Номер 2.57, страница 113 - гдз по алгебре 8 класс учебник Арефьева, Пирютко

Алгебра, 8 класс Учебник, авторы: Арефьева Ирина Глебовна, Пирютко Ольга Николаевна, издательство Адукацыя i выхаванне, Минск, 2024, бирюзового цвета

Авторы: Арефьева И. Г., Пирютко О. Н.

Тип: Учебник

Издательство: Адукацыя i выхаванне

Год издания: 2024 - 2026

Цвет обложки: бирюзовый с графиком

ISBN: ISBN 978-985-03-4081-8

Допущено Министерством образования Республики Беларусь

Популярные ГДЗ в 8 классе

Глава 2. Квадратные уравнения. Параграф 8. Формулы корней квадратного уравнения - номер 2.57, страница 113.

№2.57 (с. 113)
Условие. №2.57 (с. 113)
скриншот условия
Алгебра, 8 класс Учебник, авторы: Арефьева Ирина Глебовна, Пирютко Ольга Николаевна, издательство Адукацыя i выхаванне, Минск, 2024, бирюзового цвета, страница 113, номер 2.57, Условие

2.57. Решите уравнение:

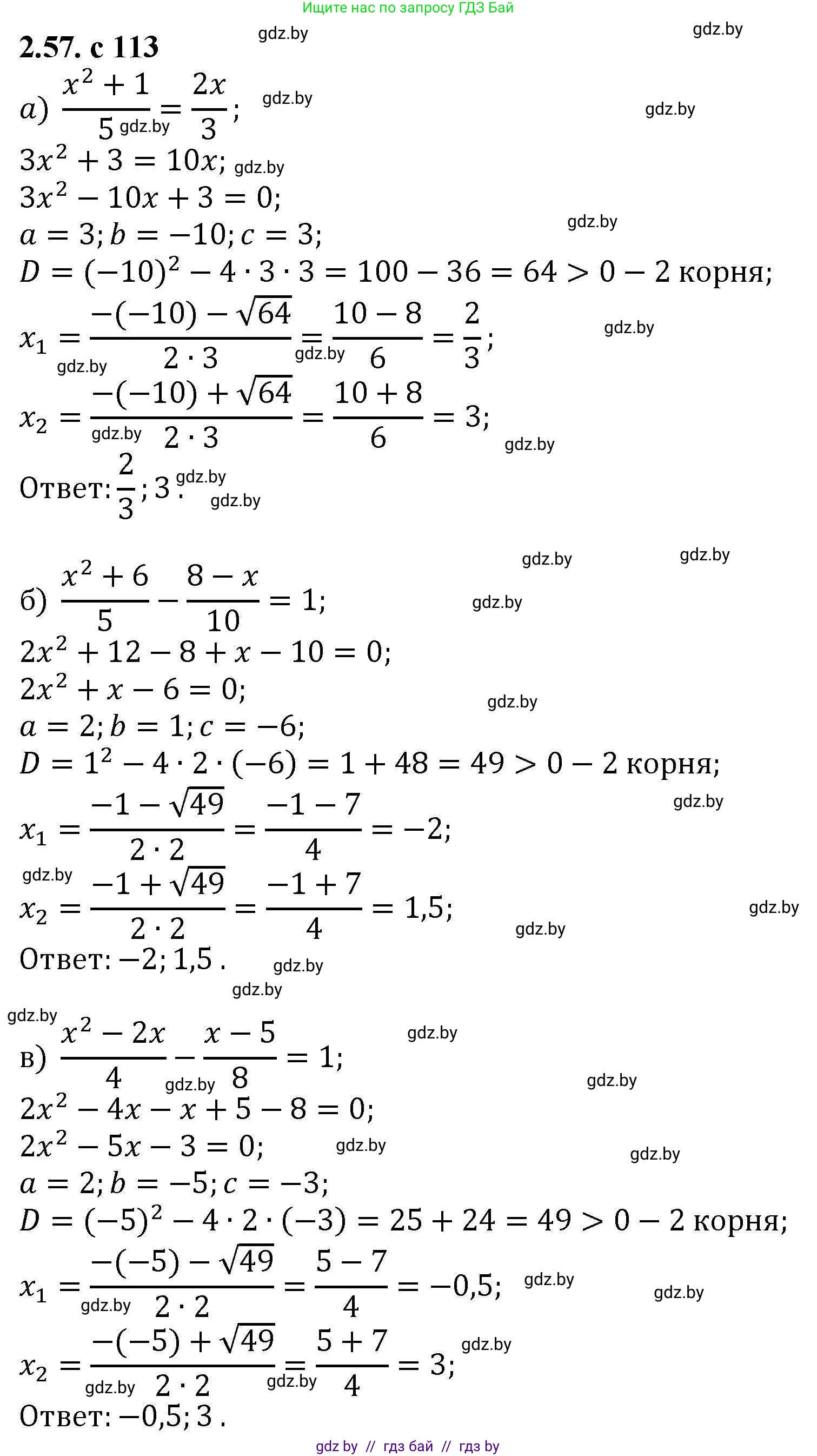
а) $ \frac{x^2+1}{5} = \frac{2x}{3}; $

б) $ \frac{x^2+6}{5} - \frac{8-x}{10} = 1; $

в) $ \frac{x^2-2x}{4} - \frac{x-5}{8} = 1; $

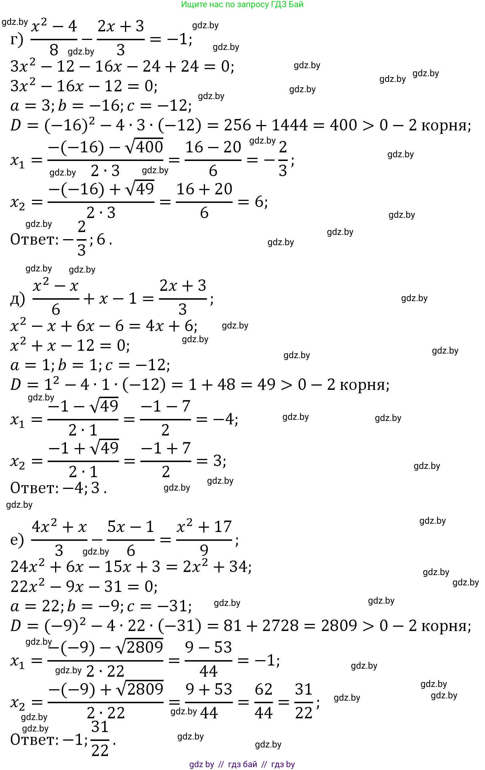
г) $ \frac{x^2-4}{8} - \frac{2x+3}{3} = -1; $

д) $ \frac{x^2-x}{6} + x - 1 = \frac{2x+3}{3}; $

е) $ \frac{4x^2+x}{3} - \frac{5x-1}{6} = \frac{x^2+17}{9}. $

Решение. №2.57 (с. 113)
Алгебра, 8 класс Учебник, авторы: Арефьева Ирина Глебовна, Пирютко Ольга Николаевна, издательство Адукацыя i выхаванне, Минск, 2024, бирюзового цвета, страница 113, номер 2.57, Решение Алгебра, 8 класс Учебник, авторы: Арефьева Ирина Глебовна, Пирютко Ольга Николаевна, издательство Адукацыя i выхаванне, Минск, 2024, бирюзового цвета, страница 113, номер 2.57, Решение (продолжение 2)
Решение 2. №2.57 (с. 113)

