Номер 3.184, страница 195 - гдз по алгебре 9 класс учебник Арефьева, Пирютко

Алгебра, 9 класс Учебник, авторы: Арефьева Ирина Глебовна, Пирютко Ольга Николаевна, издательство Народная асвета, Минск, 2019, голубого цвета

Авторы: Арефьева И. Г., Пирютко О. Н.

Тип: Учебник

Издательство: Народная асвета

Год издания: 2019 - 2026

Цвет обложки: голубой, синий с графиком

ISBN: 978-985-03-3077-2

Допущено Министерством образования Республики Беларусь

Популярные ГДЗ в 9 классе

Глава 3. Дробно-рациональные уравнения и неравенства. Параграф 13. Дробно-рациональные неравенства. Метод интервалов для решения рациональных неравенств - номер 3.184, страница 195.

№3.184 (с. 195)
Условие. №3.184 (с. 195)
скриншот условия
Алгебра, 9 класс Учебник, авторы: Арефьева Ирина Глебовна, Пирютко Ольга Николаевна, издательство Народная асвета, Минск, 2019, голубого цвета, страница 195, номер 3.184, Условие

3.184. Найдите все значения переменной, при которых:

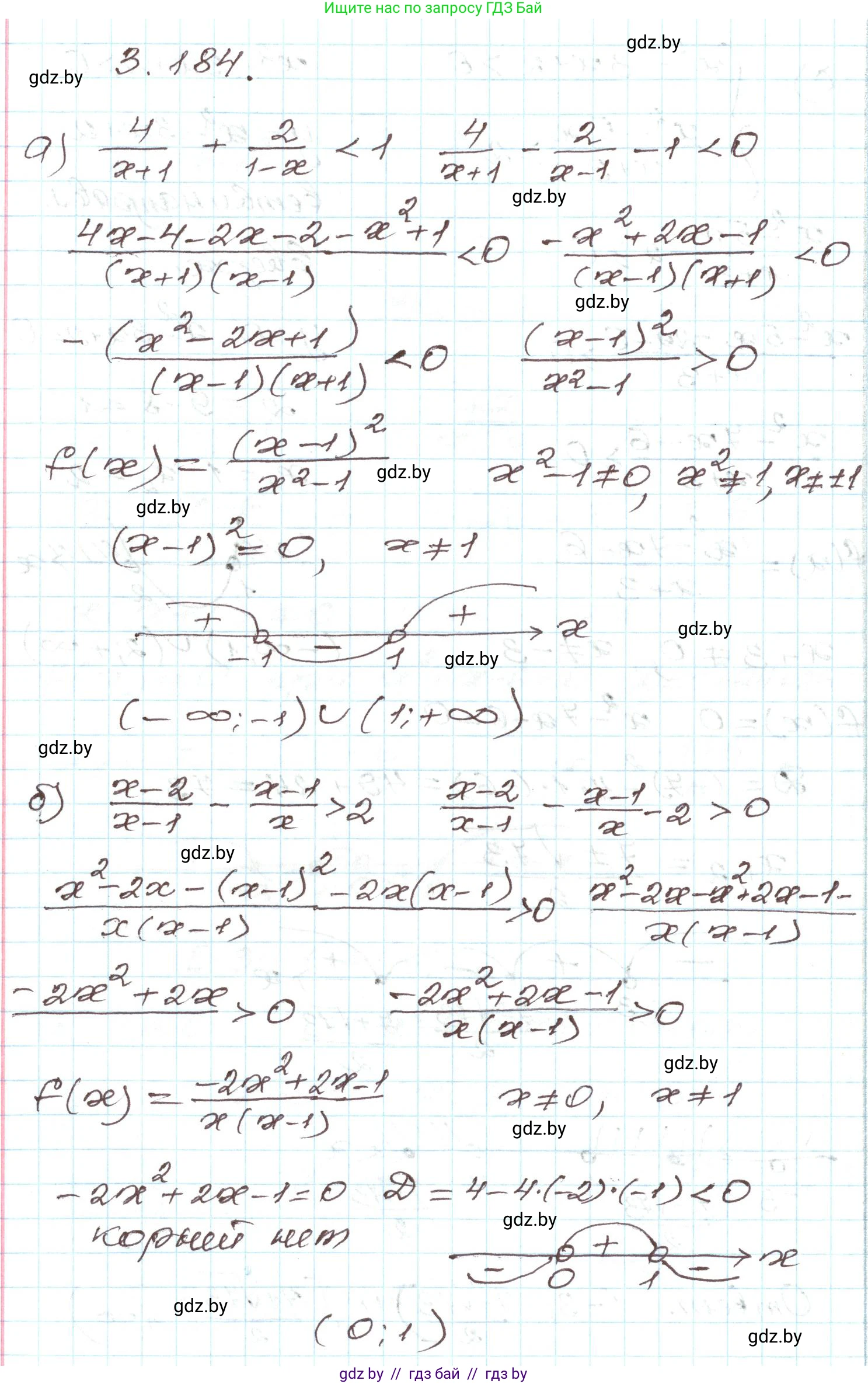
а) сумма дробей $\frac{4}{x+1}$ и $\frac{2}{1-x}$ меньше 1;

