Номер 4.120, страница 288 - гдз по алгебре 7 класс учебник Арефьева, Пирютко

Алгебра, 7 класс Учебник, авторы: Арефьева Ирина Глебовна, Пирютко Ольга Николаевна, издательство Народная асвета, Минск, 2022, зелёного цвета

Авторы: Арефьева И. Г., Пирютко О. Н.

Тип: Учебник

Издательство: Народная асвета

Год издания: 2022 - 2026

Цвет обложки: зелёный с графиком

ISBN: ISBN 978-985-03-3770-2

Допущено Министерством образования Республики Беларусь

Глава 4. Системы двух линейных уравнений с двумя переменными. Параграф 24. Способы решения системы линейных уравнений с двумя переменными - номер 4.120, страница 288.

№4.120 (с. 288)
Условие. №4.120 (с. 288)
скриншот условия
Алгебра, 7 класс Учебник, авторы: Арефьева Ирина Глебовна, Пирютко Ольга Николаевна, издательство Народная асвета, Минск, 2022, зелёного цвета, страница 288, номер 4.120, Условие

4.120. Решите систему уравнений способом сложения:

а) $\begin{cases} \frac{x}{2} - \frac{y}{3} = 0, \\ 2x - y = 2; \end{cases}$

б) $\begin{cases} \frac{x - 5}{3} = \frac{3y + 2}{4}, \\ 4x + 9y = -10. \end{cases}$

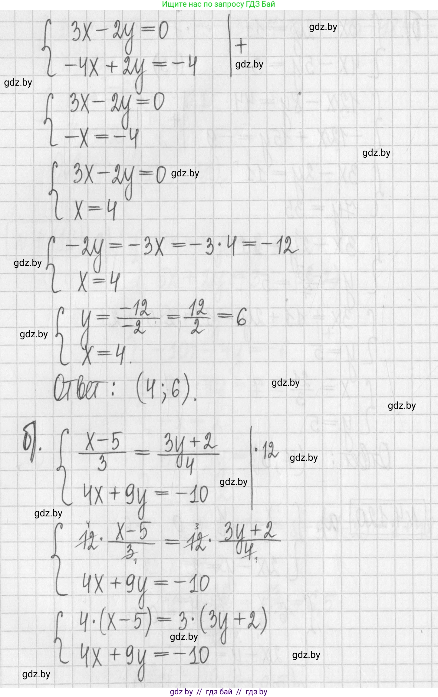
Решение. №4.120 (с. 288)
Алгебра, 7 класс Учебник, авторы: Арефьева Ирина Глебовна, Пирютко Ольга Николаевна, издательство Народная асвета, Минск, 2022, зелёного цвета, страница 288, номер 4.120, Решение Алгебра, 7 класс Учебник, авторы: Арефьева Ирина Глебовна, Пирютко Ольга Николаевна, издательство Народная асвета, Минск, 2022, зелёного цвета, страница 288, номер 4.120, Решение (продолжение 2)
Решение 2. №4.120 (с. 288)

Требуется решить системы уравнений способом сложения.

а) Исходная система уравнений: $$ \begin{cases} \frac{x}{2} - \frac{y}{3} = 0 \\ 2x - y = 2 \end{cases} $$

Шаг 1: Упрощение первого уравнения.
Чтобы избавиться от дробей в первом уравнении, умножим обе его части на наименьшее общее кратное знаменателей 2 и 3, то есть на 6: $$ 6 \cdot \left(\frac{x}{2} - \frac{y}{3}\right) = 6 \cdot 0 $$ $$ 3x - 2y = 0 $$ Теперь система имеет вид: $$ \begin{cases} 3x - 2y = 0 \\ 2x - y = 2 \end{cases} $$

Шаг 2: Применение способа сложения.
Чтобы исключить переменную $y$, умножим второе уравнение на -2. Это сделает коэффициенты при $y$ противоположными ($-2$ и $2$). $$ -2 \cdot (2x - y) = -2 \cdot 2 $$ $$ -4x + 2y = -4 $$ Новая система готова для сложения: $$ \begin{cases} 3x - 2y = 0 \\ -4x + 2y = -4 \end{cases} $$

Шаг 3: Сложение уравнений и нахождение $x$.
Сложим левые и правые части уравнений: $$ (3x - 2y) + (-4x + 2y) = 0 + (-4) $$ $$ 3x - 4x = -4 $$ $$ -x = -4 $$ $$ x = 4 $$

Шаг 4: Нахождение $y$.
Подставим найденное значение $x=4$ в любое из уравнений системы, например, в $2x - y = 2$: $$ 2(4) - y = 2 $$ $$ 8 - y = 2 $$ $$ y = 8 - 2 $$ $$ y = 6 $$

Ответ: (4; 6).


б) Исходная система уравнений: $$ \begin{cases} \frac{x - 5}{3} = \frac{3y + 2}{4} \\ 4x + 9y = -10 \end{cases} $$

Шаг 1: Упрощение первого уравнения.
Преобразуем первое уравнение, используя основное свойство пропорции (перекрестное умножение): $$ 4(x - 5) = 3(3y + 2) $$ Раскроем скобки: $$ 4x - 20 = 9y + 6 $$ Приведем уравнение к стандартному виду $Ax + By = C$: $$ 4x - 9y = 6 + 20 $$ $$ 4x - 9y = 26 $$ Теперь система имеет вид: $$ \begin{cases} 4x - 9y = 26 \\ 4x + 9y = -10 \end{cases} $$

Шаг 2: Применение способа сложения и нахождение $x$.
Коэффициенты при переменной $y$ уже являются противоположными числами ($-9$ и $9$), поэтому мы можем сразу сложить уравнения почленно: $$ (4x - 9y) + (4x + 9y) = 26 + (-10) $$ $$ 8x = 16 $$ $$ x = \frac{16}{8} $$ $$ x = 2 $$

Шаг 3: Нахождение $y$.
Подставим найденное значение $x=2$ во второе уравнение $4x + 9y = -10$: $$ 4(2) + 9y = -10 $$ $$ 8 + 9y = -10 $$ $$ 9y = -10 - 8 $$ $$ 9y = -18 $$ $$ y = \frac{-18}{9} $$ $$ y = -2 $$

Ответ: (2; -2).

Помогло решение? Оставьте отзыв в комментариях ниже.

Присоединяйтесь к Телеграм-группе @gdz_by_belarus

Присоединиться

Мы подготовили для вас ответ c подробным объяснением домашего задания по алгебре за 7 класс, для упражнения номер 4.120 расположенного на странице 288 к учебнику 2022 года издания для учащихся школ и гимназий.

Теперь на нашем сайте ГДЗ.ТОП вы всегда легко и бесплатно найдёте условие с правильным ответом на вопрос «Как решить ДЗ» и «Как сделать» задание по алгебре к упражнению №4.120 (с. 288), авторов: Арефьева (Ирина Глебовна), Пирютко (Ольга Николаевна), учебного пособия издательства Народная асвета.