Номер 2.214, страница 96 - гдз по алгебре 7 класс учебник Арефьева, Пирютко

Алгебра, 7 класс Учебник, авторы: Арефьева Ирина Глебовна, Пирютко Ольга Николаевна, издательство Народная асвета, Минск, 2022, зелёного цвета

Авторы: Арефьева И. Г., Пирютко О. Н.

Тип: Учебник

Издательство: Народная асвета

Год издания: 2022 - 2026

Цвет обложки: зелёный с графиком

ISBN: ISBN 978-985-03-3770-2

Допущено Министерством образования Республики Беларусь

Глава 2. Выражения и их преобразования. Параграф 10. Умножение и деление многочлена на одночлен - номер 2.214, страница 96.

№2.214 (с. 96)
Условие. №2.214 (с. 96)
скриншот условия
Алгебра, 7 класс Учебник, авторы: Арефьева Ирина Глебовна, Пирютко Ольга Николаевна, издательство Народная асвета, Минск, 2022, зелёного цвета, страница 96, номер 2.214, Условие

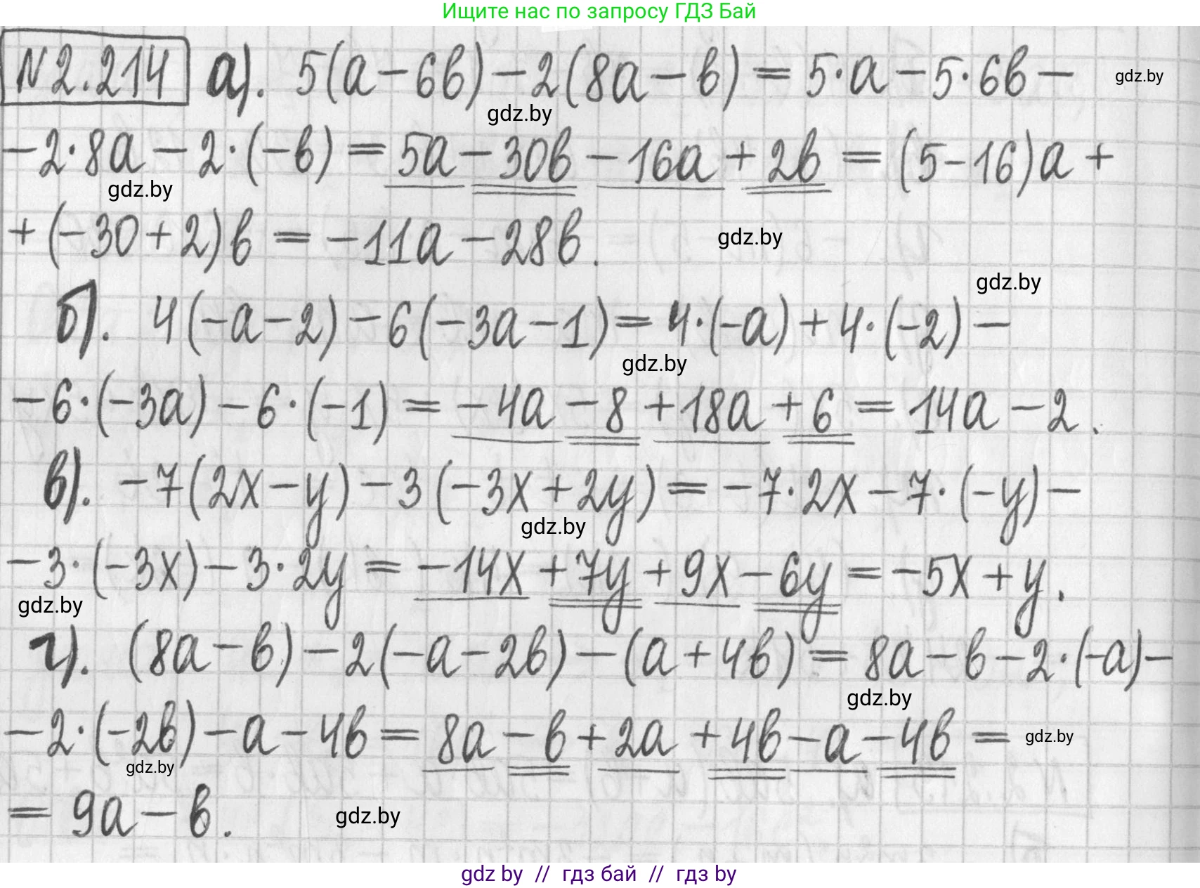
2.214. Выполните тождественные преобразования и приведите результат к многочлену стандартного вида:

