Номер 3.186, страница 196 - гдз по алгебре 9 класс учебник Арефьева, Пирютко

Алгебра, 9 класс Учебник, авторы: Арефьева Ирина Глебовна, Пирютко Ольга Николаевна, издательство Народная асвета, Минск, 2019, голубого цвета

Авторы: Арефьева И. Г., Пирютко О. Н.

Тип: Учебник

Издательство: Народная асвета

Год издания: 2019 - 2026

Цвет обложки: голубой, синий с графиком

ISBN: 978-985-03-3077-2

Допущено Министерством образования Республики Беларусь

Популярные ГДЗ в 9 классе

Глава 3. Дробно-рациональные уравнения и неравенства. Параграф 13. Дробно-рациональные неравенства. Метод интервалов для решения рациональных неравенств - номер 3.186, страница 196.

№3.186 (с. 196)
Условие. №3.186 (с. 196)
скриншот условия
Алгебра, 9 класс Учебник, авторы: Арефьева Ирина Глебовна, Пирютко Ольга Николаевна, издательство Народная асвета, Минск, 2019, голубого цвета, страница 196, номер 3.186, Условие

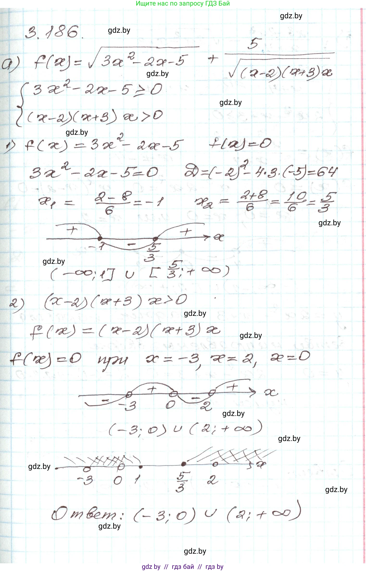
3.186. Найдите область определения функции:

a) $f(x) = \sqrt{3x^2 - 2x - 5} + \frac{5}{\sqrt{(x - 2)(x + 3)x}}$;

б) $f(x) = \sqrt{\frac{x^3 - 2x^2}{x + 4}} - \sqrt{2x^2 - x + 3}$.

Решение. №3.186 (с. 196)
Алгебра, 9 класс Учебник, авторы: Арефьева Ирина Глебовна, Пирютко Ольга Николаевна, издательство Народная асвета, Минск, 2019, голубого цвета, страница 196, номер 3.186, Решение Алгебра, 9 класс Учебник, авторы: Арефьева Ирина Глебовна, Пирютко Ольга Николаевна, издательство Народная асвета, Минск, 2019, голубого цвета, страница 196, номер 3.186, Решение (продолжение 2)
Решение 2. №3.186 (с. 196)

а) Область определения функции $f(x) = \sqrt{3x^2 - 2x - 5} + \frac{5}{\sqrt{(x-2)(x+3)x}}$ находится из системы неравенств, так как подкоренное выражение должно быть неотрицательным, а выражение под корнем в знаменателе — строго положительным:

$$ \begin{cases} 3x^2 - 2x - 5 \ge 0 \\ (x-2)(x+3)x > 0 \end{cases} $$

Решим каждое неравенство отдельно.

1. Для первого неравенства $3x^2 - 2x - 5 \ge 0$ найдем корни соответствующего квадратного уравнения $3x^2 - 2x - 5 = 0$.
Дискриминант $D = (-2)^2 - 4 \cdot 3 \cdot (-5) = 4 + 60 = 64$.
Корни уравнения: $x_1 = \frac{2 - \sqrt{64}}{2 \cdot 3} = \frac{2 - 8}{6} = -1$;
$x_2 = \frac{2 + 8}{6} = \frac{10}{6} = \frac{5}{3}$. Преобразуем неправильную дробь в смешанное число с выделением целой части: $\frac{5}{3} = \mathbf{1}\frac{2}{3}$.
Поскольку парабола $y = 3x^2 - 2x - 5$ имеет ветви, направленные вверх, неравенство выполняется при $x \in (-\infty, -1] \cup [1\frac{2}{3}, \infty)$.

