Номер 3.74, страница 165 - гдз по алгебре 9 класс учебник Арефьева, Пирютко

Алгебра, 9 класс Учебник, авторы: Арефьева Ирина Глебовна, Пирютко Ольга Николаевна, издательство Народная асвета, Минск, 2019, голубого цвета

Авторы: Арефьева И. Г., Пирютко О. Н.

Тип: Учебник

Издательство: Народная асвета

Год издания: 2019 - 2026

Цвет обложки: голубой, синий с графиком

ISBN: 978-985-03-3077-2

Допущено Министерством образования Республики Беларусь

Популярные ГДЗ в 9 классе

Глава 3. Дробно-рациональные уравнения и неравенства. Параграф 11. Системы нелинейных уравнений - номер 3.74, страница 165.

№3.74 (с. 165)
Условие. №3.74 (с. 165)
скриншот условия
Алгебра, 9 класс Учебник, авторы: Арефьева Ирина Глебовна, Пирютко Ольга Николаевна, издательство Народная асвета, Минск, 2019, голубого цвета, страница 165, номер 3.74, Условие

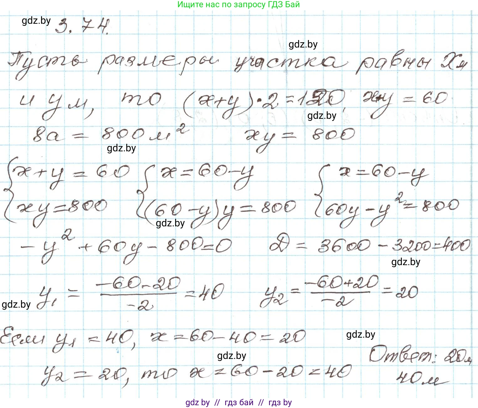
3.74. Используйте систему уравнений для решения задачи. Дачный участок имеет форму прямоугольника и огорожен забором длиной 120 м. Найдите размеры участка, если его площадь равна 8 а.

Решение. №3.74 (с. 165)
Алгебра, 9 класс Учебник, авторы: Арефьева Ирина Глебовна, Пирютко Ольга Николаевна, издательство Народная асвета, Минск, 2019, голубого цвета, страница 165, номер 3.74, Решение
Решение 2. №3.74 (с. 165)

Пусть длина прямоугольного участка равна $a$ метров, а ширина – $b$ метров.

По условию задачи, дачный участок огорожен забором длиной 120 м. Длина забора – это периметр прямоугольника. Периметр прямоугольника вычисляется по формуле $P = 2(a + b)$. Таким образом, получаем первое уравнение:

$2(a + b) = 120$

Разделив обе части уравнения на 2, получим:

$a + b = 60$

Площадь участка равна 8 а. Необходимо перевести ары в квадратные метры, зная, что 1 ар = 100 м². Следовательно:

$S = 8 \text{ а} = 8 \times 100 \text{ м}^2 = 800 \text{ м}^2$

Площадь прямоугольника вычисляется по формуле $S = a \times b$. Таким образом, получаем второе уравнение:

$a \times b = 800$

Теперь составим и решим систему из двух полученных уравнений:

$\begin{cases} a + b = 60 \\ a \times b = 800 \end{cases}$

Для решения системы используем метод подстановки. Выразим переменную $a$ из первого уравнения:

$a = 60 - b$

Подставим это выражение во второе уравнение системы:

$(60 - b) \times b = 800$

Раскроем скобки и получим квадратное уравнение:

$60b - b^2 = 800$

$b^2 - 60b + 800 = 0$

Решим это уравнение через дискриминант $D = B^2 - 4AC$:

$D = (-60)^2 - 4 \cdot 1 \cdot 800 = 3600 - 3200 = 400$

$\sqrt{D} = \sqrt{400} = 20$

Найдем корни уравнения, которые будут соответствовать возможным значениям ширины $b$:

$b_1 = \frac{60 + 20}{2} = \frac{80}{2} = 40$

$b_2 = \frac{60 - 20}{2} = \frac{40}{2} = 20$

Теперь найдем соответствующие значения длины $a$ для каждого значения $b$:

  • Если ширина $b_1 = 40$ м, то длина $a_1 = 60 - 40 = 20$ м.
  • Если ширина $b_2 = 20$ м, то длина $a_2 = 60 - 20 = 40$ м.

В обоих случаях мы получаем, что размеры участка составляют 20 м и 40 м.

Размеры участка: Ответ: 20 м и 40 м.

Помогло решение? Оставьте отзыв в комментариях ниже.

Присоединяйтесь к Телеграм-группе @gdz_by_belarus

Присоединиться

Мы подготовили для вас ответ c подробным объяснением домашего задания по алгебре за 9 класс, для упражнения номер 3.74 расположенного на странице 165 к учебнику 2019 года издания для учащихся школ и гимназий.

Теперь на нашем сайте ГДЗ.ТОП вы всегда легко и бесплатно найдёте условие с правильным ответом на вопрос «Как решить ДЗ» и «Как сделать» задание по алгебре к упражнению №3.74 (с. 165), авторов: Арефьева (Ирина Глебовна), Пирютко (Ольга Николаевна), учебного пособия издательства Народная асвета.