б) разность дробей $\frac{x-2}{x-1}$ и $\frac{x-1}{x}$ больше 2;

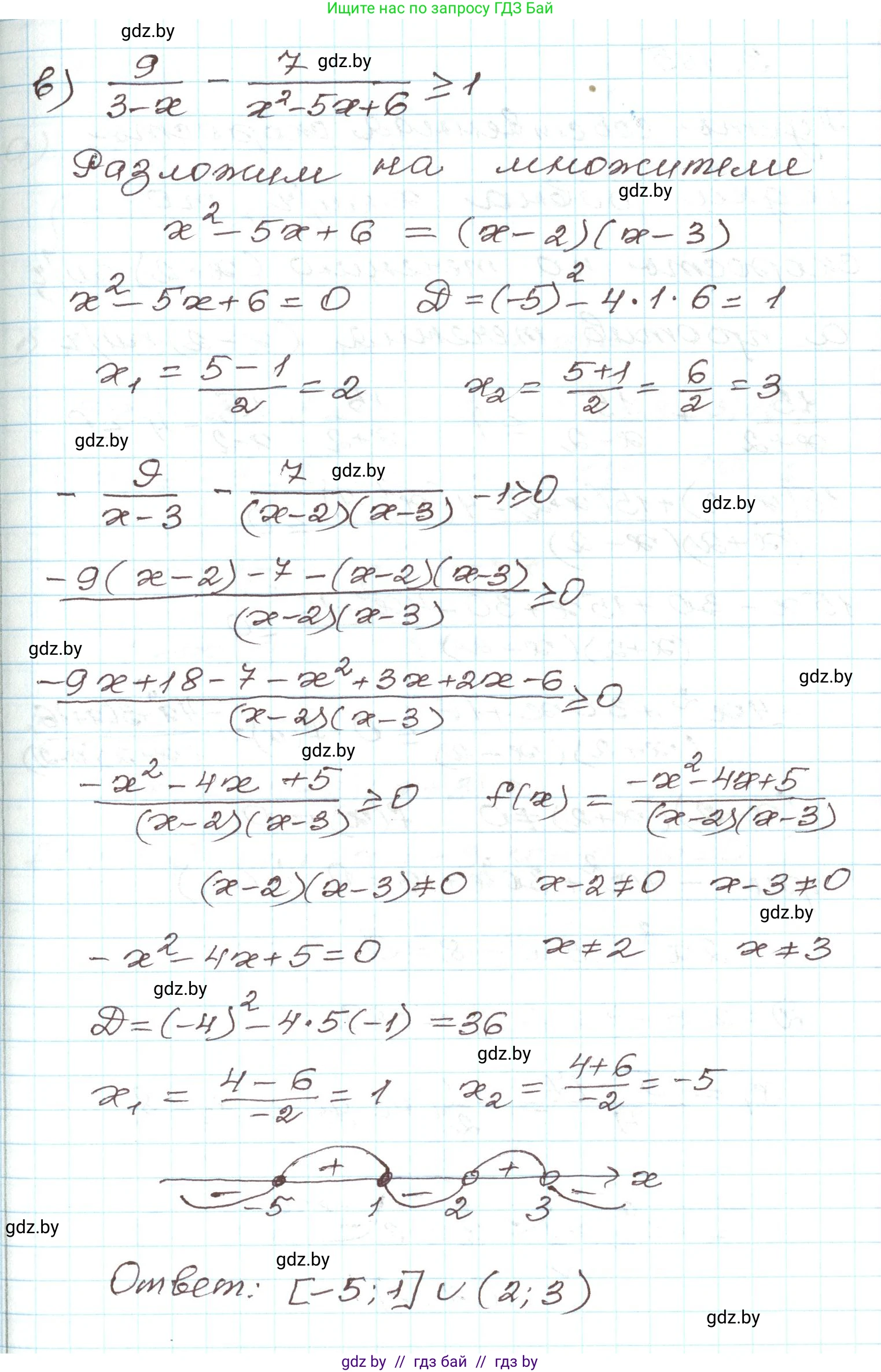
в) разность дробей $\frac{9}{3-x}$ и $\frac{7}{x^2-5x+6}$ не меньше 1.

