Номер 2.64, страница 113 - гдз по алгебре 8 класс учебник Арефьева, Пирютко

Алгебра, 8 класс Учебник, авторы: Арефьева Ирина Глебовна, Пирютко Ольга Николаевна, издательство Адукацыя i выхаванне, Минск, 2024, бирюзового цвета

Авторы: Арефьева И. Г., Пирютко О. Н.

Тип: Учебник

Издательство: Адукацыя i выхаванне

Год издания: 2024 - 2026

Цвет обложки: бирюзовый с графиком

ISBN: ISBN 978-985-03-4081-8

Допущено Министерством образования Республики Беларусь

Популярные ГДЗ в 8 классе

Глава 2. Квадратные уравнения. Параграф 8. Формулы корней квадратного уравнения - номер 2.64, страница 113.

№2.64 (с. 113)
Условие. №2.64 (с. 113)
скриншот условия
Алгебра, 8 класс Учебник, авторы: Арефьева Ирина Глебовна, Пирютко Ольга Николаевна, издательство Адукацыя i выхаванне, Минск, 2024, бирюзового цвета, страница 113, номер 2.64, Условие

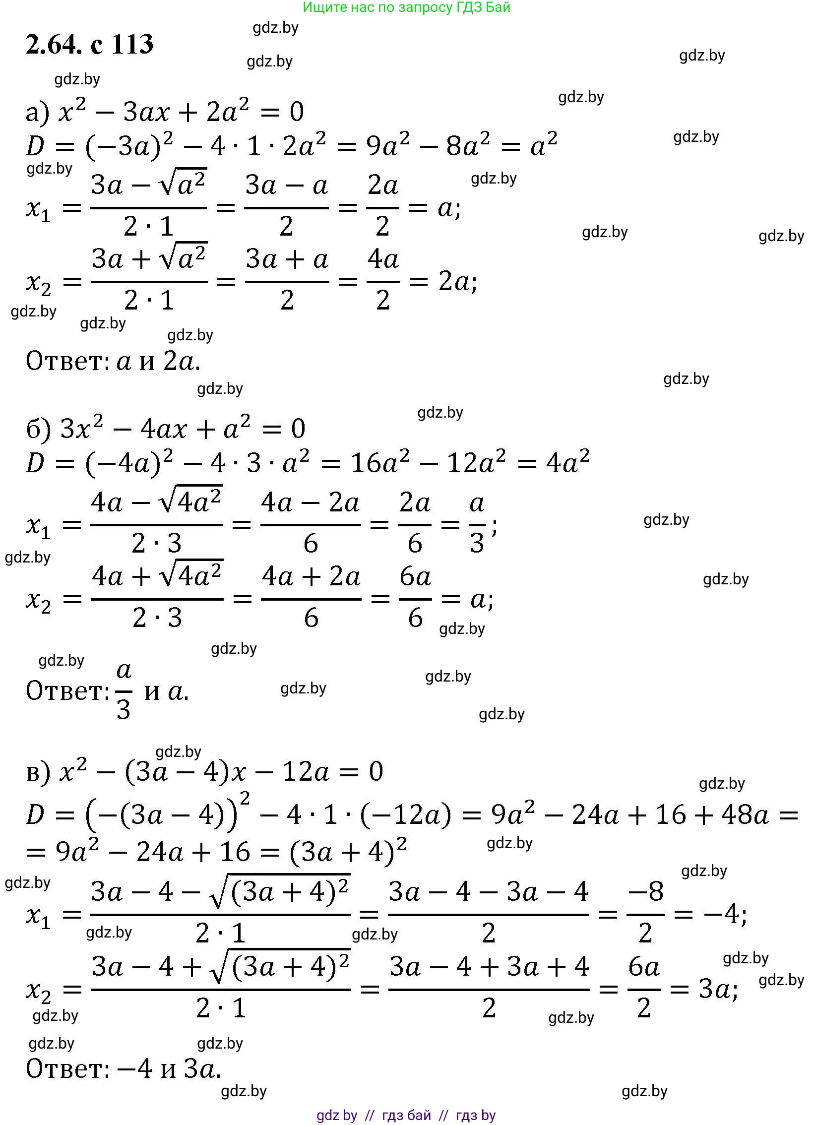
2.64. Решите уравнение относительно переменной $x$:

a) $x^2 - 3ax + 2a^2 = 0;$

б) $3x^2 - 4ax + a^2 = 0;$

в) $x^2 + (3a - 4)x - 12a = 0;$

г) $ax^2 - (a + 1)x + 1 = 0.$

Решение. №2.64 (с. 113)
Алгебра, 8 класс Учебник, авторы: Арефьева Ирина Глебовна, Пирютко Ольга Николаевна, издательство Адукацыя i выхаванне, Минск, 2024, бирюзового цвета, страница 113, номер 2.64, Решение Алгебра, 8 класс Учебник, авторы: Арефьева Ирина Глебовна, Пирютко Ольга Николаевна, издательство Адукацыя i выхаванне, Минск, 2024, бирюзового цвета, страница 113, номер 2.64, Решение (продолжение 2)
Решение 2. №2.64 (с. 113)

а) $x^2 - 3ax + 2a^2 = 0$

Это квадратное уравнение относительно переменной $x$. Решим его с помощью формулы корней квадратного уравнения.