а)Исходное уравнение: $\frac{x^2+1}{5} = \frac{2x}{3}$.
Это пропорция. Чтобы решить ее, воспользуемся свойством перекрестного умножения:
$3(x^2 + 1) = 5(2x)$
Раскроем скобки в обеих частях уравнения:
$3x^2 + 3 = 10x$
Перенесем все слагаемые в левую часть, чтобы получить стандартное квадратное уравнение вида $ax^2 + bx + c = 0$:
$3x^2 - 10x + 3 = 0$
Найдем корни уравнения с помощью дискриминанта. Формула дискриминанта: $D = b^2 - 4ac$.
Для нашего уравнения $a=3, b=-10, c=3$.
$D = (-10)^2 - 4 \cdot 3 \cdot 3 = 100 - 36 = 64$
Поскольку $D > 0$, уравнение имеет два действительных корня. $\sqrt{D} = \sqrt{64} = 8$.
Корни находим по формуле $x = \frac{-b \pm \sqrt{D}}{2a}$:
$x_1 = \frac{-(-10) + 8}{2 \cdot 3} = \frac{10 + 8}{6} = \frac{18}{6} = 3$
$x_2 = \frac{-(-10) - 8}{2 \cdot 3} = \frac{10 - 8}{6} = \frac{2}{6} = \frac{1}{3}$
Ответ: $x_1 = 3, x_2 = \frac{1}{3}$.

б)Исходное уравнение: $\frac{x^2+6}{5} - \frac{8-x}{10} = 1$.
Чтобы избавиться от дробей, умножим обе части уравнения на наименьший общий знаменатель, который равен 10:
$10 \cdot \frac{x^2+6}{5} - 10 \cdot \frac{8-x}{10} = 10 \cdot 1$
$2(x^2 + 6) - 1(8 - x) = 10$
Раскроем скобки:
$2x^2 + 12 - 8 + x = 10$
Приведем подобные слагаемые:
$2x^2 + x + 4 = 10$
Перенесем 10 в левую часть:
$2x^2 + x - 6 = 0$
Решим полученное квадратное уравнение. $a=2, b=1, c=-6$.
$D = 1^2 - 4 \cdot 2 \cdot (-6) = 1 + 48 = 49$
$\sqrt{D} = \sqrt{49} = 7$.
$x_1 = \frac{-1 + 7}{2 \cdot 2} = \frac{6}{4} = \frac{3}{2} = 1\frac{1}{2}$
$x_2 = \frac{-1 - 7}{2 \cdot 2} = \frac{-8}{4} = -2$
Ответ: $x_1 =$ 1$\frac{1}{2}, x_2 = -2$.

в)Исходное уравнение: $\frac{x^2-2x}{4} - \frac{x-5}{8} = 1$.
Умножим обе части уравнения на общий знаменатель 8:
$8 \cdot \frac{x^2-2x}{4} - 8 \cdot \frac{x-5}{8} = 8 \cdot 1$
$2(x^2 - 2x) - (x - 5) = 8$
Раскроем скобки:
$2x^2 - 4x - x + 5 = 8$
Приведем подобные слагаемые и перенесем все в левую часть:
$2x^2 - 5x - 3 = 0$
Решим квадратное уравнение. $a=2, b=-5, c=-3$.
$D = (-5)^2 - 4 \cdot 2 \cdot (-3) = 25 + 24 = 49$
$\sqrt{D} = \sqrt{49} = 7$.
$x_1 = \frac{-(-5) + 7}{2 \cdot 2} = \frac{5 + 7}{4} = \frac{12}{4} = 3$
$x_2 = \frac{-(-5) - 7}{2 \cdot 2} = \frac{5 - 7}{4} = \frac{-2}{4} = -\frac{1}{2}$
Ответ: $x_1 = 3, x_2 = -\frac{1}{2}$.

г)Исходное уравнение: $\frac{x^2-4}{8} - \frac{2x+3}{3} = -1$.
Наименьший общий знаменатель для 8 и 3 равен 24. Умножим обе части на 24:
$24 \cdot \frac{x^2-4}{8} - 24 \cdot \frac{2x+3}{3} = 24 \cdot (-1)$
$3(x^2 - 4) - 8(2x + 3) = -24$
Раскроем скобки:
$3x^2 - 12 - 16x - 24 = -24$
Приведем подобные слагаемые:
$3x^2 - 16x - 36 = -24$
Перенесем все в левую часть:
$3x^2 - 16x - 36 + 24 = 0$
$3x^2 - 16x - 12 = 0$
Решим квадратное уравнение. $a=3, b=-16, c=-12$.
$D = (-16)^2 - 4 \cdot 3 \cdot (-12) = 256 + 144 = 400$
$\sqrt{D} = \sqrt{400} = 20$.
$x_1 = \frac{-(-16) + 20}{2 \cdot 3} = \frac{16 + 20}{6} = \frac{36}{6} = 6$
$x_2 = \frac{-(-16) - 20}{2 \cdot 3} = \frac{16 - 20}{6} = \frac{-4}{6} = -\frac{2}{3}$
Ответ: $x_1 = 6, x_2 = -\frac{2}{3}$.