Решение. №3.184 (с. 195)
Алгебра, 9 класс Учебник, авторы: Арефьева Ирина Глебовна, Пирютко Ольга Николаевна, издательство Народная асвета, Минск, 2019, голубого цвета, страница 195, номер 3.184, Решение Алгебра, 9 класс Учебник, авторы: Арефьева Ирина Глебовна, Пирютко Ольга Николаевна, издательство Народная асвета, Минск, 2019, голубого цвета, страница 195, номер 3.184, Решение (продолжение 2)
Решение 2. №3.184 (с. 195)
а)

Запишем условие в виде неравенства:

$$ \frac{4}{x+1} + \frac{2}{1-x} < 1 $$

Область допустимых значений (ОДЗ): $x+1 \neq 0$ и $1-x \neq 0$, следовательно, $x \neq -1$ и $x \neq 1$.

Перенесем все члены неравенства в левую часть и приведем к общему знаменателю. Учтем, что $\frac{2}{1-x} = -\frac{2}{x-1}$.

$$ \frac{4}{x+1} - \frac{2}{x-1} - 1 < 0 $$ $$ \frac{4(x-1) - 2(x+1) - 1(x^2-1)}{(x+1)(x-1)} < 0 $$

Раскроем скобки в числителе:

$$ \frac{4x - 4 - 2x - 2 - x^2 + 1}{x^2-1} < 0 $$ $$ \frac{-x^2 + 2x - 5}{x^2-1} < 0 $$

Домножим обе части неравенства на -1, изменив знак на противоположный:

$$ \frac{x^2 - 2x + 5}{x^2-1} > 0 $$

Рассмотрим числитель $x^2 - 2x + 5$. Дискриминант этого квадратного трехчлена $D = (-2)^2 - 4 \cdot 1 \cdot 5 = 4 - 20 = -16$. Так как $D < 0$ и коэффициент при $x^2$ положителен ($a=1>0$), числитель всегда положителен при любых значениях $x$.

Следовательно, знак дроби зависит только от знака знаменателя. Неравенство равносильно следующему:

$$ x^2 - 1 > 0 $$ $$ (x-1)(x+1) > 0 $$

Решением этого неравенства методом интервалов является объединение промежутков $(-\infty, -1)$ и $(1, \infty)$.

Ответ: $x \in (-\infty, -1) \cup (1, \infty)$.

б)

Запишем условие в виде неравенства:

$$ \frac{x-2}{x-1} - \frac{x-1}{x} > 2 $$

ОДЗ: $x \neq 1$ и $x \neq 0$.

