Номер 2.209, страница 96 - гдз по алгебре 7 класс учебник Арефьева, Пирютко

Алгебра, 7 класс Учебник, авторы: Арефьева Ирина Глебовна, Пирютко Ольга Николаевна, издательство Народная асвета, Минск, 2022, зелёного цвета

Авторы: Арефьева И. Г., Пирютко О. Н.

Тип: Учебник

Издательство: Народная асвета

Год издания: 2022 - 2026

Цвет обложки: зелёный с графиком

ISBN: ISBN 978-985-03-3770-2

Допущено Министерством образования Республики Беларусь

Глава 2. Выражения и их преобразования. Параграф 10. Умножение и деление многочлена на одночлен - номер 2.209, страница 96.

№2.209 (с. 96)
Условие. №2.209 (с. 96)
скриншот условия
Алгебра, 7 класс Учебник, авторы: Арефьева Ирина Глебовна, Пирютко Ольга Николаевна, издательство Народная асвета, Минск, 2022, зелёного цвета, страница 96, номер 2.209, Условие

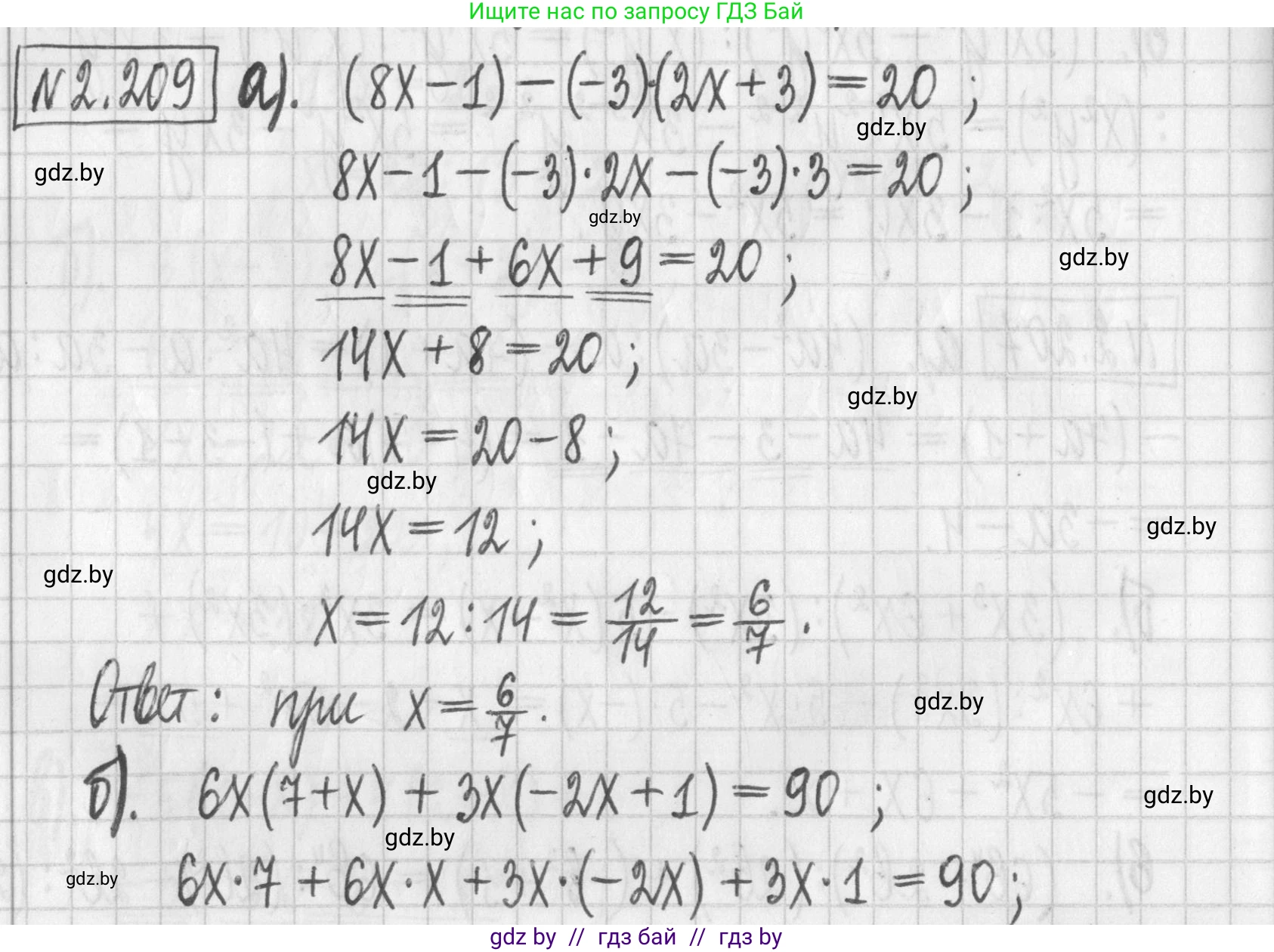
2.209. Найдите, при каком значении переменной:

a) разность выражений $8x - 1$ и $-3(2x + 3)$ равна 20;

б) сумма выражений $6x(7 + x)$ и $3x(-2x + 1)$ равна 90.

Решение. №2.209 (с. 96)
Алгебра, 7 класс Учебник, авторы: Арефьева Ирина Глебовна, Пирютко Ольга Николаевна, издательство Народная асвета, Минск, 2022, зелёного цвета, страница 96, номер 2.209, Решение Алгебра, 7 класс Учебник, авторы: Арефьева Ирина Глебовна, Пирютко Ольга Николаевна, издательство Народная асвета, Минск, 2022, зелёного цвета, страница 96, номер 2.209, Решение (продолжение 2)
Решение 2. №2.209 (с. 96)

а) разность выражений $8x-1$ и $-3(2x+3)$ равна 20;

Чтобы найти значение переменной, составим уравнение, исходя из условия задачи. Разность означает, что из первого выражения нужно вычесть второе:

$(8x - 1) - (-3(2x + 3)) = 20$

Сначала раскроем скобки во втором выражении:

$-3(2x + 3) = -3 \cdot 2x - 3 \cdot 3 = -6x - 9$

Теперь подставим это в наше уравнение:

$(8x - 1) - (-6x - 9) = 20$

Раскроем оставшиеся скобки. Знак минус перед скобкой меняет знаки всех членов внутри на противоположные:

$8x - 1 + 6x + 9 = 20$

Приведем подобные слагаемые (сложим члены с $x$ и свободные члены):

$(8x + 6x) + (-1 + 9) = 20$

$14x + 8 = 20$

Перенесем число 8 в правую часть уравнения с противоположным знаком:

$14x = 20 - 8$

$14x = 12$

Найдем $x$, разделив обе части уравнения на 14:

$x = \frac{12}{14}$

Сократим дробь, разделив числитель и знаменатель на 2:

$x = \frac{6}{7}$

Ответ: $\frac{6}{7}$


б) сумма выражений $6x(7+x)$ и $3x(-2x+1)$ равна 90.

Составим уравнение согласно условию. Сумма означает, что нужно сложить два выражения:

$6x(7 + x) + 3x(-2x + 1) = 90$

Раскроем скобки, умножив множители перед скобками на каждый член внутри скобок:

$(6x \cdot 7 + 6x \cdot x) + (3x \cdot (-2x) + 3x \cdot 1) = 90$

$42x + 6x^2 - 6x^2 + 3x = 90$

Приведем подобные слагаемые. Члены $6x^2$ и $-6x^2$ взаимно уничтожаются:

$(6x^2 - 6x^2) + (42x + 3x) = 90$

$0 + 45x = 90$

$45x = 90$

Найдем $x$, разделив обе части уравнения на 45:

$x = \frac{90}{45}$

$x = 2$

Ответ: 2

Помогло решение? Оставьте отзыв в комментариях ниже.

Присоединяйтесь к Телеграм-группе @gdz_by_belarus

Присоединиться

Мы подготовили для вас ответ c подробным объяснением домашего задания по алгебре за 7 класс, для упражнения номер 2.209 расположенного на странице 96 к учебнику 2022 года издания для учащихся школ и гимназий.

Теперь на нашем сайте ГДЗ.ТОП вы всегда легко и бесплатно найдёте условие с правильным ответом на вопрос «Как решить ДЗ» и «Как сделать» задание по алгебре к упражнению №2.209 (с. 96), авторов: Арефьева (Ирина Глебовна), Пирютко (Ольга Николаевна), учебного пособия издательства Народная асвета.