Номер 4.119, страница 287 - гдз по алгебре 7 класс учебник Арефьева, Пирютко

Алгебра, 7 класс Учебник, авторы: Арефьева Ирина Глебовна, Пирютко Ольга Николаевна, издательство Народная асвета, Минск, 2022, зелёного цвета

Авторы: Арефьева И. Г., Пирютко О. Н.

Тип: Учебник

Издательство: Народная асвета

Год издания: 2022 - 2026

Цвет обложки: зелёный с графиком

ISBN: ISBN 978-985-03-3770-2

Допущено Министерством образования Республики Беларусь

Глава 4. Системы двух линейных уравнений с двумя переменными. Параграф 24. Способы решения системы линейных уравнений с двумя переменными - номер 4.119, страница 287.

№4.119 (с. 287)
Условие. №4.119 (с. 287)
скриншот условия
Алгебра, 7 класс Учебник, авторы: Арефьева Ирина Глебовна, Пирютко Ольга Николаевна, издательство Народная асвета, Минск, 2022, зелёного цвета, страница 287, номер 4.119, Условие

4.119. Решите систему уравнений способом сложения:

a) $\begin{cases} 9x + 4y = 8, \\ 5x + 2y = 3; \end{cases}$

б) $\begin{cases} 3x - 2y = 11, \\ 4x - 5y = 3. \end{cases}$

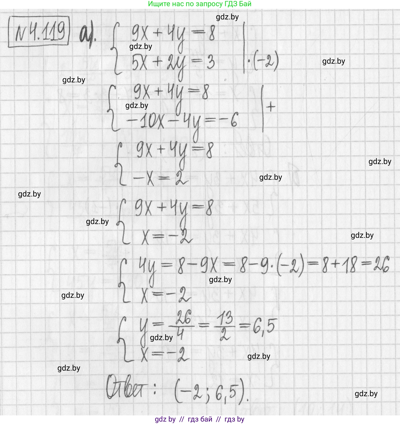
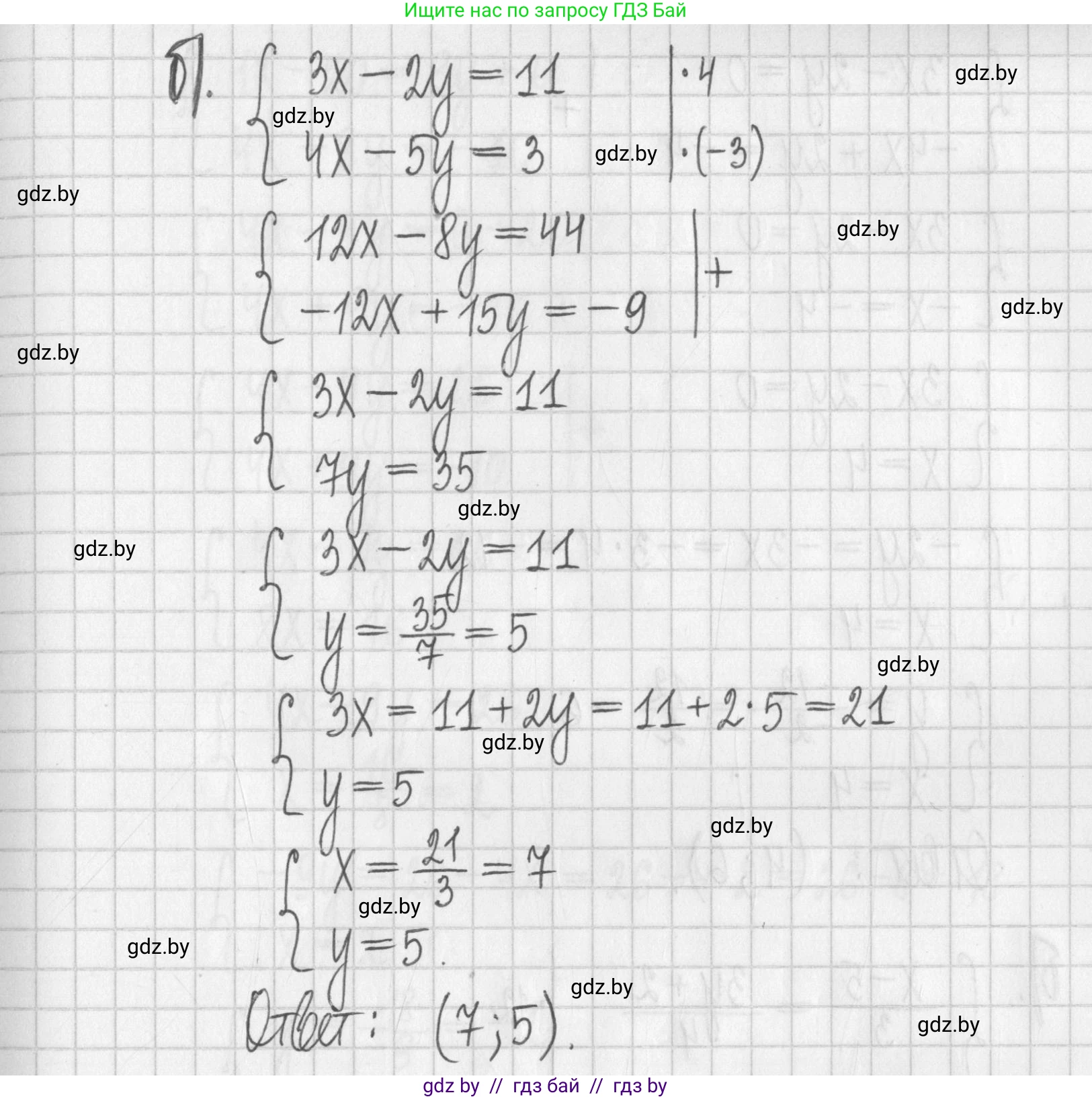
Решение. №4.119 (с. 287)
Алгебра, 7 класс Учебник, авторы: Арефьева Ирина Глебовна, Пирютко Ольга Николаевна, издательство Народная асвета, Минск, 2022, зелёного цвета, страница 287, номер 4.119, Решение Алгебра, 7 класс Учебник, авторы: Арефьева Ирина Глебовна, Пирютко Ольга Николаевна, издательство Народная асвета, Минск, 2022, зелёного цвета, страница 287, номер 4.119, Решение (продолжение 2)
Решение 2. №4.119 (с. 287)

