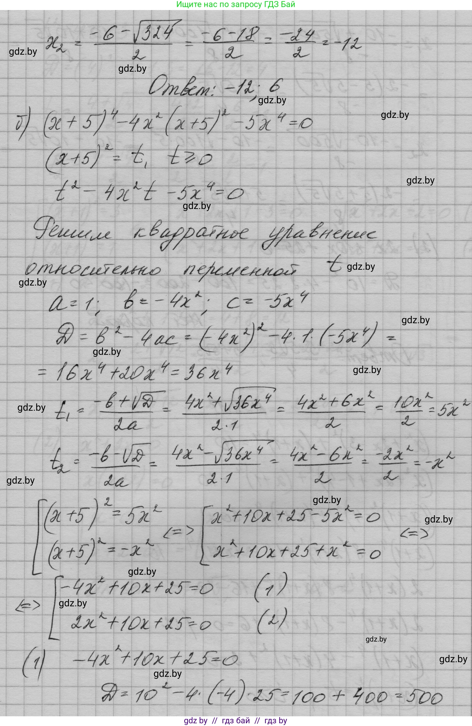
б) $(x + 5)^4 - 4x^2(x + 5)^2 - 5x^4 = 0$

Решение. №28.10 (с. 130)
Алгебра, 7-9 класс Сборник задач, авторы: Арефьева Ирина Глебовна, Пирютко Ольга Николаевна, издательство Народная асвета, Минск, 2020, страница 130, номер 28.10, Решение Алгебра, 7-9 класс Сборник задач, авторы: Арефьева Ирина Глебовна, Пирютко Ольга Николаевна, издательство Народная асвета, Минск, 2020, страница 130, номер 28.10, Решение (продолжение 2)
Решение 2. №28.10 (с. 130)
a)

Дано уравнение $x^4 + 5x^2(x - 12) - 6(x - 12)^2 = 0$.

Это уравнение можно привести к квадратному виду с помощью замены переменных. Пусть $a = x^2$ и $b = x - 12$. Тогда уравнение принимает вид:

$a^2 + 5ab - 6b^2 = 0$

Решим это уравнение как квадратное относительно переменной $a$. Можно разложить левую часть на множители. Найдем два числа, произведение которых равно $-6$, а сумма равна $5$. Это числа $6$ и $-1$.

$(a + 6b)(a - b) = 0$

Отсюда следует, что либо $a - b = 0$, либо $a + 6b = 0$. Рассмотрим оба случая, выполнив обратную замену.

Случай 1: $a - b = 0$, то есть $a = b$.

$x^2 = x - 12$

$x^2 - x + 12 = 0$

Найдем дискриминант этого квадратного уравнения: $D = b^2 - 4ac = (-1)^2 - 4(1)(12) = 1 - 48 = -47$.

Так как $D < 0$, в этом случае действительных корней нет.

Случай 2: $a + 6b = 0$, то есть $a = -6b$.

$x^2 = -6(x - 12)$

$x^2 = -6x + 72$

$x^2 + 6x - 72 = 0$

Найдем дискриминант: $D = b^2 - 4ac = 6^2 - 4(1)(-72) = 36 + 288 = 324 = 18^2$.

Корни уравнения:

$x_1 = \frac{-6 - 18}{2} = \frac{-24}{2} = -12$

$x_2 = \frac{-6 + 18}{2} = \frac{12}{2} = 6$

Таким образом, исходное уравнение имеет два корня.

Ответ: $-12; 6$.

б)

Дано уравнение $(x + 5)^4 - 4x^2(x + 5)^2 - 5x^4 = 0$.

Это уравнение является однородным относительно выражений $(x+5)^2$ и $x^2$. Сделаем замену: пусть $a = (x+5)^2$ и $b = x^2$.

Уравнение принимает вид:

$a^2 - 4ab - 5b^2 = 0$

Проверим, является ли $x=0$ корнем. При $x=0$ левая часть равна $(0+5)^4 = 625 \neq 0$, значит $x \neq 0$ и $b = x^2 \neq 0$.

Разделим уравнение на $b^2$ (так как $b \neq 0$):

$(\frac{a}{b})^2 - 4(\frac{a}{b}) - 5 = 0$

Сделаем еще одну замену: $t = \frac{a}{b}$.

$t^2 - 4t - 5 = 0$

Решим это квадратное уравнение. По теореме Виета корни $t_1 = 5$ и $t_2 = -1$.

Теперь вернемся к исходной переменной $x$.

Случай 1: $t = 5$.

$\frac{a}{b} = \frac{(x+5)^2}{x^2} = 5$

$(x+5)^2 = 5x^2$

Извлечем квадратный корень из обеих частей:

$x+5 = \pm \sqrt{5}x$

Рассмотрим два подслучая:

1) $x+5 = \sqrt{5}x \implies 5 = \sqrt{5}x - x \implies 5 = x(\sqrt{5}-1) \implies x_1 = \frac{5}{\sqrt{5}-1} = \frac{5(\sqrt{5}+1)}{(\sqrt{5}-1)(\sqrt{5}+1)} = \frac{5(\sqrt{5}+1)}{4}$.

2) $x+5 = -\sqrt{5}x \implies 5 = -\sqrt{5}x - x \implies 5 = -x(\sqrt{5}+1) \implies x_2 = -\frac{5}{\sqrt{5}+1} = -\frac{5(\sqrt{5}-1)}{(\sqrt{5}+1)(\sqrt{5}-1)} = -\frac{5(\sqrt{5}-1)}{4} = \frac{5(1-\sqrt{5})}{4}$.

Случай 2: $t = -1$.

$\frac{(x+5)^2}{x^2} = -1$

$(x+5)^2 = -x^2$

Для любого действительного $x$ левая часть $(x+5)^2 \ge 0$, а правая часть $-x^2 \le 0$. Равенство возможно только если обе части равны нулю, то есть $(x+5)^2 = 0$ и $-x^2 = 0$. Первое уравнение дает $x=-5$, а второе $x=0$. Так как нет значения $x$, удовлетворяющего обоим условиям одновременно, в этом случае действительных корней нет.

Ответ: $\frac{5(1-\sqrt{5})}{4}; \frac{5(1+\sqrt{5})}{4}$.

Помогло решение? Оставьте отзыв в комментариях ниже.

Присоединяйтесь к Телеграм-группе @gdz_by_belarus

Присоединиться

Мы подготовили для вас ответ c подробным объяснением домашего задания по алгебре за 7-9 класс, для упражнения номер 28.10 расположенного на странице 130 к сборнику задач 2020 года издания для учащихся школ и гимназий.

Теперь на нашем сайте ГДЗ.ТОП вы всегда легко и бесплатно найдёте условие с правильным ответом на вопрос «Как решить ДЗ» и «Как сделать» задание по алгебре к упражнению №28.10 (с. 130), авторов: Арефьева (Ирина Глебовна), Пирютко (Ольга Николаевна), учебного пособия издательства Народная асвета.