Номер 4.118, страница 287 - гдз по алгебре 7 класс учебник Арефьева, Пирютко

Алгебра, 7 класс Учебник, авторы: Арефьева Ирина Глебовна, Пирютко Ольга Николаевна, издательство Народная асвета, Минск, 2022, зелёного цвета

Авторы: Арефьева И. Г., Пирютко О. Н.

Тип: Учебник

Издательство: Народная асвета

Год издания: 2022 - 2026

Цвет обложки: зелёный с графиком

ISBN: ISBN 978-985-03-3770-2

Допущено Министерством образования Республики Беларусь

Глава 4. Системы двух линейных уравнений с двумя переменными. Параграф 24. Способы решения системы линейных уравнений с двумя переменными - номер 4.118, страница 287.

№4.118 (с. 287)
Условие. №4.118 (с. 287)
скриншот условия
Алгебра, 7 класс Учебник, авторы: Арефьева Ирина Глебовна, Пирютко Ольга Николаевна, издательство Народная асвета, Минск, 2022, зелёного цвета, страница 287, номер 4.118, Условие

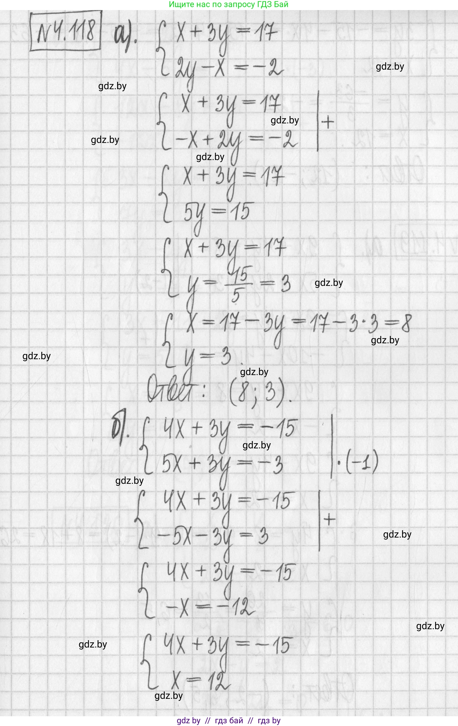
4.118. Решите систему уравнений способом сложения, используя алгоритм:

а) $\begin{cases} x + 3y = 17, \\ 2y - x = -2; \end{cases}$

б) $\begin{cases} 4x + 3y = -15, \\ 5x + 3y = -3. \end{cases}$

Решение. №4.118 (с. 287)
Алгебра, 7 класс Учебник, авторы: Арефьева Ирина Глебовна, Пирютко Ольга Николаевна, издательство Народная асвета, Минск, 2022, зелёного цвета, страница 287, номер 4.118, Решение Алгебра, 7 класс Учебник, авторы: Арефьева Ирина Глебовна, Пирютко Ольга Николаевна, издательство Народная асвета, Минск, 2022, зелёного цвета, страница 287, номер 4.118, Решение (продолжение 2)
Решение 2. №4.118 (с. 287)

а) Решим систему уравнений:$$\begin{cases}x + 3y = 17 \\2y - x = -2\end{cases}$$

Для решения системы методом сложения необходимо, чтобы коэффициенты при одной из переменных в обоих уравнениях были противоположными числами. В данной системе у переменной $x$ коэффициенты $1$ и $-1$, что уже удовлетворяет этому условию.

Перепишем второе уравнение, поставив $x$ на первое место, для наглядности:$$\begin{cases}x + 3y = 17 \\-x + 2y = -2\end{cases}$$

Теперь сложим почленно левые и правые части уравнений:$$ (x + 3y) + (-x + 2y) = 17 + (-2) $$$$ x - x + 3y + 2y = 15 $$$$ 5y = 15 $$

Из полученного уравнения найдем значение $y$:$$ y = \frac{15}{5} $$$$ y = 3 $$

Подставим найденное значение $y = 3$ в первое исходное уравнение ($x + 3y = 17$) для нахождения $x$:$$ x + 3 \cdot 3 = 17 $$$$ x + 9 = 17 $$$$ x = 17 - 9 $$$$ x = 8 $$

Таким образом, решение системы: $x=8$, $y=3$.

Ответ: $x = 8$, $y = 3$.


б) Решим систему уравнений:$$\begin{cases}4x + 3y = -15 \\5x + 3y = -3\end{cases}$$

В этой системе коэффициенты при переменной $y$ одинаковы ($3$ и $3$). Чтобы исключить эту переменную, мы можем вычесть одно уравнение из другого. Вычтем первое уравнение из второго.

Выполним вычитание почленно:$$ (5x + 3y) - (4x + 3y) = -3 - (-15) $$$$ 5x + 3y - 4x - 3y = -3 + 15 $$$$ (5x - 4x) + (3y - 3y) = 12 $$$$ x = 12 $$

Теперь, когда мы нашли $x=12$, подставим это значение в первое исходное уравнение ($4x + 3y = -15$), чтобы найти $y$:$$ 4 \cdot 12 + 3y = -15 $$$$ 48 + 3y = -15 $$$$ 3y = -15 - 48 $$$$ 3y = -63 $$

Из полученного уравнения найдем значение $y$:$$ y = \frac{-63}{3} $$$$ y = -21 $$

Таким образом, решение системы: $x=12$, $y=-21$.

Ответ: $x = 12$, $y = -21$.

Помогло решение? Оставьте отзыв в комментариях ниже.

Присоединяйтесь к Телеграм-группе @gdz_by_belarus

Присоединиться

Мы подготовили для вас ответ c подробным объяснением домашего задания по алгебре за 7 класс, для упражнения номер 4.118 расположенного на странице 287 к учебнику 2022 года издания для учащихся школ и гимназий.

Теперь на нашем сайте ГДЗ.ТОП вы всегда легко и бесплатно найдёте условие с правильным ответом на вопрос «Как решить ДЗ» и «Как сделать» задание по алгебре к упражнению №4.118 (с. 287), авторов: Арефьева (Ирина Глебовна), Пирютко (Ольга Николаевна), учебного пособия издательства Народная асвета.