Номер 3.187, страница 196 - гдз по алгебре 9 класс учебник Арефьева, Пирютко

Алгебра, 9 класс Учебник, авторы: Арефьева Ирина Глебовна, Пирютко Ольга Николаевна, издательство Народная асвета, Минск, 2019, голубого цвета

Авторы: Арефьева И. Г., Пирютко О. Н.

Тип: Учебник

Издательство: Народная асвета

Год издания: 2019 - 2026

Цвет обложки: голубой, синий с графиком

ISBN: 978-985-03-3077-2

Допущено Министерством образования Республики Беларусь

Популярные ГДЗ в 9 классе

Глава 3. Дробно-рациональные уравнения и неравенства. Параграф 13. Дробно-рациональные неравенства. Метод интервалов для решения рациональных неравенств - номер 3.187, страница 196.

№3.187 (с. 196)
Условие. №3.187 (с. 196)
скриншот условия
Алгебра, 9 класс Учебник, авторы: Арефьева Ирина Глебовна, Пирютко Ольга Николаевна, издательство Народная асвета, Минск, 2019, голубого цвета, страница 196, номер 3.187, Условие

3.187*. Найдите все значения аргумента, при которых:

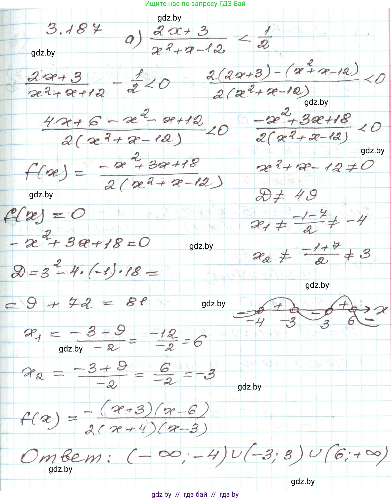
а) график функции $y = \frac{2x+3}{x^2+x-12}$ расположен ниже прямой $y = \frac{1}{2}$;

б) график функции $y = \frac{2x-5}{x^2-6x-7}$ расположен выше графика функции $y = \frac{1}{x-3}$;

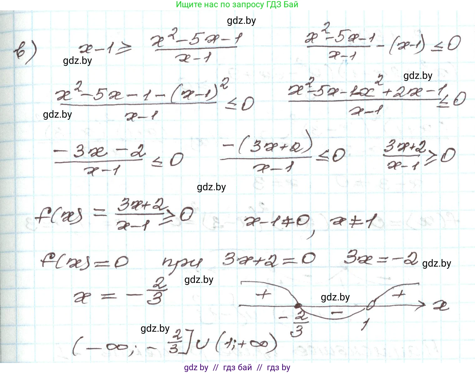
в) прямая $y=x-1$ расположена не ниже графика функции $y = \frac{x^2-5x-1}{x-1}$.

Решение. №3.187 (с. 196)
Алгебра, 9 класс Учебник, авторы: Арефьева Ирина Глебовна, Пирютко Ольга Николаевна, издательство Народная асвета, Минск, 2019, голубого цвета, страница 196, номер 3.187, Решение Алгебра, 9 класс Учебник, авторы: Арефьева Ирина Глебовна, Пирютко Ольга Николаевна, издательство Народная асвета, Минск, 2019, голубого цвета, страница 196, номер 3.187, Решение (продолжение 2)
Решение 2. №3.187 (с. 196)

а) Условие "график функции $y = \frac{2x+3}{x^2+x-12}$ расположен ниже прямой $y = \frac{1}{2}$" означает, что значения первой функции должны быть меньше значений второй. Запишем соответствующее неравенство:

$$ \frac{2x+3}{x^2+x-12} < \frac{1}{2} $$

Перенесем все члены в левую часть и приведем к общему знаменателю. Область допустимых значений (ОДЗ): $x^2+x-12 \neq 0$, что равносильно $(x+4)(x-3) \neq 0$, то есть $x \neq -4$ и $x \neq 3$.

$$ \frac{2x+3}{x^2+x-12} - \frac{1}{2} < 0 $$ $$ \frac{2(2x+3) - 1(x^2+x-12)}{2(x^2+x-12)} < 0 $$

Раскроем скобки и упростим числитель:

$$ \frac{4x+6 - x^2-x+12}{2(x^2+x-12)} < 0 $$ $$ \frac{-x^2+3x+18}{2(x^2+x-12)} < 0 $$

Умножим обе части неравенства на -1, изменив знак неравенства на противоположный:

$$ \frac{x^2-3x-18}{2(x^2+x-12)} > 0 $$

Разложим квадратные трехчлены на множители. Корни числителя $x^2-3x-18=0$ по теореме Виета: $x_1=6, x_2=-3$. Корни знаменателя $x^2+x-12=0$ мы уже нашли: $x_3=-4, x_4=3$. Неравенство принимает вид:

$$ \frac{(x-6)(x+3)}{2(x+4)(x-3)} > 0 $$

Решим неравенство методом интервалов. Отметим на числовой оси точки -4, -3, 3, 6. Они разбивают ось на 5 интервалов. Определим знак выражения на каждом интервале.

