Номер 4.245, страница 251 - гдз по алгебре 9 класс учебник Арефьева, Пирютко

Алгебра, 9 класс Учебник, авторы: Арефьева Ирина Глебовна, Пирютко Ольга Николаевна, издательство Народная асвета, Минск, 2019, голубого цвета

Авторы: Арефьева И. Г., Пирютко О. Н.

Тип: Учебник

Издательство: Народная асвета

Год издания: 2019 - 2026

Цвет обложки: голубой, синий с графиком

ISBN: 978-985-03-3077-2

Допущено Министерством образования Республики Беларусь

Популярные ГДЗ в 9 классе

Глава 4. Прогрессии. Параграф 18. Формула суммы n первых членов геометрической прогрессии - номер 4.245, страница 251.

№4.245 (с. 251)
Условие. №4.245 (с. 251)
скриншот условия
Алгебра, 9 класс Учебник, авторы: Арефьева Ирина Глебовна, Пирютко Ольга Николаевна, издательство Народная асвета, Минск, 2019, голубого цвета, страница 251, номер 4.245, Условие

4.245. В геометрической прогрессии ($b_n$) найдите $S_6$, если известно, что:

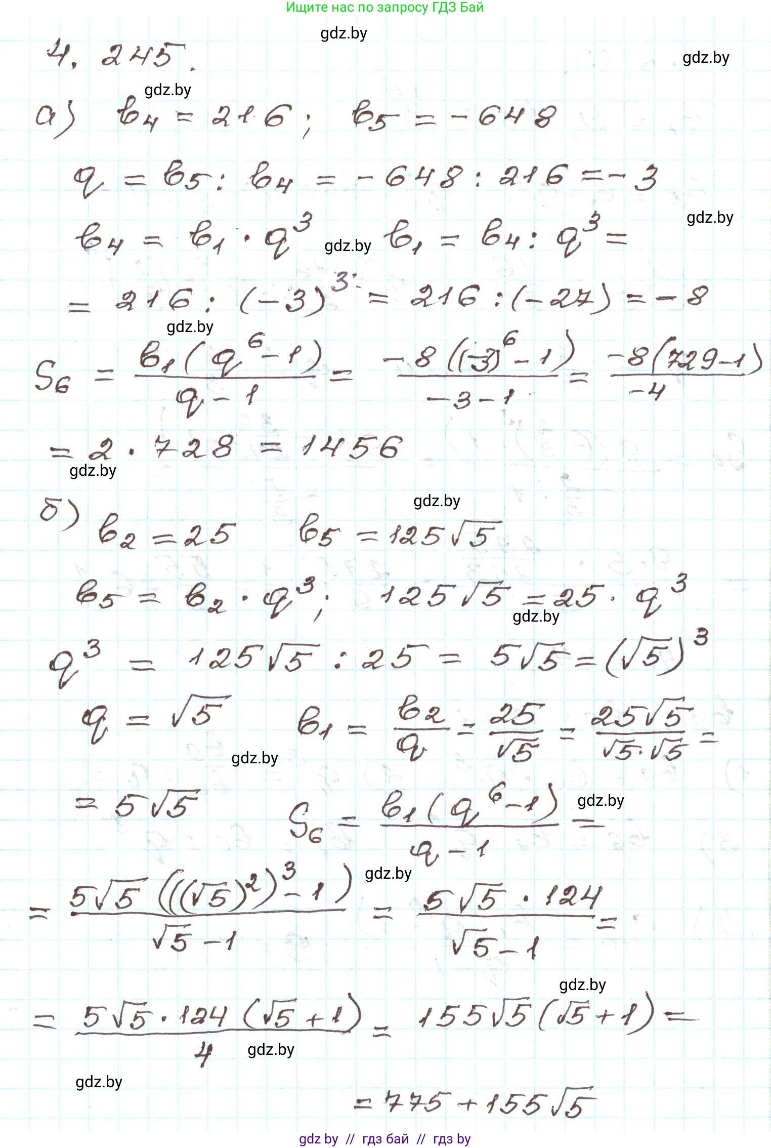
а) $b_4 = 216; b_5 = -648;$

б) $b_2 = 25; b_5 = 125\sqrt{5};$

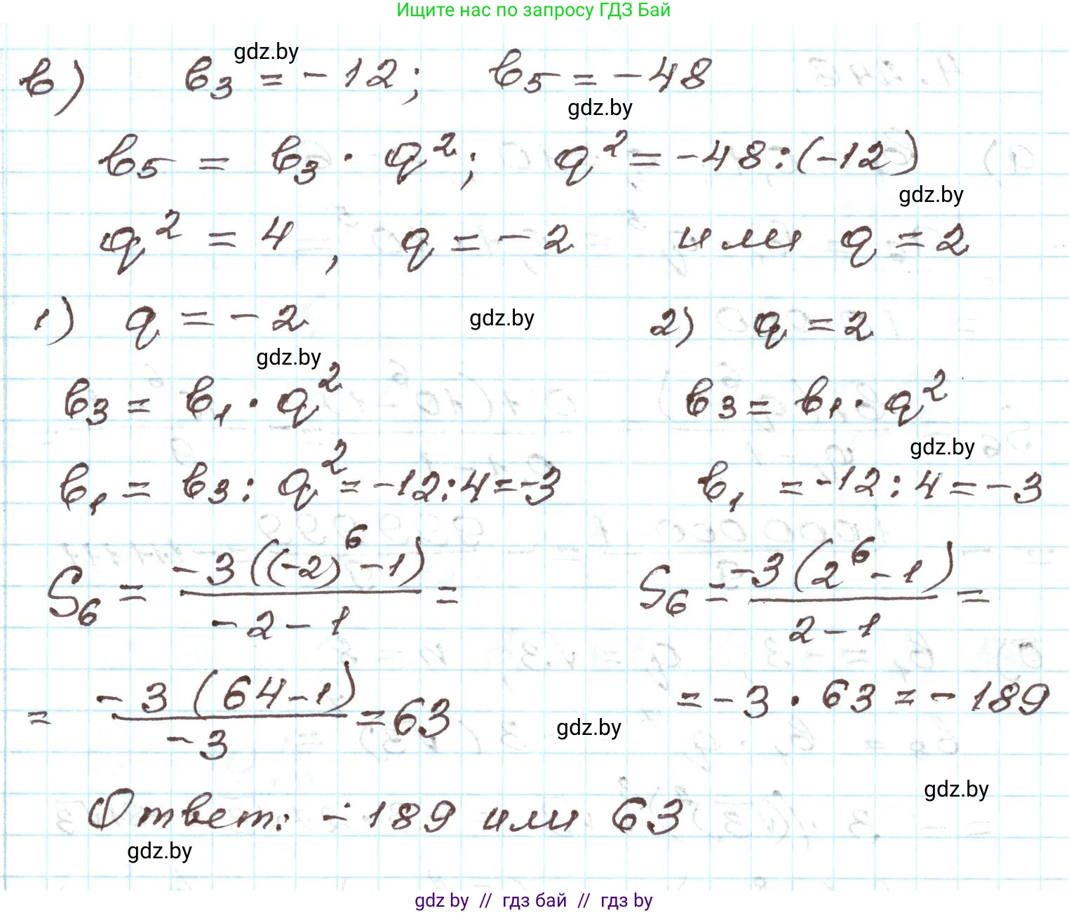
