Номер 2.59, страница 113 - гдз по алгебре 8 класс учебник Арефьева, Пирютко

Алгебра, 8 класс Учебник, авторы: Арефьева Ирина Глебовна, Пирютко Ольга Николаевна, издательство Адукацыя i выхаванне, Минск, 2024, бирюзового цвета

Авторы: Арефьева И. Г., Пирютко О. Н.

Тип: Учебник

Издательство: Адукацыя i выхаванне

Год издания: 2024 - 2026

Цвет обложки: бирюзовый с графиком

ISBN: ISBN 978-985-03-4081-8

Допущено Министерством образования Республики Беларусь

Популярные ГДЗ в 8 классе

Глава 2. Квадратные уравнения. Параграф 8. Формулы корней квадратного уравнения - номер 2.59, страница 113.

№2.59 (с. 113)
Условие. №2.59 (с. 113)
скриншот условия
Алгебра, 8 класс Учебник, авторы: Арефьева Ирина Глебовна, Пирютко Ольга Николаевна, издательство Адукацыя i выхаванне, Минск, 2024, бирюзового цвета, страница 113, номер 2.59, Условие

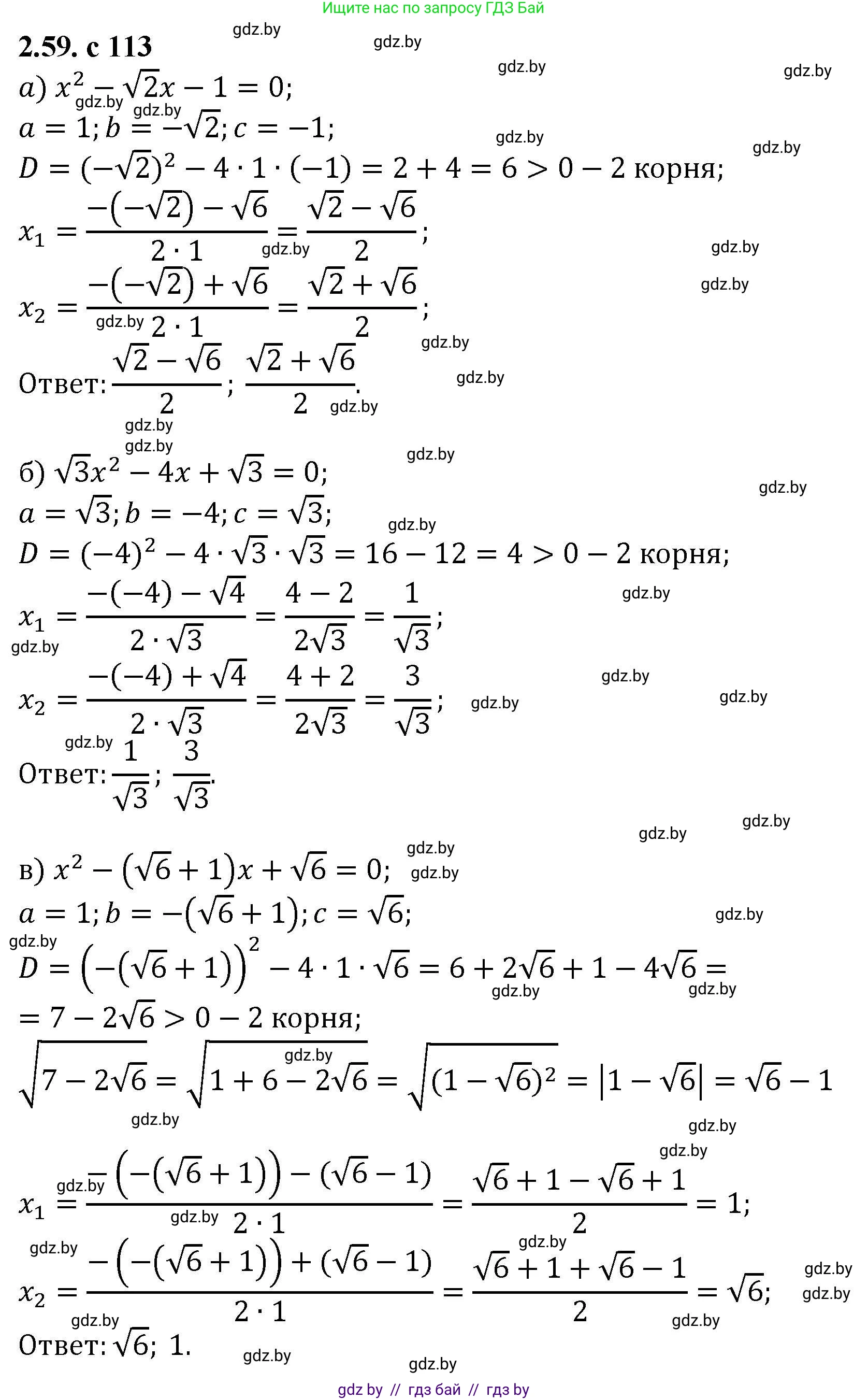
2.59. Решите уравнение:

а) $x^2 - \sqrt{2}x - 1 = 0;$

б) $\sqrt{3}x^2 - 4x + \sqrt{3} = 0;$

в) $x^2 - (\sqrt{6} + 1)x + \sqrt{6} = 0;$

г) $x^2 + (\sqrt{2} - \sqrt{7})x - \sqrt{14} = 0.$

Решение. №2.59 (с. 113)
Алгебра, 8 класс Учебник, авторы: Арефьева Ирина Глебовна, Пирютко Ольга Николаевна, издательство Адукацыя i выхаванне, Минск, 2024, бирюзового цвета, страница 113, номер 2.59, Решение Алгебра, 8 класс Учебник, авторы: Арефьева Ирина Глебовна, Пирютко Ольга Николаевна, издательство Адукацыя i выхаванне, Минск, 2024, бирюзового цвета, страница 113, номер 2.59, Решение (продолжение 2)
Решение 2. №2.59 (с. 113)