Коэффициенты уравнения: $A=1$, $B=-3a$, $C=2a^2$.
Найдем дискриминант $D$:
$D = B^2 - 4AC = (-3a)^2 - 4 \cdot 1 \cdot (2a^2) = 9a^2 - 8a^2 = a^2$.

Корни уравнения находятся по формуле:
$x = \frac{-B \pm \sqrt{D}}{2A} = \frac{3a \pm \sqrt{a^2}}{2 \cdot 1} = \frac{3a \pm a}{2}$.

Получаем два корня:
$x_1 = \frac{3a + a}{2} = \frac{4a}{2} = 2a$
$x_2 = \frac{3a - a}{2} = \frac{2a}{2} = a$

Ответ: $x_1 = a, x_2 = 2a$.


б) $3x^2 - 4ax + a^2 = 0$

Это квадратное уравнение относительно $x$.
Коэффициенты: $A=3$, $B=-4a$, $C=a^2$.
Найдем дискриминант $D$:
$D = B^2 - 4AC = (-4a)^2 - 4 \cdot 3 \cdot a^2 = 16a^2 - 12a^2 = 4a^2$.

Корни уравнения:
$x = \frac{-B \pm \sqrt{D}}{2A} = \frac{4a \pm \sqrt{4a^2}}{2 \cdot 3} = \frac{4a \pm 2a}{6}$.

Получаем два корня:
$x_1 = \frac{4a + 2a}{6} = \frac{6a}{6} = a$
$x_2 = \frac{4a - 2a}{6} = \frac{2a}{6} = \frac{a}{3}$

Ответ: $x_1 = a, x_2 = \frac{a}{3}$.


в) $x^2 + (3a - 4)x - 12a = 0$

Это квадратное уравнение относительно $x$.
Коэффициенты: $A=1$, $B=3a-4$, $C=-12a$.
Найдем дискриминант $D$:
$D = B^2 - 4AC = (3a - 4)^2 - 4 \cdot 1 \cdot (-12a) = 9a^2 - 24a + 16 + 48a = 9a^2 + 24a + 16$.

Заметим, что дискриминант является полным квадратом:
$D = (3a)^2 + 2 \cdot (3a) \cdot 4 + 4^2 = (3a + 4)^2$.

Корни уравнения:
$x = \frac{-B \pm \sqrt{D}}{2A} = \frac{-(3a - 4) \pm \sqrt{(3a + 4)^2}}{2 \cdot 1} = \frac{4 - 3a \pm (3a + 4)}{2}$.

Получаем два корня:
$x_1 = \frac{4 - 3a + (3a + 4)}{2} = \frac{8}{2} = 4$
$x_2 = \frac{4 - 3a - (3a + 4)}{2} = \frac{4 - 3a - 3a - 4}{2} = \frac{-6a}{2} = -3a$

Ответ: $x_1 = 4, x_2 = -3a$.


г) $ax^2 - (a + 1)x + 1 = 0$

Это уравнение с параметром $a$. Коэффициент при $x^2$ зависит от параметра, поэтому необходимо рассмотреть случай, когда он равен нулю.

Случай 1: $a = 0$
Подставим $a=0$ в уравнение:
$0 \cdot x^2 - (0 + 1)x + 1 = 0$
$-x + 1 = 0$
$x = 1$.
При $a=0$ уравнение имеет один корень.

Случай 2: $a \neq 0$
Уравнение является квадратным.
Коэффициенты: $A=a$, $B=-(a+1)$, $C=1$.
Найдем дискриминант $D$:
$D = B^2 - 4AC = (-(a + 1))^2 - 4 \cdot a \cdot 1 = (a+1)^2 - 4a = a^2 + 2a + 1 - 4a = a^2 - 2a + 1 = (a - 1)^2$.

Корни уравнения:
$x = \frac{-B \pm \sqrt{D}}{2A} = \frac{a + 1 \pm \sqrt{(a - 1)^2}}{2a} = \frac{a + 1 \pm (a - 1)}{2a}$.

Получаем два корня:
$x_1 = \frac{a + 1 + (a - 1)}{2a} = \frac{2a}{2a} = 1$
$x_2 = \frac{a + 1 - (a - 1)}{2a} = \frac{a + 1 - a + 1}{2a} = \frac{2}{2a} = \frac{1}{a}$

Объединим результаты:

  • Если $a = 0$, то $x = 1$.
  • Если $a \neq 0$, то $x_1 = 1$ и $x_2 = \frac{1}{a}$. (При $a=1$ корни совпадают: $x=1$).

Ответ: если $a = 0$, то $x = 1$; если $a \neq 0$, то $x_1 = 1, x_2 = \frac{1}{a}$.

Помогло решение? Оставьте отзыв в комментариях ниже.

Присоединяйтесь к Телеграм-группе @gdz_by_belarus

Присоединиться

Мы подготовили для вас ответ c подробным объяснением домашего задания по алгебре за 8 класс, для упражнения номер 2.64 расположенного на странице 113 к учебнику 2024 года издания для учащихся школ и гимназий.

Теперь на нашем сайте ГДЗ.ТОП вы всегда легко и бесплатно найдёте условие с правильным ответом на вопрос «Как решить ДЗ» и «Как сделать» задание по алгебре к упражнению №2.64 (с. 113), авторов: Арефьева (Ирина Глебовна), Пирютко (Ольга Николаевна), учебного пособия издательства Адукацыя i выхаванне.