в) $b_3 = -12; b_5 = -48.$

Решение. №4.245 (с. 251)
Алгебра, 9 класс Учебник, авторы: Арефьева Ирина Глебовна, Пирютко Ольга Николаевна, издательство Народная асвета, Минск, 2019, голубого цвета, страница 251, номер 4.245, Решение Алгебра, 9 класс Учебник, авторы: Арефьева Ирина Глебовна, Пирютко Ольга Николаевна, издательство Народная асвета, Минск, 2019, голубого цвета, страница 251, номер 4.245, Решение (продолжение 2)
Решение 2. №4.245 (с. 251)

Для решения задачи воспользуемся формулой n-го члена геометрической прогрессии $b_n = b_1 \cdot q^{n-1}$ и формулой суммы первых n членов геометрической прогрессии $S_n = \frac{b_1(q^n - 1)}{q - 1}$, где $b_1$ — первый член прогрессии, а $q$ — её знаменатель.

а) Дано: $b_4 = 216; b_5 = -648$.

1. Найдем знаменатель прогрессии $q$, разделив пятый член на четвертый:
$q = \frac{b_5}{b_4} = \frac{-648}{216} = -3$.

2. Найдем первый член прогрессии $b_1$, используя формулу $b_4 = b_1 \cdot q^3$:
$216 = b_1 \cdot (-3)^3$
$216 = b_1 \cdot (-27)$
$b_1 = \frac{216}{-27} = -8$.

