Номер 4.247, страница 251 - гдз по алгебре 9 класс учебник Арефьева, Пирютко

Алгебра, 9 класс Учебник, авторы: Арефьева Ирина Глебовна, Пирютко Ольга Николаевна, издательство Народная асвета, Минск, 2019, голубого цвета

Авторы: Арефьева И. Г., Пирютко О. Н.

Тип: Учебник

Издательство: Народная асвета

Год издания: 2019 - 2026

Цвет обложки: голубой, синий с графиком

ISBN: 978-985-03-3077-2

Допущено Министерством образования Республики Беларусь

Популярные ГДЗ в 9 классе

Глава 4. Прогрессии. Параграф 18. Формула суммы n первых членов геометрической прогрессии - номер 4.247, страница 251.

№4.247 (с. 251)
Условие. №4.247 (с. 251)
скриншот условия
Алгебра, 9 класс Учебник, авторы: Арефьева Ирина Глебовна, Пирютко Ольга Николаевна, издательство Народная асвета, Минск, 2019, голубого цвета, страница 251, номер 4.247, Условие

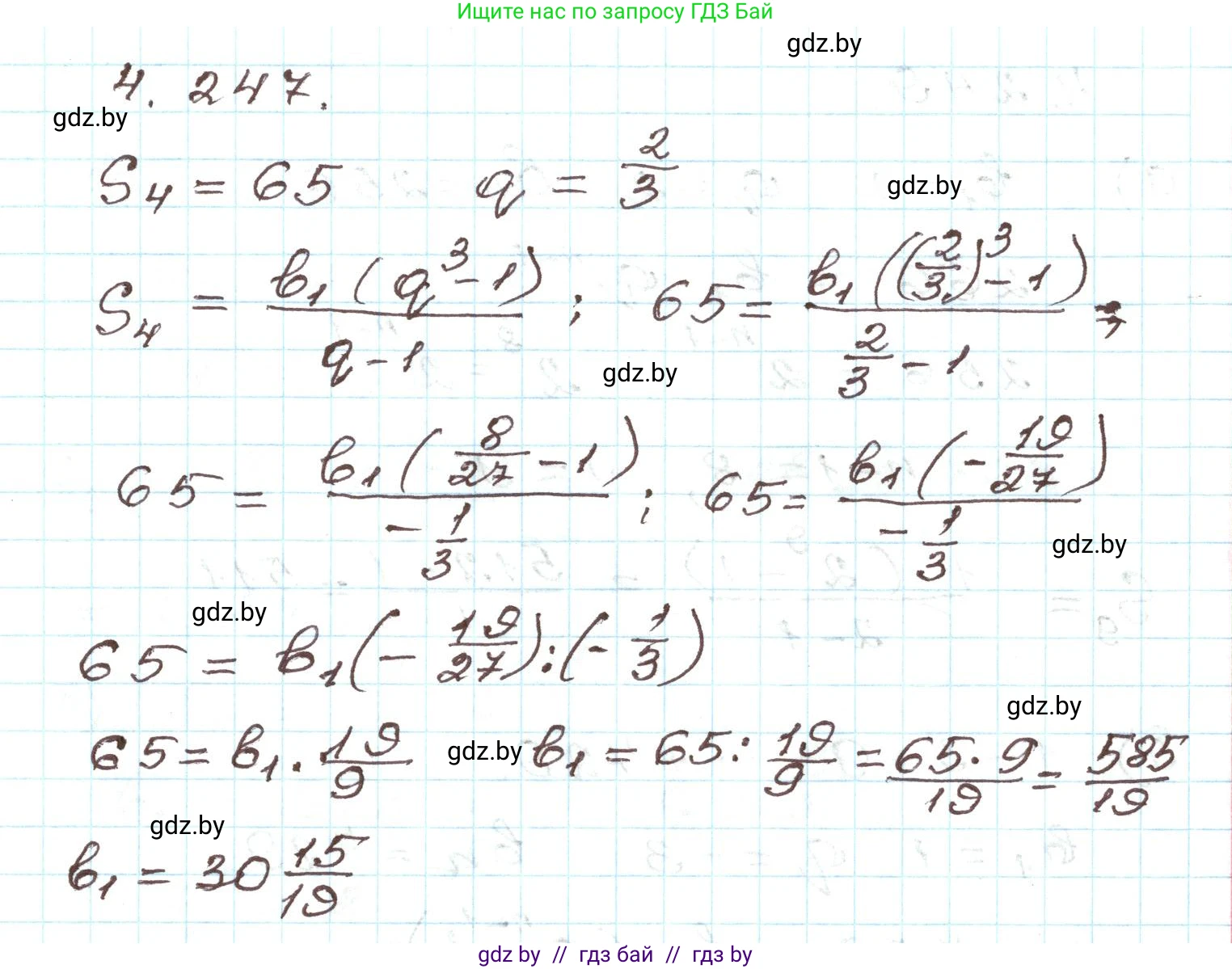
4.247. Сумма четырех первых членов геометрической прогрессии равна 65. Найдите первый член прогрессии, если ее знаменатель равен $\frac{2}{3}$.

