Номер 2.212, страница 96 - гдз по алгебре 7 класс учебник Арефьева, Пирютко

Алгебра, 7 класс Учебник, авторы: Арефьева Ирина Глебовна, Пирютко Ольга Николаевна, издательство Народная асвета, Минск, 2022, зелёного цвета

Авторы: Арефьева И. Г., Пирютко О. Н.

Тип: Учебник

Издательство: Народная асвета

Год издания: 2022 - 2026

Цвет обложки: зелёный с графиком

ISBN: ISBN 978-985-03-3770-2

Допущено Министерством образования Республики Беларусь

Глава 2. Выражения и их преобразования. Параграф 10. Умножение и деление многочлена на одночлен - номер 2.212, страница 96.

№2.212 (с. 96)
Условие. №2.212 (с. 96)
скриншот условия
Алгебра, 7 класс Учебник, авторы: Арефьева Ирина Глебовна, Пирютко Ольга Николаевна, издательство Народная асвета, Минск, 2022, зелёного цвета, страница 96, номер 2.212, Условие

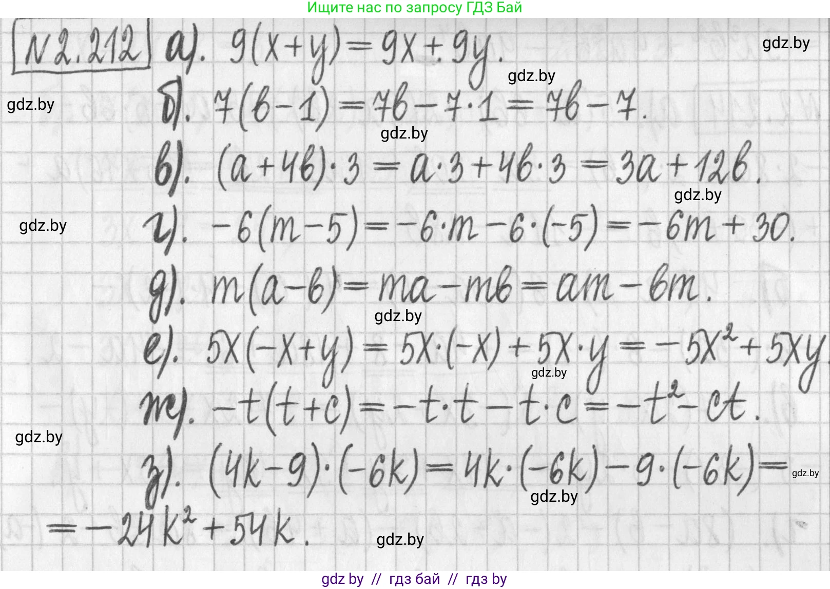
2.212. Выполните умножение одночлена на многочлен:

а) $9(x + y);$

б) $7(b - 1);$

в) $(a + 4b) \cdot 3;$

г) $-6(m - 5);$

д) $m(a - b);$

е) $5x(-x + y);$

ж) $-t(t + c);$

з) $(4k - 9) \cdot (-6k).$

Решение. №2.212 (с. 96)
Алгебра, 7 класс Учебник, авторы: Арефьева Ирина Глебовна, Пирютко Ольга Николаевна, издательство Народная асвета, Минск, 2022, зелёного цвета, страница 96, номер 2.212, Решение
Решение 2. №2.212 (с. 96)

а) Чтобы умножить одночлен на многочлен, необходимо умножить этот одночлен на каждый член многочлена и полученные произведения сложить (распределительное свойство умножения).

$9(x + y) = 9 \cdot x + 9 \cdot y = 9x + 9y$

Ответ: $9x + 9y$

б) Применим распределительное свойство умножения для одночлена $7$ и многочлена $(b-1)$.

$7(b - 1) = 7 \cdot b - 7 \cdot 1 = 7b - 7$

Ответ: $7b - 7$

в) В данном случае многочлен стоит перед одночленом. Используя переместительное свойство умножения ($ab=ba$), мы можем поменять их местами и затем применить распределительное свойство.

$(a + 4b) \cdot 3 = 3 \cdot (a + 4b) = 3 \cdot a + 3 \cdot 4b = 3a + 12b$

Ответ: $3a + 12b$

г) Умножим одночлен $-6$ на многочлен $(m-5)$. Необходимо внимательно следить за знаками.

$-6(m - 5) = (-6) \cdot m - (-6) \cdot 5 = -6m + 30$

Ответ: $-6m + 30$

д) Умножим одночлен $m$ на многочлен $(a-b)$.

$m(a - b) = m \cdot a - m \cdot b = am - bm$

Ответ: $am - bm$

е) Умножим одночлен $5x$ на многочлен $(-x+y)$.

$5x(-x + y) = 5x \cdot (-x) + 5x \cdot y = -5x^2 + 5xy$

Ответ: $-5x^2 + 5xy$

ж) Умножим одночлен $-t$ на многочлен $(t+c)$.

$-t(t + c) = (-t) \cdot t + (-t) \cdot c = -t^2 - tc$

Ответ: $-t^2 - tc$

з) Умножим многочлен $(4k-9)$ на одночлен $(-6k)$.

$(4k - 9) \cdot (-6k) = 4k \cdot (-6k) - 9 \cdot (-6k) = -24k^2 - (-54k) = -24k^2 + 54k$

Ответ: $-24k^2 + 54k$

Помогло решение? Оставьте отзыв в комментариях ниже.

Присоединяйтесь к Телеграм-группе @gdz_by_belarus

Присоединиться

Мы подготовили для вас ответ c подробным объяснением домашего задания по алгебре за 7 класс, для упражнения номер 2.212 расположенного на странице 96 к учебнику 2022 года издания для учащихся школ и гимназий.

Теперь на нашем сайте ГДЗ.ТОП вы всегда легко и бесплатно найдёте условие с правильным ответом на вопрос «Как решить ДЗ» и «Как сделать» задание по алгебре к упражнению №2.212 (с. 96), авторов: Арефьева (Ирина Глебовна), Пирютко (Ольга Николаевна), учебного пособия издательства Народная асвета.