2. Второе неравенство $(x-2)(x+3)x > 0$ решим методом интервалов. Корни множителей: $x=-3, x=0, x=2$. Они разбивают числовую ось на четыре интервала. Определим знак выражения в каждом из них:

  • При $x \in (2, \infty)$ произведение положительно.
  • При $x \in (0, 2)$ произведение отрицательно.
  • При $x \in (-3, 0)$ произведение положительно.
  • При $x \in (-\infty, -3)$ произведение отрицательно.

Решением неравенства является объединение интервалов, где произведение положительно: $x \in (-3, 0) \cup (2, \infty)$.

3. Найдём пересечение полученных решений:
$((-\infty, -1] \cup [1\frac{2}{3}, \infty)) \cap ((-3, 0) \cup (2, \infty))$.
Так как $1\frac{2}{3} < 2$, пересечением является множество $x \in (-3, -1] \cup (2, \infty)$.

Ответ: $D(f) = (-3, -1] \cup (2, \infty)$.

б) Область определения функции $f(x) = \sqrt{\frac{x^3 - 2x^2}{x+4}} - \sqrt{2x^2 - x + 3}$ находится из системы неравенств, так как подкоренные выражения должны быть неотрицательными:

$$ \begin{cases} \frac{x^3 - 2x^2}{x+4} \ge 0 \\ 2x^2 - x + 3 \ge 0 \end{cases} $$

Решим каждое неравенство отдельно.

1. Преобразуем первое неравенство: $\frac{x^2(x - 2)}{x+4} \ge 0$.
Решим его методом интервалов. Нули числителя: $x=0$ (корень четной кратности, знак при переходе через него не меняется), $x=2$. Нуль знаменателя: $x=-4$.
Точки $-4, 0, 2$ разбивают числовую ось на интервалы. Определим знаки дроби в них:

  • При $x \in (2, \infty)$ дробь положительна.
  • При $x \in (0, 2)$ дробь отрицательна.
  • При $x \in (-4, 0)$ дробь отрицательна.
  • При $x \in (-\infty, -4)$ дробь положительна.

Неравенство $\ge 0$ выполняется на интервалах $(-\infty, -4)$ и $[2, \infty)$. Также, поскольку неравенство нестрогое, необходимо включить нуль числителя $x=0$.
Таким образом, решение первого неравенства: $x \in (-\infty, -4) \cup \{0\} \cup [2, \infty)$.

2. Для второго неравенства $2x^2 - x + 3 \ge 0$ найдем дискриминант квадратного трехчлена: $D = (-1)^2 - 4 \cdot 2 \cdot 3 = 1 - 24 = -23$.
Поскольку $D < 0$ и старший коэффициент $a=2 > 0$, квадратный трехчлен положителен при любых действительных значениях $x$, т.е. $x \in (-\infty, \infty)$.

3. Область определения функции есть пересечение решений обоих неравенств. Так как второе неравенство выполняется для всех $x$, область определения совпадает с решением первого неравенства.

Ответ: $D(f) = (-\infty, -4) \cup \{0\} \cup [2, \infty)$.

Помогло решение? Оставьте отзыв в комментариях ниже.

Присоединяйтесь к Телеграм-группе @gdz_by_belarus

Присоединиться

Мы подготовили для вас ответ c подробным объяснением домашего задания по алгебре за 9 класс, для упражнения номер 3.186 расположенного на странице 196 к учебнику 2019 года издания для учащихся школ и гимназий.

Теперь на нашем сайте ГДЗ.ТОП вы всегда легко и бесплатно найдёте условие с правильным ответом на вопрос «Как решить ДЗ» и «Как сделать» задание по алгебре к упражнению №3.186 (с. 196), авторов: Арефьева (Ирина Глебовна), Пирютко (Ольга Николаевна), учебного пособия издательства Народная асвета.