д)Исходное уравнение: $\frac{x^2-x}{6} + x - 1 = \frac{2x+3}{3}$.
Умножим все члены уравнения на общий знаменатель 6:
$6 \cdot \frac{x^2-x}{6} + 6 \cdot (x - 1) = 6 \cdot \frac{2x+3}{3}$
$(x^2 - x) + 6(x - 1) = 2(2x + 3)$
Раскроем скобки:
$x^2 - x + 6x - 6 = 4x + 6$
Приведем подобные слагаемые в левой части:
$x^2 + 5x - 6 = 4x + 6$
Перенесем все члены из правой части в левую:
$x^2 + 5x - 4x - 6 - 6 = 0$
$x^2 + x - 12 = 0$
Это приведенное квадратное уравнение. Его можно решить по теореме Виета. Сумма корней равна -1, а произведение -12. Подбором находим корни:
$x_1 = 3, x_2 = -4$
Проверка: $3 + (-4) = -1$, $3 \cdot (-4) = -12$.
Ответ: $x_1 = 3, x_2 = -4$.

е)Исходное уравнение: $\frac{4x^2+x}{3} - \frac{5x-1}{6} = \frac{x^2+17}{9}$.
Наименьший общий знаменатель для 3, 6 и 9 равен 18. Умножим все члены уравнения на 18:
$18 \cdot \frac{4x^2+x}{3} - 18 \cdot \frac{5x-1}{6} = 18 \cdot \frac{x^2+17}{9}$
$6(4x^2 + x) - 3(5x - 1) = 2(x^2 + 17)$
Раскроем скобки:
$24x^2 + 6x - 15x + 3 = 2x^2 + 34$
Приведем подобные слагаемые:
$24x^2 - 9x + 3 = 2x^2 + 34$
Перенесем все в левую часть:
$24x^2 - 2x^2 - 9x + 3 - 34 = 0$
$22x^2 - 9x - 31 = 0$
Решим квадратное уравнение. $a=22, b=-9, c=-31$.
$D = (-9)^2 - 4 \cdot 22 \cdot (-31) = 81 + 2728 = 2809$
$\sqrt{D} = \sqrt{2809} = 53$.
$x_1 = \frac{-(-9) + 53}{2 \cdot 22} = \frac{9 + 53}{44} = \frac{62}{44} = \frac{31}{22} = 1\frac{9}{22}$
$x_2 = \frac{-(-9) - 53}{2 \cdot 22} = \frac{9 - 53}{44} = \frac{-44}{44} = -1$
Ответ: $x_1 =$ 1$\frac{9}{22}, x_2 = -1$.

Помогло решение? Оставьте отзыв в комментариях ниже.

Присоединяйтесь к Телеграм-группе @gdz_by_belarus

Присоединиться

Мы подготовили для вас ответ c подробным объяснением домашего задания по алгебре за 8 класс, для упражнения номер 2.57 расположенного на странице 113 к учебнику 2024 года издания для учащихся школ и гимназий.

Теперь на нашем сайте ГДЗ.ТОП вы всегда легко и бесплатно найдёте условие с правильным ответом на вопрос «Как решить ДЗ» и «Как сделать» задание по алгебре к упражнению №2.57 (с. 113), авторов: Арефьева (Ирина Глебовна), Пирютко (Ольга Николаевна), учебного пособия издательства Адукацыя i выхаванне.