Номер 3.72, страница 165 - гдз по алгебре 9 класс учебник Арефьева, Пирютко

Алгебра, 9 класс Учебник, авторы: Арефьева Ирина Глебовна, Пирютко Ольга Николаевна, издательство Народная асвета, Минск, 2019, голубого цвета

Авторы: Арефьева И. Г., Пирютко О. Н.

Тип: Учебник

Издательство: Народная асвета

Год издания: 2019 - 2026

Цвет обложки: голубой, синий с графиком

ISBN: 978-985-03-3077-2

Допущено Министерством образования Республики Беларусь

Популярные ГДЗ в 9 классе

Глава 3. Дробно-рациональные уравнения и неравенства. Параграф 11. Системы нелинейных уравнений - номер 3.72, страница 165.

№3.72 (с. 165)
Условие. №3.72 (с. 165)
скриншот условия
Алгебра, 9 класс Учебник, авторы: Арефьева Ирина Глебовна, Пирютко Ольга Николаевна, издательство Народная асвета, Минск, 2019, голубого цвета, страница 165, номер 3.72, Условие

3.72. Решите графически систему уравнений:

а) $\begin{cases} y - 3x = 0, \\ xy = 12; \end{cases}$

б) $\begin{cases} y = x^2, \\ 2x + y = 3; \end{cases}$

в) $\begin{cases} x - y = 0, \\ y + x^2 = 6x; \end{cases}$

г) $\begin{cases} y = x^3, \\ y - 4x = 0. \end{cases}$

Решение. №3.72 (с. 165)
Алгебра, 9 класс Учебник, авторы: Арефьева Ирина Глебовна, Пирютко Ольга Николаевна, издательство Народная асвета, Минск, 2019, голубого цвета, страница 165, номер 3.72, Решение Алгебра, 9 класс Учебник, авторы: Арефьева Ирина Глебовна, Пирютко Ольга Николаевна, издательство Народная асвета, Минск, 2019, голубого цвета, страница 165, номер 3.72, Решение (продолжение 2)
Решение 2. №3.72 (с. 165)

Для решения систем уравнений графическим методом необходимо построить графики каждого уравнения в одной системе координат и найти точки их пересечения. Координаты этих точек и будут являться решением системы.

а) Рассмотрим систему уравнений: $$ \begin{cases} y - 3x = 0, \\ xy = 12; \end{cases} $$ Преобразуем уравнения для построения графиков:

  • Из первого уравнения выразим $y$: $y = 3x$. Это линейная функция, график которой — прямая, проходящая через начало координат (0, 0) и, например, точку (2, 6).
  • Из второго уравнения также выразим $y$: $y = \frac{12}{x}$. Это обратная пропорциональность, её график — гипербола с ветвями в I и III координатных четвертях. Для построения можно использовать точки: (2, 6), (3, 4), (4, 3), (-2, -6), (-3, -4), (-4, -3).

Построив графики прямой $y = 3x$ и гиперболы $y = \frac{12}{x}$, находим их точки пересечения. Из графика видно, что они пересекаются в двух точках.

Ответ: (2, 6); (-2, -6).

б) Рассмотрим систему уравнений: $$ \begin{cases} y = x^2, \\ 2x + y = 3; \end{cases} $$ Построим графики для каждого уравнения:

  • Первое уравнение $y = x^2$ задает параболу с вершиной в точке (0, 0) и ветвями, направленными вверх. Для построения используем характерные точки: (0, 0), (1, 1), (-1, 1), (2, 4), (-2, 4), (-3, 9).
  • Второе уравнение преобразуем к виду $y = -2x + 3$. Это линейная функция, график — прямая. Для построения достаточно двух точек, например, (0, 3) и (1, 1).

Построив параболу и прямую в одной системе координат, находим их точки пересечения.

Ответ: (1, 1); (-3, 9).

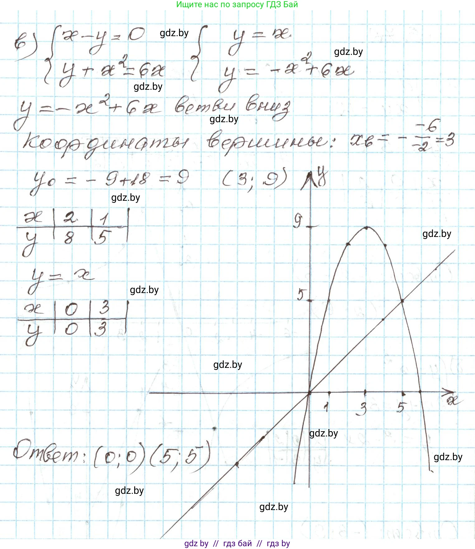
в) Рассмотрим систему уравнений: $$ \begin{cases} x - y = 0, \\ y + x^2 = 6x; \end{cases} $$ Преобразуем уравнения и построим их графики:

  • Первое уравнение $x - y = 0$ можно записать как $y = x$. График этой функции — прямая, являющаяся биссектрисой I и III координатных четвертей. Она проходит через точки (0, 0), (1, 1), (5, 5).
  • Второе уравнение $y + x^2 = 6x$ преобразуем к виду $y = -x^2 + 6x$. Это парабола, ветви которой направлены вниз. Координаты ее вершины: $x_0 = -\frac{6}{2 \cdot (-1)} = 3$, $y_0 = -(3)^2 + 6 \cdot 3 = 9$. Вершина находится в точке (3, 9). Парабола пересекает ось Ox в точках (0, 0) и (6, 0).

Построив прямую и параболу в одной системе координат, находим их точки пересечения.

Ответ: (0, 0); (5, 5).

г) Рассмотрим систему уравнений: $$ \begin{cases} y = x^3, \\ y - 4x = 0. \end{cases} $$ Построим графики функций, заданных уравнениями системы:

  • Первое уравнение $y = x^3$ задает кубическую параболу, симметричную относительно начала координат. Для построения используем точки (0, 0), (1, 1), (-1, -1), (2, 8), (-2, -8).
  • Второе уравнение $y - 4x = 0$ преобразуется в $y = 4x$. Это линейная функция, график — прямая, проходящая через начало координат. Для построения можно взять точки (0, 0) и (2, 8).

Построив графики кубической параболы и прямой в одной системе координат, находим их точки пересечения. Из графика видно, что линии пересекаются в трех точках.

Ответ: (0, 0); (2, 8); (-2, -8).

Помогло решение? Оставьте отзыв в комментариях ниже.

Присоединяйтесь к Телеграм-группе @gdz_by_belarus

Присоединиться

Мы подготовили для вас ответ c подробным объяснением домашего задания по алгебре за 9 класс, для упражнения номер 3.72 расположенного на странице 165 к учебнику 2019 года издания для учащихся школ и гимназий.

Теперь на нашем сайте ГДЗ.ТОП вы всегда легко и бесплатно найдёте условие с правильным ответом на вопрос «Как решить ДЗ» и «Как сделать» задание по алгебре к упражнению №3.72 (с. 165), авторов: Арефьева (Ирина Глебовна), Пирютко (Ольга Николаевна), учебного пособия издательства Народная асвета.