Номер 2.205, страница 95 - гдз по алгебре 7 класс учебник Арефьева, Пирютко

Алгебра, 7 класс Учебник, авторы: Арефьева Ирина Глебовна, Пирютко Ольга Николаевна, издательство Народная асвета, Минск, 2022, зелёного цвета

Авторы: Арефьева И. Г., Пирютко О. Н.

Тип: Учебник

Издательство: Народная асвета

Год издания: 2022 - 2026

Цвет обложки: зелёный с графиком

ISBN: ISBN 978-985-03-3770-2

Допущено Министерством образования Республики Беларусь

Глава 2. Выражения и их преобразования. Параграф 10. Умножение и деление многочлена на одночлен - номер 2.205, страница 95.

№2.205 (с. 95)
Условие. №2.205 (с. 95)
скриншот условия
Алгебра, 7 класс Учебник, авторы: Арефьева Ирина Глебовна, Пирютко Ольга Николаевна, издательство Народная асвета, Минск, 2022, зелёного цвета, страница 95, номер 2.205, Условие

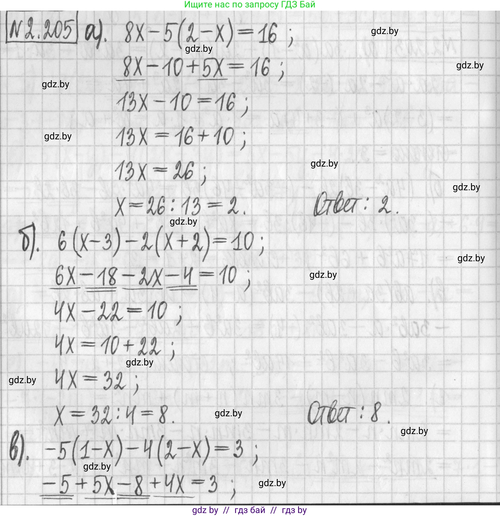
2.205. Решите уравнение, выполнив тождественные преобразования в его левой части:

а) $8x - 5(2 - x) = 16;$

б) $6(x - 3) - 2(x + 2) = 10;$

в) $-5(1 - x) - 4(2 - x) = 3.$

Решение. №2.205 (с. 95)
Алгебра, 7 класс Учебник, авторы: Арефьева Ирина Глебовна, Пирютко Ольга Николаевна, издательство Народная асвета, Минск, 2022, зелёного цвета, страница 95, номер 2.205, Решение Алгебра, 7 класс Учебник, авторы: Арефьева Ирина Глебовна, Пирютко Ольга Николаевна, издательство Народная асвета, Минск, 2022, зелёного цвета, страница 95, номер 2.205, Решение (продолжение 2)
Решение 2. №2.205 (с. 95)

а) 8x - 5(2 - x) = 16;

Выполним тождественные преобразования в левой части уравнения. Сначала раскроем скобки, умножив -5 на каждый член в скобках (2 и -x):

$8x - 5 \cdot 2 - 5 \cdot (-x) = 16$

$8x - 10 + 5x = 16$

Приведем подобные слагаемые (члены с x и свободные члены):

$(8x + 5x) - 10 = 16$

$13x - 10 = 16$

Теперь решим полученное линейное уравнение. Перенесем свободный член (-10) в правую часть, изменив его знак на противоположный:

$13x = 16 + 10$

$13x = 26$

Найдем x, разделив обе части уравнения на 13:

$x = \frac{26}{13}$

$x = 2$

Ответ: 2.

б) 6(x - 3) - 2(x + 2) = 10;

Преобразуем левую часть уравнения, раскрыв обе скобки:

$6x - 6 \cdot 3 - 2x - 2 \cdot 2 = 10$

$6x - 18 - 2x - 4 = 10$

Приведем подобные слагаемые:

$(6x - 2x) + (-18 - 4) = 10$

$4x - 22 = 10$

Перенесем свободный член (-22) в правую часть с противоположным знаком:

$4x = 10 + 22$

$4x = 32$

Найдем x, разделив обе части на 4:

$x = \frac{32}{4}$

$x = 8$

Ответ: 8.

в) -5(1 - x) - 4(2 - x) = 3;

Выполним преобразования в левой части. Раскроем обе скобки:

$-5 \cdot 1 - 5 \cdot (-x) - 4 \cdot 2 - 4 \cdot (-x) = 3$

$-5 + 5x - 8 + 4x = 3$

Приведем подобные слагаемые:

$(5x + 4x) + (-5 - 8) = 3$

$9x - 13 = 3$

Перенесем свободный член (-13) в правую часть уравнения с противоположным знаком:

$9x = 3 + 13$

$9x = 16$

Найдем x, разделив обе части на 9:

$x = \frac{16}{9}$

Поскольку мы получили неправильную дробь, выделим из нее целую часть:

$x = 1\frac{7}{9}$

Ответ: $1\frac{7}{9}$.

Помогло решение? Оставьте отзыв в комментариях ниже.

Присоединяйтесь к Телеграм-группе @gdz_by_belarus

Присоединиться

Мы подготовили для вас ответ c подробным объяснением домашего задания по алгебре за 7 класс, для упражнения номер 2.205 расположенного на странице 95 к учебнику 2022 года издания для учащихся школ и гимназий.

Теперь на нашем сайте ГДЗ.ТОП вы всегда легко и бесплатно найдёте условие с правильным ответом на вопрос «Как решить ДЗ» и «Как сделать» задание по алгебре к упражнению №2.205 (с. 95), авторов: Арефьева (Ирина Глебовна), Пирютко (Ольга Николаевна), учебного пособия издательства Народная асвета.