а) $5(a - 6b) - 2(8a - b);$

б) $4(-a - 2) - 6(-3a - 1);$

в) $-7(2x - y) - 3(-3x + 2y);$

г) $(8a - b) - 2(-a - 2b) - (a + 4b).$

Решение. №2.214 (с. 96)
Алгебра, 7 класс Учебник, авторы: Арефьева Ирина Глебовна, Пирютко Ольга Николаевна, издательство Народная асвета, Минск, 2022, зелёного цвета, страница 96, номер 2.214, Решение
Решение 2. №2.214 (с. 96)

а) Для того чтобы выполнить тождественные преобразования и привести выражение к многочлену стандартного вида, необходимо раскрыть скобки и привести подобные слагаемые.

Исходное выражение: $5(a - 6b) - 2(8a - b)$.

1. Раскроем первые скобки, умножив 5 на каждый член в скобках:
$5 \cdot a - 5 \cdot 6b = 5a - 30b$

2. Раскроем вторые скобки, умножив -2 на каждый член в скобках:
$-2 \cdot 8a - 2 \cdot (-b) = -16a + 2b$

3. Сложим полученные выражения:
$(5a - 30b) + (-16a + 2b) = 5a - 30b - 16a + 2b$

4. Сгруппируем и приведем подобные слагаемые (члены с 'a' и члены с 'b'):
$(5a - 16a) + (-30b + 2b) = -11a - 28b$

Ответ: $-11a - 28b$

б) Исходное выражение: $4(-a - 2) - 6(-3a - 1)$.

1. Раскроем первые скобки, умножив 4 на каждый член в скобках:
$4 \cdot (-a) + 4 \cdot (-2) = -4a - 8$

2. Раскроем вторые скобки, умножив -6 на каждый член в скобках:
$-6 \cdot (-3a) - 6 \cdot (-1) = 18a + 6$

3. Сложим полученные выражения:
$(-4a - 8) + (18a + 6) = -4a - 8 + 18a + 6$

4. Сгруппируем и приведем подобные слагаемые:
$(-4a + 18a) + (-8 + 6) = 14a - 2$

Ответ: $14a - 2$

в) Исходное выражение: $-7(2x - y) - 3(-3x + 2y)$.

1. Раскроем первые скобки, умножив -7 на каждый член в скобках:
$-7 \cdot 2x - 7 \cdot (-y) = -14x + 7y$

2. Раскроем вторые скобки, умножив -3 на каждый член в скобках:
$-3 \cdot (-3x) - 3 \cdot (2y) = 9x - 6y$

3. Сложим полученные выражения:
$(-14x + 7y) + (9x - 6y) = -14x + 7y + 9x - 6y$

4. Сгруппируем и приведем подобные слагаемые:
$(-14x + 9x) + (7y - 6y) = -5x + y$

Ответ: $-5x + y$

г) Исходное выражение: $(8a - b) - 2(-a - 2b) - (a + 4b)$.

1. Раскроем все скобки. Перед первыми скобками нет множителя, поэтому их можно просто убрать. Перед вторыми стоит множитель -2, а перед третьими - знак минус (что эквивалентно умножению на -1).
$(8a - b) - 2(-a - 2b) - (a + 4b) = 8a - b - 2(-a) - 2(-2b) - 1 \cdot a - 1 \cdot 4b$
$= 8a - b + 2a + 4b - a - 4b$

2. Сгруппируем и приведем подобные слагаемые:
$(8a + 2a - a) + (-b + 4b - 4b)$

3. Выполним сложение и вычитание в каждой группе:
$9a - b$

Ответ: $9a - b$

Помогло решение? Оставьте отзыв в комментариях ниже.

Присоединяйтесь к Телеграм-группе @gdz_by_belarus

Присоединиться

Мы подготовили для вас ответ c подробным объяснением домашего задания по алгебре за 7 класс, для упражнения номер 2.214 расположенного на странице 96 к учебнику 2022 года издания для учащихся школ и гимназий.

Теперь на нашем сайте ГДЗ.ТОП вы всегда легко и бесплатно найдёте условие с правильным ответом на вопрос «Как решить ДЗ» и «Как сделать» задание по алгебре к упражнению №2.214 (с. 96), авторов: Арефьева (Ирина Глебовна), Пирютко (Ольга Николаевна), учебного пособия издательства Народная асвета.