Номер 3.79, страница 166 - гдз по алгебре 9 класс учебник Арефьева, Пирютко

Алгебра, 9 класс Учебник, авторы: Арефьева Ирина Глебовна, Пирютко Ольга Николаевна, издательство Народная асвета, Минск, 2019, голубого цвета

Авторы: Арефьева И. Г., Пирютко О. Н.

Тип: Учебник

Издательство: Народная асвета

Год издания: 2019 - 2026

Цвет обложки: голубой, синий с графиком

ISBN: 978-985-03-3077-2

Допущено Министерством образования Республики Беларусь

Популярные ГДЗ в 9 классе

Глава 3. Дробно-рациональные уравнения и неравенства. Параграф 11. Системы нелинейных уравнений - номер 3.79, страница 166.

№3.79 (с. 166)
Условие. №3.79 (с. 166)
скриншот условия
Алгебра, 9 класс Учебник, авторы: Арефьева Ирина Глебовна, Пирютко Ольга Николаевна, издательство Народная асвета, Минск, 2019, голубого цвета, страница 166, номер 3.79, Условие

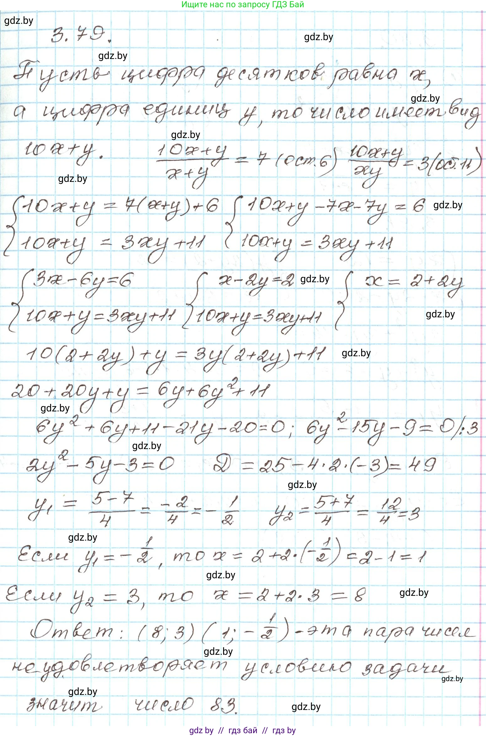
3.79. После деления двузначного числа на сумму его цифр в частном получается 7 и в остатке 6. После деления этого же двузначного числа на произведение его цифр в частном получается 3 и в остатке 11. Найдите это двузначное число.

Решение. №3.79 (с. 166)
Алгебра, 9 класс Учебник, авторы: Арефьева Ирина Глебовна, Пирютко Ольга Николаевна, издательство Народная асвета, Минск, 2019, голубого цвета, страница 166, номер 3.79, Решение
Решение 2. №3.79 (с. 166)

Пусть искомое двузначное число равно $N$. Обозначим цифру в разряде десятков как $a$, а цифру в разряде единиц как $b$. Тогда число можно записать в виде $N = 10a + b$.

По условию, $a$ — это целое число от 1 до 9, а $b$ — целое число от 0 до 9.

1. Анализ первого условия и составление первого уравнения.

Условие: "После деления двузначного числа на сумму его цифр в частном получается 7 и в остатке 6".

Математически это записывается как: $N = 7 \cdot (a+b) + 6$.

Подставим вместо $N$ его алгебраическое представление $10a+b$:

$10a + b = 7(a+b) + 6$

Раскроем скобки и упростим уравнение, чтобы выразить одну переменную через другую:

$10a + b = 7a + 7b + 6$

$10a - 7a = 7b - b + 6$

$3a = 6b + 6$

Разделим обе части уравнения на 3:

$a = 2b + 2$

Важным дополнительным условием является то, что остаток от деления (6) должен быть строго меньше делителя $(a+b)$, то есть: $6 < a+b$.

2. Анализ второго условия и составление второго уравнения.

Условие: "После деления этого же двузначного числа на произведение его цифр в частном получается 3 и в остатке 11".

Математически это записывается как: $N = 3 \cdot (a \cdot b) + 11$.

Подставим $10a+b$:

$10a + b = 3ab + 11$

Здесь также остаток (11) должен быть строго меньше делителя $(a \cdot b)$: $11 < ab$.

3. Решение системы уравнений и нахождение числа.

Мы получили систему из двух уравнений:

$\begin{cases} a = 2b + 2 \\ 10a + b = 3ab + 11 \end{cases}$

Подставим выражение для $a$ из первого уравнения во второе:

$10(2b+2) + b = 3(2b+2)b + 11$

Раскроем скобки:

$20b + 20 + b = 6b^2 + 6b + 11$

Приведем подобные слагаемые и запишем уравнение в стандартном квадратном виде $Ax^2+Bx+C=0$:

$21b + 20 = 6b^2 + 6b + 11$

$6b^2 + 6b - 21b + 11 - 20 = 0$

$6b^2 - 15b - 9 = 0$

Для упрощения вычислений разделим все члены уравнения на 3:

$2b^2 - 5b - 3 = 0$

Решим это квадратное уравнение. Найдем дискриминант $D = B^2 - 4AC$:

$D = (-5)^2 - 4 \cdot 2 \cdot (-3) = 25 + 24 = 49$

Теперь найдем корни уравнения:

$b = \frac{-B \pm \sqrt{D}}{2A} = \frac{5 \pm \sqrt{49}}{2 \cdot 2} = \frac{5 \pm 7}{4}$

У нас есть два возможных значения для $b$:

$b_1 = \frac{5+7}{4} = \frac{12}{4} = 3$

$b_2 = \frac{5-7}{4} = \frac{-2}{4} = -0.5$

Поскольку $b$ — это цифра, она должна быть целым неотрицательным числом. Следовательно, единственное подходящее значение — это $b=3$.

Теперь найдем $a$, подставив $b=3$ в первое уравнение $a = 2b+2$:

$a = 2 \cdot 3 + 2 = 6 + 2 = 8$

Таким образом, мы нашли цифры: $a=8$ и $b=3$. Искомое двузначное число $N = 10 \cdot 8 + 3 = 83$.

4. Проверка.

Проверим, удовлетворяет ли найденное число 83 обоим условиям:

  • Деление на сумму цифр ($8+3=11$): $83 \div 11 = 7$ с остатком $6$. ($7 \cdot 11 + 6 = 77 + 6 = 83$). Условие $6<11$ выполнено. Верно.
  • Деление на произведение цифр ($8 \times 3=24$): $83 \div 24 = 3$ с остатком $11$. ($3 \cdot 24 + 11 = 72 + 11 = 83$). Условие $11<24$ выполнено. Верно.

Оба условия выполняются.

Ответ: 83.

Помогло решение? Оставьте отзыв в комментариях ниже.

Присоединяйтесь к Телеграм-группе @gdz_by_belarus

Присоединиться

Мы подготовили для вас ответ c подробным объяснением домашего задания по алгебре за 9 класс, для упражнения номер 3.79 расположенного на странице 166 к учебнику 2019 года издания для учащихся школ и гимназий.

Теперь на нашем сайте ГДЗ.ТОП вы всегда легко и бесплатно найдёте условие с правильным ответом на вопрос «Как решить ДЗ» и «Как сделать» задание по алгебре к упражнению №3.79 (с. 166), авторов: Арефьева (Ирина Глебовна), Пирютко (Ольга Николаевна), учебного пособия издательства Народная асвета.