Решение. №4.247 (с. 251)
Алгебра, 9 класс Учебник, авторы: Арефьева Ирина Глебовна, Пирютко Ольга Николаевна, издательство Народная асвета, Минск, 2019, голубого цвета, страница 251, номер 4.247, Решение
Решение 2. №4.247 (с. 251)

Для решения задачи воспользуемся формулой суммы первых $n$ членов геометрической прогрессии:

$S_n = \frac{b_1(1 - q^n)}{1 - q}$

где $S_n$ — сумма первых $n$ членов, $b_1$ — первый член прогрессии, $q$ — знаменатель прогрессии.

По условию задачи нам известны:

  • Сумма первых четырех членов $S_4 = 65$
  • Количество членов $n = 4$
  • Знаменатель прогрессии $q = \frac{2}{3}$

Необходимо найти первый член прогрессии $b_1$.

4.247.

Подставим известные значения в формулу суммы:

$65 = \frac{b_1(1 - (\frac{2}{3})^4)}{1 - \frac{2}{3}}$

Сначала вычислим знаменатель дроби в правой части уравнения:

$1 - \frac{2}{3} = \frac{3}{3} - \frac{2}{3} = \frac{1}{3}$

Теперь вычислим выражение в скобках в числителе:

$1 - (\frac{2}{3})^4 = 1 - \frac{2^4}{3^4} = 1 - \frac{16}{81} = \frac{81}{81} - \frac{16}{81} = \frac{65}{81}$

Подставим полученные значения обратно в уравнение:

$65 = \frac{b_1 \cdot \frac{65}{81}}{\frac{1}{3}}$

Упростим правую часть. Деление на дробь равносильно умножению на обратную ей дробь:

$65 = b_1 \cdot \frac{65}{81} \cdot 3$

Сократим 3 и 81 в знаменателе:

$65 = b_1 \cdot \frac{65}{27}$

Чтобы найти $b_1$, разделим обе части уравнения на $\frac{65}{27}$:

$b_1 = 65 \div \frac{65}{27} = 65 \cdot \frac{27}{65}$

Сократим 65 в числителе и знаменателе, чтобы получить окончательный результат:

$b_1 = 27$

Ответ: 27.

Помогло решение? Оставьте отзыв в комментариях ниже.

Присоединяйтесь к Телеграм-группе @gdz_by_belarus

Присоединиться

Мы подготовили для вас ответ c подробным объяснением домашего задания по алгебре за 9 класс, для упражнения номер 4.247 расположенного на странице 251 к учебнику 2019 года издания для учащихся школ и гимназий.

Теперь на нашем сайте ГДЗ.ТОП вы всегда легко и бесплатно найдёте условие с правильным ответом на вопрос «Как решить ДЗ» и «Как сделать» задание по алгебре к упражнению №4.247 (с. 251), авторов: Арефьева (Ирина Глебовна), Пирютко (Ольга Николаевна), учебного пособия издательства Народная асвета.