Номер 28.11, страница 130 - гдз по алгебре 7-9 класс сборник задач Арефьева, Пирютко

Алгебра, 7-9 класс Сборник задач, авторы: Арефьева Ирина Глебовна, Пирютко Ольга Николаевна, издательство Народная асвета, Минск, 2020

Авторы: Арефьева И. Г., Пирютко О. Н.

Тип: Сборник задач

Издательство: Народная асвета

Год издания: 2020 - 2026

Цвет обложки: синий с графиками

Допущено Министерством образования Республики Беларусь

Популярные ГДЗ в 7 классе

8 класс. Параграф 28. Решение целых рациональных уравнений, сводящихся к квадратным уравнениям - номер 28.11, страница 130.

№28.11 (с. 130)
Условие. №28.11 (с. 130)
скриншот условия
Алгебра, 7-9 класс Сборник задач, авторы: Арефьева Ирина Глебовна, Пирютко Ольга Николаевна, издательство Народная асвета, Минск, 2020, страница 130, номер 28.11, Условие

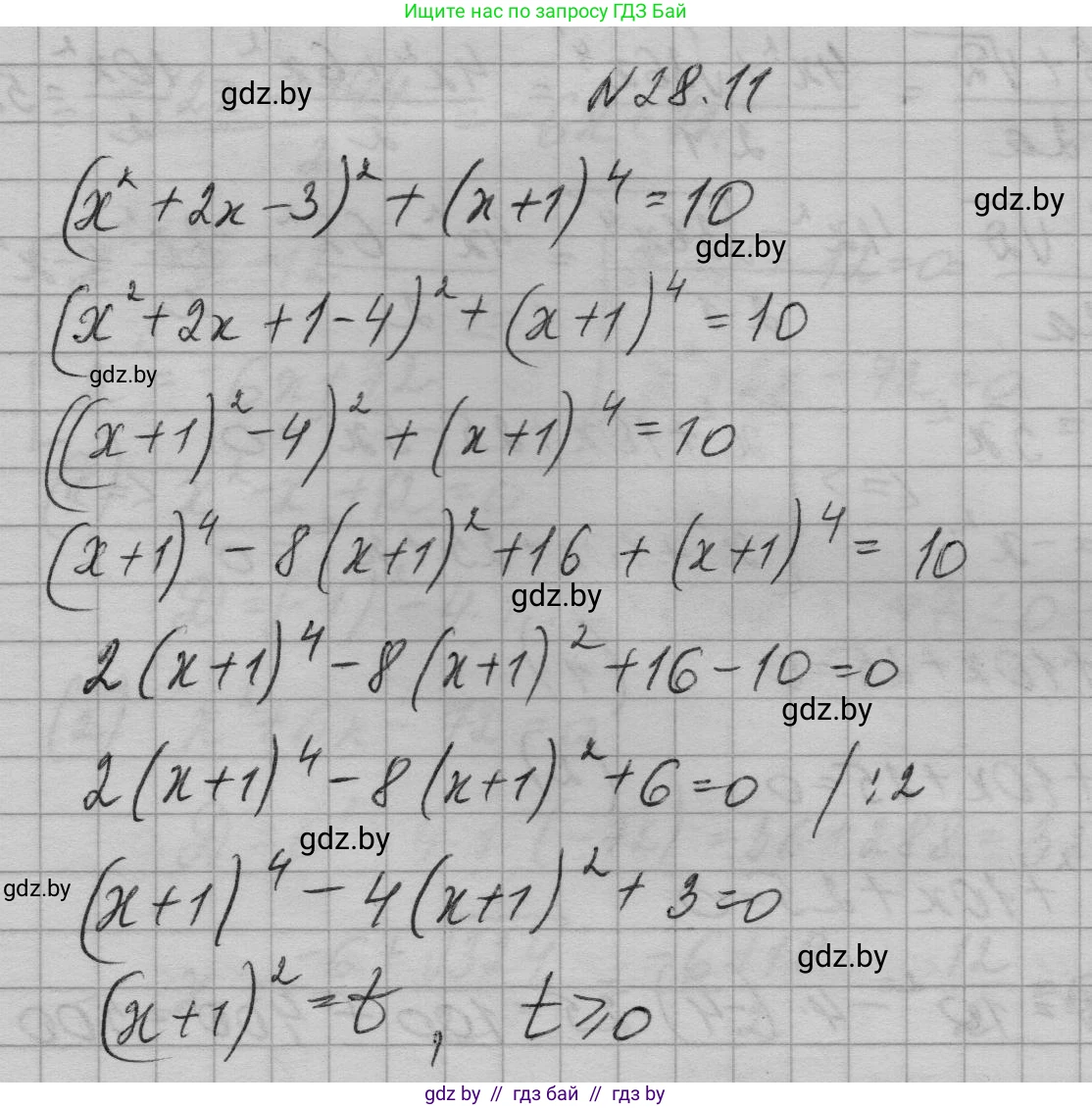
28.11*. Решите уравнение $(x^2+2x-3)^2+(x+1)^4=10.$

