Номер 4.246, страница 251 - гдз по алгебре 9 класс учебник Арефьева, Пирютко

Алгебра, 9 класс Учебник, авторы: Арефьева Ирина Глебовна, Пирютко Ольга Николаевна, издательство Народная асвета, Минск, 2019, голубого цвета

Авторы: Арефьева И. Г., Пирютко О. Н.

Тип: Учебник

Издательство: Народная асвета

Год издания: 2019 - 2026

Цвет обложки: голубой, синий с графиком

ISBN: 978-985-03-3077-2

Допущено Министерством образования Республики Беларусь

Глава 4. Прогрессии. Параграф 18. Формула суммы n первых членов геометрической прогрессии - номер 4.246, страница 251.

№4.246 (с. 251)
Условие. №4.246 (с. 251)
скриншот условия
Алгебра, 9 класс Учебник, авторы: Арефьева Ирина Глебовна, Пирютко Ольга Николаевна, издательство Народная асвета, Минск, 2019, голубого цвета, страница 251, номер 4.246, Условие

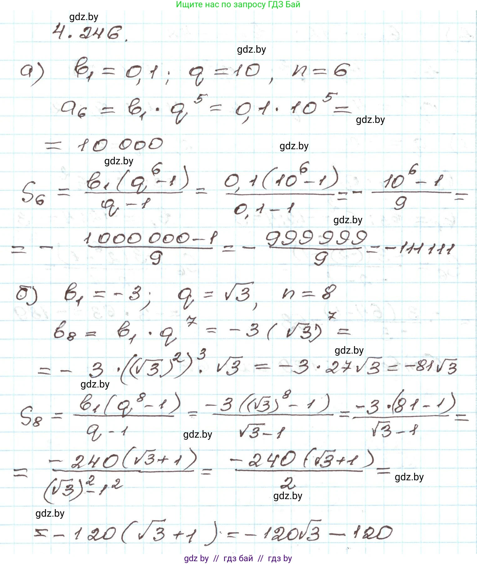
4.246. Найдите $b_n$ и $S_n$ для геометрической прогрессии, у которой:

a) $b_1 = 0,1$; $q = 10$; $n = 6$;

б) $b_1 = -3$; $q = \sqrt{3}$; $n = 8$.

Решение. №4.246 (с. 251)
Алгебра, 9 класс Учебник, авторы: Арефьева Ирина Глебовна, Пирютко Ольга Николаевна, издательство Народная асвета, Минск, 2019, голубого цвета, страница 251, номер 4.246, Решение
Решение 2. №4.246 (с. 251)

Для решения данной задачи воспользуемся формулами для n-го члена и суммы первых n членов геометрической прогрессии.

Формула n-го члена геометрической прогрессии: $b_n = b_1 \cdot q^{n-1}$

Формула суммы первых n членов геометрической прогрессии: $S_n = \frac{b_1(q^n - 1)}{q - 1}$

а) Дано: $b_1 = 0,1$; $q = 10$; $n = 6$.

1. Найдем $b_6$:

$b_6 = b_1 \cdot q^{6-1} = 0,1 \cdot 10^5 = 0,1 \cdot 100000 = 10000$.

2. Найдем $S_6$:

$S_6 = \frac{b_1(q^6 - 1)}{q - 1} = \frac{0,1(10^6 - 1)}{10 - 1} = \frac{0,1(1000000 - 1)}{9} = \frac{0,1 \cdot 999999}{9} = \frac{99999,9}{9} = 11111,1$.

Представим десятичную дробь в виде смешанного числа, чтобы выделить целую часть, как того требует условие:

$11111,1 = 11111\frac{1}{10}$.

Ответ: $b_6 = 10000$; $S_6 = \mathbf{11111}\frac{1}{10}$.

б) Дано: $b_1 = -3$; $q = \sqrt{3}$; $n = 8$.

1. Найдем $b_8$:

$b_8 = b_1 \cdot q^{8-1} = -3 \cdot (\sqrt{3})^7$.

Упростим выражение $(\sqrt{3})^7$:

$(\sqrt{3})^7 = (\sqrt{3})^6 \cdot \sqrt{3} = ((\sqrt{3})^2)^3 \cdot \sqrt{3} = 3^3 \cdot \sqrt{3} = 27\sqrt{3}$.

Следовательно:

$b_8 = -3 \cdot 27\sqrt{3} = -81\sqrt{3}$.

2. Найдем $S_8$:

$S_8 = \frac{b_1(q^8 - 1)}{q - 1} = \frac{-3((\sqrt{3})^8 - 1)}{\sqrt{3} - 1}$.

Упростим выражение $(\sqrt{3})^8$:

$(\sqrt{3})^8 = ((\sqrt{3})^2)^4 = 3^4 = 81$.

Подставим значение в формулу суммы:

$S_8 = \frac{-3(81 - 1)}{\sqrt{3} - 1} = \frac{-3 \cdot 80}{\sqrt{3} - 1} = \frac{-240}{\sqrt{3} - 1}$.

Избавимся от иррациональности в знаменателе, умножив числитель и знаменатель на сопряженное выражение $(\sqrt{3} + 1)$:

$S_8 = \frac{-240(\sqrt{3} + 1)}{(\sqrt{3} - 1)(\sqrt{3} + 1)} = \frac{-240(\sqrt{3} + 1)}{(\sqrt{3})^2 - 1^2} = \frac{-240(\sqrt{3} + 1)}{3 - 1} = \frac{-240(\sqrt{3} + 1)}{2} = -120(\sqrt{3} + 1)$.

Результат не является неправильной дробью, поэтому выделение целой части в данном случае не производится.

Ответ: $b_8 = -81\sqrt{3}$; $S_8 = -120(\sqrt{3} + 1)$.

Помогло решение? Оставьте отзыв в комментариях ниже.

Присоединяйтесь к Телеграм-группе @gdz_by_belarus

Присоединиться

Мы подготовили для вас ответ c подробным объяснением домашего задания по алгебре за 9 класс, для упражнения номер 4.246 расположенного на странице 251 к учебнику 2019 года издания для учащихся школ и гимназий.

Теперь на нашем сайте ГДЗ.ТОП вы всегда легко и бесплатно найдёте условие с правильным ответом на вопрос «Как решить ДЗ» и «Как сделать» задание по алгебре к упражнению №4.246 (с. 251), авторов: Арефьева (Ирина Глебовна), Пирютко (Ольга Николаевна), учебного пособия издательства Народная асвета.