а) $x^2 - \sqrt{2}x - 1 = 0$

Это квадратное уравнение вида $ax^2+bx+c=0$, где коэффициенты $a=1$, $b=-\sqrt{2}$, $c=-1$.
Для решения используем формулу корней квадратного уравнения через дискриминант.
Найдем дискриминант $D = b^2 - 4ac$:
$D = (-\sqrt{2})^2 - 4 \cdot 1 \cdot (-1) = 2 + 4 = 6$.
Так как $D > 0$, уравнение имеет два различных действительных корня.
Найдем корни по формуле $x_{1,2} = \frac{-b \pm \sqrt{D}}{2a}$:
$x_{1,2} = \frac{-(-\sqrt{2}) \pm \sqrt{6}}{2 \cdot 1} = \frac{\sqrt{2} \pm \sqrt{6}}{2}$.
Ответ: $x_1 = \frac{\sqrt{2} + \sqrt{6}}{2}$, $x_2 = \frac{\sqrt{2} - \sqrt{6}}{2}$.

б) $\sqrt{3}x^2 - 4x + \sqrt{3} = 0$

Это квадратное уравнение вида $ax^2+bx+c=0$, где коэффициенты $a=\sqrt{3}$, $b=-4$, $c=\sqrt{3}$.
Найдем дискриминант $D = b^2 - 4ac$:
$D = (-4)^2 - 4 \cdot \sqrt{3} \cdot \sqrt{3} = 16 - 4 \cdot 3 = 16 - 12 = 4$.
Так как $D > 0$, уравнение имеет два различных действительных корня. $\sqrt{D} = \sqrt{4} = 2$.
Найдем корни по формуле $x_{1,2} = \frac{-b \pm \sqrt{D}}{2a}$:
$x_{1,2} = \frac{-(-4) \pm 2}{2 \cdot \sqrt{3}} = \frac{4 \pm 2}{2\sqrt{3}}$.
Вычислим каждый корень отдельно:
$x_1 = \frac{4+2}{2\sqrt{3}} = \frac{6}{2\sqrt{3}} = \frac{3}{\sqrt{3}} = \frac{3\sqrt{3}}{3} = \sqrt{3}$.
$x_2 = \frac{4-2}{2\sqrt{3}} = \frac{2}{2\sqrt{3}} = \frac{1}{\sqrt{3}} = \frac{\sqrt{3}}{3}$.
Ответ: $x_1 = \sqrt{3}$, $x_2 = \frac{\sqrt{3}}{3}$.

в) $x^2 - (\sqrt{6}+1)x + \sqrt{6} = 0$

Это приведенное квадратное уравнение ($a=1$). Для таких уравнений удобно использовать теорему Виета.
Согласно теореме Виета, сумма корней $x_1+x_2$ равна коэффициенту при $x$ с противоположным знаком, а произведение корней $x_1 \cdot x_2$ равно свободному члену.
$x_1 + x_2 = \sqrt{6}+1$
$x_1 \cdot x_2 = \sqrt{6}$
Методом подбора легко найти корни: $x_1 = \sqrt{6}$ и $x_2 = 1$.
Проверим: $x_1 + x_2 = \sqrt{6} + 1$ (верно), $x_1 \cdot x_2 = \sqrt{6} \cdot 1 = \sqrt{6}$ (верно).
Ответ: $x_1 = \sqrt{6}$, $x_2 = 1$.

г) $x^2 + (\sqrt{2} - \sqrt{7})x - \sqrt{14} = 0$

Это также приведенное квадратное уравнение. Применим теорему Виета.
$x_1 + x_2 = -(\sqrt{2} - \sqrt{7}) = \sqrt{7} - \sqrt{2}$
$x_1 \cdot x_2 = -\sqrt{14}$
Заметим, что произведение корней можно представить как $\sqrt{7} \cdot (-\sqrt{2})$. Проверим, являются ли эти числа корнями.
Пусть $x_1 = \sqrt{7}$ и $x_2 = -\sqrt{2}$.
Их сумма: $x_1 + x_2 = \sqrt{7} + (-\sqrt{2}) = \sqrt{7} - \sqrt{2}$ (верно).
Их произведение: $x_1 \cdot x_2 = \sqrt{7} \cdot (-\sqrt{2}) = -\sqrt{14}$ (верно).
Ответ: $x_1 = \sqrt{7}$, $x_2 = -\sqrt{2}$.

Помогло решение? Оставьте отзыв в комментариях ниже.

Присоединяйтесь к Телеграм-группе @gdz_by_belarus

Присоединиться

Мы подготовили для вас ответ c подробным объяснением домашего задания по алгебре за 8 класс, для упражнения номер 2.59 расположенного на странице 113 к учебнику 2024 года издания для учащихся школ и гимназий.

Теперь на нашем сайте ГДЗ.ТОП вы всегда легко и бесплатно найдёте условие с правильным ответом на вопрос «Как решить ДЗ» и «Как сделать» задание по алгебре к упражнению №2.59 (с. 113), авторов: Арефьева (Ирина Глебовна), Пирютко (Ольга Николаевна), учебного пособия издательства Адукацыя i выхаванне.