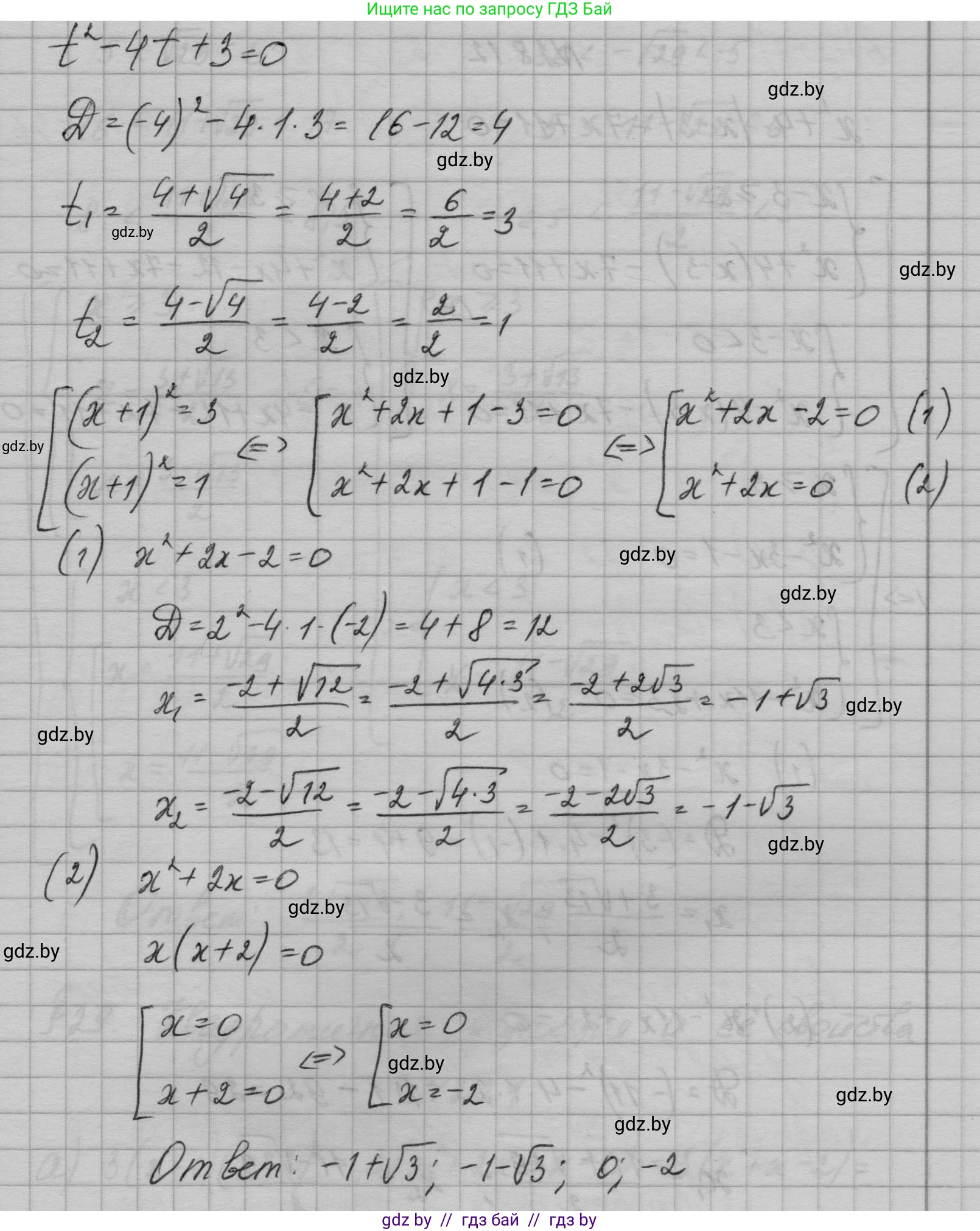
Решение. №28.11 (с. 130)
Алгебра, 7-9 класс Сборник задач, авторы: Арефьева Ирина Глебовна, Пирютко Ольга Николаевна, издательство Народная асвета, Минск, 2020, страница 130, номер 28.11, Решение Алгебра, 7-9 класс Сборник задач, авторы: Арефьева Ирина Глебовна, Пирютко Ольга Николаевна, издательство Народная асвета, Минск, 2020, страница 130, номер 28.11, Решение (продолжение 2)
Решение 2. №28.11 (с. 130)