  • При $x \in (6, +\infty)$: $(+)(+)/(+)(+) > 0$. Интервал подходит.
  • При $x \in (3, 6)$: $(-)(+)/(+)(+) < 0$.
  • При $x \in (-3, 3)$: $(-)(+)/(+)(-) > 0$. Интервал подходит.
  • При $x \in (-4, -3)$: $(-)(-)/(+)(-) < 0$.
  • При $x \in (-\infty, -4)$: $(-)(-)/(-)(-) > 0$. Интервал подходит.

Ответ: $x \in (-\infty, -4) \cup (-3, 3) \cup (6, +\infty)$.

б) Условие "график функции $y = \frac{2x-5}{x^2-6x-7}$ расположен выше графика функции $y = \frac{1}{x-3}$" означает, что значения первой функции должны быть больше значений второй. Запишем неравенство:

$$ \frac{2x-5}{x^2-6x-7} > \frac{1}{x-3} $$

ОДЗ: $x^2-6x-7 \neq 0$ и $x-3 \neq 0$. Корни $x^2-6x-7=0$: $x_1=7, x_2=-1$. Итак, $x \neq -1, x \neq 3, x \neq 7$.

Перенесем все в левую часть и приведем к общему знаменателю:

$$ \frac{2x-5}{(x-7)(x+1)} - \frac{1}{x-3} > 0 $$ $$ \frac{(2x-5)(x-3) - 1(x-7)(x+1)}{(x-7)(x+1)(x-3)} > 0 $$

Упростим числитель:

$$ (2x^2 - 6x - 5x + 15) - (x^2 + x - 7x - 7) = (2x^2 - 11x + 15) - (x^2 - 6x - 7) = x^2 - 5x + 22 $$

Неравенство принимает вид:

$$ \frac{x^2-5x+22}{(x-7)(x+1)(x-3)} > 0 $$

Исследуем числитель $x^2-5x+22$. Найдем его дискриминант: $D = (-5)^2 - 4 \cdot 1 \cdot 22 = 25 - 88 = -63$. Так как $D < 0$ и коэффициент при $x^2$ положителен ($a=1 > 0$), числитель $x^2-5x+22$ всегда положителен. Следовательно, знак дроби зависит только от знака знаменателя:

$$ (x-7)(x+1)(x-3) > 0 $$

Решим методом интервалов. Корни: -1, 3, 7.

  • При $x \in (7, +\infty)$: $(+)(+)(+) > 0$. Интервал подходит.
  • При $x \in (3, 7)$: $(-)(+)(+) < 0$.
  • При $x \in (-1, 3)$: $(-)(+)(-) > 0$. Интервал подходит.
  • При $x \in (-\infty, -1)$: $(-)(-)(-) < 0$.

Ответ: $x \in (-1, 3) \cup (7, +\infty)$.

в) Условие "прямая $y = x-1$ расположена не ниже графика функции $y = \frac{x^2-5x-1}{x-1}$" означает, что $y=x-1$ больше или равно $y = \frac{x^2-5x-1}{x-1}$. Запишем неравенство:

$$ x-1 \ge \frac{x^2-5x-1}{x-1} $$

ОДЗ: $x-1 \neq 0 \implies x \neq 1$. Перенесем все члены в левую часть:

$$ x-1 - \frac{x^2-5x-1}{x-1} \ge 0 $$

Приведем к общему знаменателю:

$$ \frac{(x-1)^2 - (x^2-5x-1)}{x-1} \ge 0 $$

Упростим числитель:

$$ \frac{(x^2-2x+1) - (x^2-5x-1)}{x-1} \ge 0 $$ $$ \frac{x^2-2x+1 - x^2+5x+1}{x-1} \ge 0 $$ $$ \frac{3x+2}{x-1} \ge 0 $$

Решим неравенство методом интервалов. Нуль числителя: $3x+2=0 \implies x = -\frac{2}{3}$. Эта точка включается в решение, так как неравенство нестрогое. Нуль знаменателя: $x-1=0 \implies x=1$. Эта точка исключается из решения (ОДЗ). Отметим точки на числовой оси и определим знаки.

  • При $x \in (1, +\infty)$: $(+)/(+) > 0$. Интервал подходит.
  • При $x \in [-\frac{2}{3}, 1)$: $(+)/(-) < 0$.
  • При $x \in (-\infty, -\frac{2}{3}]$: $(-)/(-) > 0$. Интервал подходит.

Ответ: $x \in (-\infty, -\frac{2}{3}] \cup (1, +\infty)$.

Помогло решение? Оставьте отзыв в комментариях ниже.

Присоединяйтесь к Телеграм-группе @gdz_by_belarus

Присоединиться

Мы подготовили для вас ответ c подробным объяснением домашего задания по алгебре за 9 класс, для упражнения номер 3.187 расположенного на странице 196 к учебнику 2019 года издания для учащихся школ и гимназий.

Теперь на нашем сайте ГДЗ.ТОП вы всегда легко и бесплатно найдёте условие с правильным ответом на вопрос «Как решить ДЗ» и «Как сделать» задание по алгебре к упражнению №3.187 (с. 196), авторов: Арефьева (Ирина Глебовна), Пирютко (Ольга Николаевна), учебного пособия издательства Народная асвета.