а) Дана система уравнений: $$ \begin{cases} 9x + 4y = 8 \\ 5x + 2y = 3 \end{cases} $$ Чтобы решить систему методом сложения, умножим второе уравнение на -2. Это позволит нам получить противоположные коэффициенты при переменной $y$ (4 и -4), что позволит исключить ее при сложении уравнений.
$ -2 \cdot (5x + 2y) = -2 \cdot 3 $
$ -10x - 4y = -6 $

Теперь система уравнений выглядит следующим образом: $$ \begin{cases} 9x + 4y = 8 \\ -10x - 4y = -6 \end{cases} $$ Сложим левые и правые части уравнений:
$ (9x + 4y) + (-10x - 4y) = 8 + (-6) $
$ 9x - 10x = 2 $
$ -x = 2 $
$ x = -2 $

Подставим найденное значение $x = -2$ во второе исходное уравнение для нахождения $y$:
$ 5x + 2y = 3 $
$ 5(-2) + 2y = 3 $
$ -10 + 2y = 3 $
$ 2y = 13 $
$ y = \frac{13}{2} $

Преобразуем неправильную дробь $ \frac{13}{2} $ в смешанное число, выделив целую часть: $ 6 \frac{1}{2} $.
Ответ: $x = -2, y = \mathbf{6}\frac{1}{2}$.

б) Дана система уравнений: $$ \begin{cases} 3x - 2y = 11 \\ 4x - 5y = 3 \end{cases} $$ Чтобы исключить переменную $y$, нам нужно сделать коэффициенты при $y$ противоположными. Для этого умножим первое уравнение на 5, а второе — на -2.
Первое уравнение: $ 5 \cdot (3x - 2y) = 5 \cdot 11 \implies 15x - 10y = 55 $.
Второе уравнение: $ -2 \cdot (4x - 5y) = -2 \cdot 3 \implies -8x + 10y = -6 $.

Получаем новую систему: $$ \begin{cases} 15x - 10y = 55 \\ -8x + 10y = -6 \end{cases} $$ Сложим два уравнения системы:
$ (15x - 10y) + (-8x + 10y) = 55 + (-6) $
$ 7x = 49 $
$ x = \frac{49}{7} $
$ x = 7 $

Теперь подставим значение $x = 7$ в первое исходное уравнение:
$ 3x - 2y = 11 $
$ 3(7) - 2y = 11 $
$ 21 - 2y = 11 $
$ -2y = 11 - 21 $
$ -2y = -10 $
$ y = 5 $

Ответ: $x = 7, y = 5$.

Помогло решение? Оставьте отзыв в комментариях ниже.

Присоединяйтесь к Телеграм-группе @gdz_by_belarus

Присоединиться

Мы подготовили для вас ответ c подробным объяснением домашего задания по алгебре за 7 класс, для упражнения номер 4.119 расположенного на странице 287 к учебнику 2022 года издания для учащихся школ и гимназий.

Теперь на нашем сайте ГДЗ.ТОП вы всегда легко и бесплатно найдёте условие с правильным ответом на вопрос «Как решить ДЗ» и «Как сделать» задание по алгебре к упражнению №4.119 (с. 287), авторов: Арефьева (Ирина Глебовна), Пирютко (Ольга Николаевна), учебного пособия издательства Народная асвета.