Номер 2.202, страница 94 - гдз по алгебре 7 класс учебник Арефьева, Пирютко

Алгебра, 7 класс Учебник, авторы: Арефьева Ирина Глебовна, Пирютко Ольга Николаевна, издательство Народная асвета, Минск, 2022, зелёного цвета

Авторы: Арефьева И. Г., Пирютко О. Н.

Тип: Учебник

Издательство: Народная асвета

Год издания: 2022 - 2026

Цвет обложки: зелёный с графиком

ISBN: ISBN 978-985-03-3770-2

Допущено Министерством образования Республики Беларусь

Глава 2. Выражения и их преобразования. Параграф 10. Умножение и деление многочлена на одночлен - номер 2.202, страница 94.

№2.202 (с. 94)
Условие. №2.202 (с. 94)
скриншот условия
Алгебра, 7 класс Учебник, авторы: Арефьева Ирина Глебовна, Пирютко Ольга Николаевна, издательство Народная асвета, Минск, 2022, зелёного цвета, страница 94, номер 2.202, Условие Алгебра, 7 класс Учебник, авторы: Арефьева Ирина Глебовна, Пирютко Ольга Николаевна, издательство Народная асвета, Минск, 2022, зелёного цвета, страница 94, номер 2.202, Условие (продолжение 2)

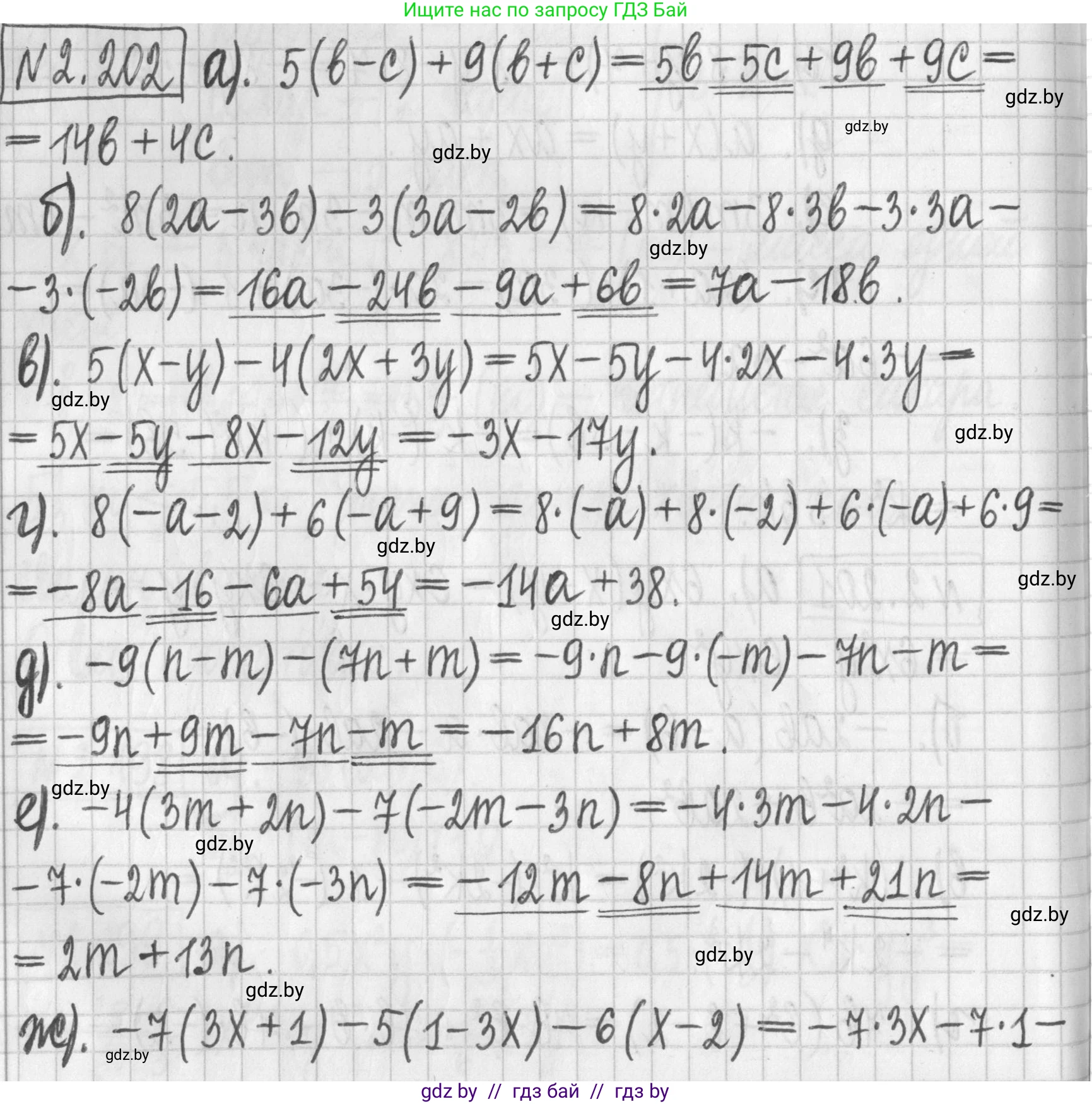
2.202. Выполните необходимые тождественные преобразования и приведите результат к многочлену стандартного вида:

а) $5(b - c) + 9(b + c);$

б) $8(2a - 3b) - 3(3a - 2b);$

в) $5(x - y) - 4(2x + 3y);$

г) $8(-a - 2) + 6(-a + 9);$

д) $-9(n - m) - (7n + m);$

е) $-4(3m + 2n) - 7(-2m - 3n);$

ж) $-7(3x + 1) - 5(1 - 3x) - 6(x - 2);$

з) $-8(-3x - y) - 2(x - 5y) + 4x.$

Решение. №2.202 (с. 94)
Алгебра, 7 класс Учебник, авторы: Арефьева Ирина Глебовна, Пирютко Ольга Николаевна, издательство Народная асвета, Минск, 2022, зелёного цвета, страница 94, номер 2.202, Решение Алгебра, 7 класс Учебник, авторы: Арефьева Ирина Глебовна, Пирютко Ольга Николаевна, издательство Народная асвета, Минск, 2022, зелёного цвета, страница 94, номер 2.202, Решение (продолжение 2)
Решение 2. №2.202 (с. 94)

а) $5(b - c) + 9(b + c)$

Для упрощения выражения раскроем скобки, умножив каждый член в скобках на множитель перед ними, а затем приведем подобные слагаемые.

  1. Раскрываем скобки:

    $5(b - c) + 9(b + c) = 5 \cdot b - 5 \cdot c + 9 \cdot b + 9 \cdot c = 5b - 5c + 9b + 9c$

  2. Группируем подобные слагаемые (члены с одинаковыми переменными):

    $(5b + 9b) + (-5c + 9c)$

  3. Складываем коэффициенты у подобных слагаемых:

    $14b + 4c$

Ответ: $14b + 4c$

б) $8(2a - 3b) - 3(3a - 2b)$

Раскрываем скобки, обращая внимание на знак "минус" перед вторым слагаемым, и приводим подобные члены.

  1. Раскрываем скобки:

    $8(2a - 3b) - 3(3a - 2b) = 8 \cdot 2a - 8 \cdot 3b - 3 \cdot 3a - 3 \cdot (-2b) = 16a - 24b - 9a + 6b$

  2. Группируем подобные слагаемые:

    $(16a - 9a) + (-24b + 6b)$

  3. Выполняем действия с коэффициентами:

    $7a - 18b$

Ответ: $7a - 18b$

в) $5(x - y) - 4(2x + 3y)$

Действуем аналогично предыдущим примерам.