3. Теперь найдем сумму первых шести членов прогрессии $S_6$, подставив найденные значения $b_1$ и $q$ в формулу суммы:
$S_6 = \frac{b_1(q^6 - 1)}{q - 1} = \frac{-8((-3)^6 - 1)}{-3 - 1} = \frac{-8(729 - 1)}{-4} = 2 \cdot 728 = 1456$.

Ответ: 1456.

б) Дано: $b_2 = 25; b_5 = 125\sqrt{5}$.

1. Найдем знаменатель прогрессии $q$. Известно, что $b_5 = b_2 \cdot q^3$:
$125\sqrt{5} = 25 \cdot q^3$
$q^3 = \frac{125\sqrt{5}}{25} = 5\sqrt{5}$.
Так как $5\sqrt{5} = 5^1 \cdot 5^{1/2} = 5^{3/2} = (\sqrt{5})^3$, то $q = \sqrt{5}$.

2. Найдем первый член прогрессии $b_1$, используя формулу $b_2 = b_1 \cdot q$:
$25 = b_1 \cdot \sqrt{5}$
$b_1 = \frac{25}{\sqrt{5}} = \frac{25\sqrt{5}}{\sqrt{5} \cdot \sqrt{5}} = \frac{25\sqrt{5}}{5} = 5\sqrt{5}$.

3. Теперь найдем сумму первых шести членов прогрессии $S_6$:
$q^6 = (\sqrt{5})^6 = ((\sqrt{5})^2)^3 = 5^3 = 125$.
$S_6 = \frac{b_1(q^6 - 1)}{q - 1} = \frac{5\sqrt{5}(125 - 1)}{\sqrt{5} - 1} = \frac{5\sqrt{5} \cdot 124}{\sqrt{5} - 1} = \frac{620\sqrt{5}}{\sqrt{5} - 1}$.

Чтобы избавиться от иррациональности в знаменателе, умножим числитель и знаменатель на сопряженное выражение $(\sqrt{5} + 1)$:
$S_6 = \frac{620\sqrt{5}(\sqrt{5} + 1)}{(\sqrt{5} - 1)(\sqrt{5} + 1)} = \frac{620\sqrt{5} \cdot \sqrt{5} + 620\sqrt{5} \cdot 1}{(\sqrt{5})^2 - 1^2} = \frac{620 \cdot 5 + 620\sqrt{5}}{5 - 1} = \frac{3100 + 620\sqrt{5}}{4} = 775 + 155\sqrt{5}$.

Ответ: $775 + 155\sqrt{5}$.

в) Дано: $b_3 = -12; b_5 = -48$.

1. Найдем знаменатель прогрессии $q$. Известно, что $b_5 = b_3 \cdot q^2$:
$-48 = -12 \cdot q^2$
$q^2 = \frac{-48}{-12} = 4$.
Отсюда получаем два возможных значения для знаменателя: $q = 2$ или $q = -2$. Следовательно, задача имеет два решения.

2. Найдем первый член прогрессии $b_1$, используя формулу $b_3 = b_1 \cdot q^2$:
$-12 = b_1 \cdot 4$
$b_1 = \frac{-12}{4} = -3$.
Обратите внимание, что $b_1$ одинаков для обоих значений $q$, так как зависит от $q^2$.

3. Теперь найдем сумму $S_6$ для каждого возможного значения $q$:

Случай 1: $q = 2$
$S_6 = \frac{b_1(q^6 - 1)}{q - 1} = \frac{-3(2^6 - 1)}{2 - 1} = \frac{-3(64 - 1)}{1} = -3 \cdot 63 = -189$.

Случай 2: $q = -2$
$S_6 = \frac{b_1(q^6 - 1)}{q - 1} = \frac{-3((-2)^6 - 1)}{-2 - 1} = \frac{-3(64 - 1)}{-3} = 63$.

Ответ: -189 или 63.

Помогло решение? Оставьте отзыв в комментариях ниже.

Присоединяйтесь к Телеграм-группе @gdz_by_belarus

Присоединиться

Мы подготовили для вас ответ c подробным объяснением домашего задания по алгебре за 9 класс, для упражнения номер 4.245 расположенного на странице 251 к учебнику 2019 года издания для учащихся школ и гимназий.

Теперь на нашем сайте ГДЗ.ТОП вы всегда легко и бесплатно найдёте условие с правильным ответом на вопрос «Как решить ДЗ» и «Как сделать» задание по алгебре к упражнению №4.245 (с. 251), авторов: Арефьева (Ирина Глебовна), Пирютко (Ольга Николаевна), учебного пособия издательства Народная асвета.