Перенесем все слагаемые в левую часть и приведем к общему знаменателю:

$$ \frac{x(x-2) - (x-1)^2 - 2x(x-1)}{x(x-1)} > 0 $$

Раскроем скобки и приведем подобные слагаемые в числителе:

$$ \frac{x^2 - 2x - (x^2 - 2x + 1) - (2x^2 - 2x)}{x(x-1)} > 0 $$ $$ \frac{x^2 - 2x - x^2 + 2x - 1 - 2x^2 + 2x}{x(x-1)} > 0 $$ $$ \frac{-2x^2 + 2x - 1}{x(x-1)} > 0 $$

Домножим неравенство на -1, изменив знак на противоположный:

$$ \frac{2x^2 - 2x + 1}{x(x-1)} < 0 $$

Числитель $2x^2 - 2x + 1$ имеет отрицательный дискриминант ($D = (-2)^2 - 4 \cdot 2 \cdot 1 = 4-8=-4$) и положительный старший коэффициент, поэтому он всегда положителен. Значит, знак дроби определяется знаком знаменателя:

$$ x(x-1) < 0 $$

Решением этого неравенства является интервал между корнями $x=0$ и $x=1$.

Ответ: $x \in (0, 1)$.

в)

Условие "не меньше 1" означает "больше или равно 1". Запишем неравенство:

$$ \frac{9}{3-x} - \frac{7}{x^2-5x+6} \geq 1 $$

Разложим знаменатель на множители: $x^2-5x+6 = (x-2)(x-3)$. Учтем, что $3-x = -(x-3)$.

ОДЗ: $x \neq 2$ и $x \neq 3$.

Перепишем неравенство и перенесем все в левую часть:

$$ \frac{-9}{x-3} - \frac{7}{(x-2)(x-3)} - 1 \geq 0 $$

Домножим на -1, изменив знак неравенства:

$$ \frac{9}{x-3} + \frac{7}{(x-2)(x-3)} + 1 \leq 0 $$

Приведем к общему знаменателю:

$$ \frac{9(x-2) + 7 + 1(x-2)(x-3)}{(x-2)(x-3)} \leq 0 $$

Раскроем скобки и упростим числитель:

$$ \frac{9x - 18 + 7 + x^2 - 5x + 6}{(x-2)(x-3)} \leq 0 $$ $$ \frac{x^2 + 4x - 5}{(x-2)(x-3)} \leq 0 $$

Разложим числитель на множители, найдя его корни: $x^2 + 4x - 5 = 0 \Rightarrow x_1=-5, x_2=1$. Тогда $x^2 + 4x - 5 = (x+5)(x-1)$.

$$ \frac{(x+5)(x-1)}{(x-2)(x-3)} \leq 0 $$

Решаем неравенство методом интервалов. Корни числителя ($x=-5, x=1$) и знаменателя ($x=2, x=3$) разбивают числовую прямую на интервалы. Корни числителя включаем в решение, так как неравенство нестрогое, а корни знаменателя исключаем.

Анализируя знаки выражения на интервалах, находим, что оно неположительно (меньше или равно нулю) при $x \in [-5, 1]$ и при $x \in (2, 3)$.

Ответ: $x \in [-5, 1] \cup (2, 3)$.

Помогло решение? Оставьте отзыв в комментариях ниже.

Присоединяйтесь к Телеграм-группе @gdz_by_belarus

Присоединиться

Мы подготовили для вас ответ c подробным объяснением домашего задания по алгебре за 9 класс, для упражнения номер 3.184 расположенного на странице 195 к учебнику 2019 года издания для учащихся школ и гимназий.

Теперь на нашем сайте ГДЗ.ТОП вы всегда легко и бесплатно найдёте условие с правильным ответом на вопрос «Как решить ДЗ» и «Как сделать» задание по алгебре к упражнению №3.184 (с. 195), авторов: Арефьева (Ирина Глебовна), Пирютко (Ольга Николаевна), учебного пособия издательства Народная асвета.