Преобразуем выражение в первых скобках, выделив полный квадрат:

$x^2 + 2x - 3 = (x^2 + 2x + 1) - 1 - 3 = (x+1)^2 - 4$.

Подставим это выражение в исходное уравнение:

$((x+1)^2 - 4)^2 + (x+1)^4 = 10$.

Введем замену переменной. Пусть $t = (x+1)^2$. Так как квадрат любого действительного числа неотрицателен, то $t \ge 0$.

Уравнение примет вид:

$(t - 4)^2 + t^2 = 10$.

Раскроем скобки и решим полученное квадратное уравнение относительно $t$:

$t^2 - 8t + 16 + t^2 = 10$

$2t^2 - 8t + 16 - 10 = 0$

$2t^2 - 8t + 6 = 0$

Разделим обе части уравнения на 2:

$t^2 - 4t + 3 = 0$.

По теореме Виета, корни этого уравнения $t_1 = 1$ и $t_2 = 3$. Оба корня удовлетворяют условию $t \ge 0$.

Выполним обратную замену.

1. Если $t = 1$, то:

$(x+1)^2 = 1$

$x+1 = 1$ или $x+1 = -1$

$x_1 = 0$

$x_2 = -2$

2. Если $t = 3$, то:

$(x+1)^2 = 3$

$x+1 = \sqrt{3}$ или $x+1 = -\sqrt{3}$

$x_3 = \sqrt{3} - 1$

$x_4 = -\sqrt{3} - 1$

Таким образом, уравнение имеет четыре действительных корня.

Ответ: $0; -2; \sqrt{3} - 1; -\sqrt{3} - 1$.

Помогло решение? Оставьте отзыв в комментариях ниже.

Присоединяйтесь к Телеграм-группе @gdz_by_belarus

Присоединиться

Мы подготовили для вас ответ c подробным объяснением домашего задания по алгебре за 7-9 класс, для упражнения номер 28.11 расположенного на странице 130 к сборнику задач 2020 года издания для учащихся школ и гимназий.

Теперь на нашем сайте ГДЗ.ТОП вы всегда легко и бесплатно найдёте условие с правильным ответом на вопрос «Как решить ДЗ» и «Как сделать» задание по алгебре к упражнению №28.11 (с. 130), авторов: Арефьева (Ирина Глебовна), Пирютко (Ольга Николаевна), учебного пособия издательства Народная асвета.