  1. Раскрываем скобки:

    $5(x - y) - 4(2x + 3y) = 5x - 5y - 4 \cdot 2x - 4 \cdot 3y = 5x - 5y - 8x - 12y$

  2. Группируем подобные слагаемые:

    $(5x - 8x) + (-5y - 12y)$

  3. Приводим подобные:

    $-3x - 17y$

Ответ: $-3x - 17y$

г) $8(-a - 2) + 6(-a + 9)$

Упрощаем выражение, раскрывая скобки и складывая подобные члены.

  1. Раскрываем скобки:

    $8(-a - 2) + 6(-a + 9) = -8a - 16 - 6a + 54$

  2. Группируем подобные слагаемые:

    $(-8a - 6a) + (-16 + 54)$

  3. Выполняем сложение:

    $-14a + 38$

Ответ: $-14a + 38$

д) $-9(n - m) - (7n + m)$

Раскрываем скобки. Перед второй скобкой стоит знак "минус", поэтому знаки всех членов в ней меняются на противоположные.

  1. Раскрываем скобки:

    $-9(n - m) - (7n + m) = -9n + 9m - 7n - m$

  2. Группируем подобные слагаемые (принято располагать переменные в алфавитном порядке):

    $(9m - m) + (-9n - 7n)$

  3. Приводим подобные:

    $8m - 16n$

Ответ: $8m - 16n$

е) $-4(3m + 2n) - 7(-2m - 3n)$

Умножаем содержимое скобок на отрицательные множители и приводим подобные.

  1. Раскрываем скобки:

    $-4(3m + 2n) - 7(-2m - 3n) = -12m - 8n + 14m + 21n$

  2. Группируем подобные слагаемые:

    $(-12m + 14m) + (-8n + 21n)$

  3. Складываем коэффициенты:

    $2m + 13n$

Ответ: $2m + 13n$

ж) $-7(3x + 1) - 5(1 - 3x) - 6(x - 2)$

Это выражение содержит три слагаемых со скобками. Раскрываем все скобки и приводим подобные.

  1. Раскрываем все скобки последовательно:

    $-7 \cdot 3x - 7 \cdot 1 - 5 \cdot 1 - 5 \cdot (-3x) - 6 \cdot x - 6 \cdot (-2) = -21x - 7 - 5 + 15x - 6x + 12$

  2. Группируем подобные слагаемые (члены с $x$ и константы):

    $(-21x + 15x - 6x) + (-7 - 5 + 12)$

  3. Выполняем действия:

    $(-6x - 6x) + (-12 + 12) = -12x + 0 = -12x$

Ответ: $-12x$

з) $-8(-3x - y) - 2(x - 5y) + 4x$

Раскрываем скобки, приводим подобные слагаемые, не забывая про член $4x$, который стоит отдельно.

  1. Раскрываем скобки:

    $-8(-3x - y) - 2(x - 5y) + 4x = 24x + 8y - 2x + 10y + 4x$

  2. Группируем подобные слагаемые:

    $(24x - 2x + 4x) + (8y + 10y)$

  3. Складываем коэффициенты:

    $(22x + 4x) + 18y = 26x + 18y$

Ответ: $26x + 18y$

Помогло решение? Оставьте отзыв в комментариях ниже.

Присоединяйтесь к Телеграм-группе @gdz_by_belarus

Присоединиться

Мы подготовили для вас ответ c подробным объяснением домашего задания по алгебре за 7 класс, для упражнения номер 2.202 расположенного на странице 94 к учебнику 2022 года издания для учащихся школ и гимназий.

Теперь на нашем сайте ГДЗ.ТОП вы всегда легко и бесплатно найдёте условие с правильным ответом на вопрос «Как решить ДЗ» и «Как сделать» задание по алгебре к упражнению №2.202 (с. 94), авторов: Арефьева (Ирина Глебовна), Пирютко (Ольга Николаевна), учебного пособия издательства Народная асвета.