Номер 4.289, страница 260 - гдз по алгебре 9 класс учебник Арефьева, Пирютко

Алгебра, 9 класс Учебник, авторы: Арефьева Ирина Глебовна, Пирютко Ольга Николаевна, издательство Народная асвета, Минск, 2019, голубого цвета

Авторы: Арефьева И. Г., Пирютко О. Н.

Тип: Учебник

Издательство: Народная асвета

Год издания: 2019 - 2026

Цвет обложки: голубой, синий с графиком

ISBN: 978-985-03-3077-2

Допущено Министерством образования Республики Беларусь

Популярные ГДЗ в 9 классе

Глава 4. Прогрессии. Параграф 19. Сумма бесконечно убывающей геометрической прогрессии - номер 4.289, страница 260.

№4.289 (с. 260)
Условие. №4.289 (с. 260)
скриншот условия
Алгебра, 9 класс Учебник, авторы: Арефьева Ирина Глебовна, Пирютко Ольга Николаевна, издательство Народная асвета, Минск, 2019, голубого цвета, страница 260, номер 4.289, Условие

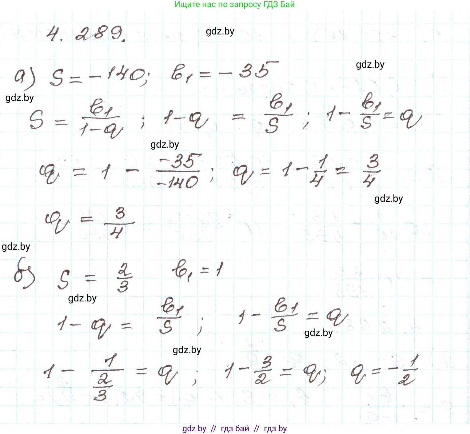
4.289. Найдите знаменатель бесконечно убывающей геометрической прогрессии, если:

a) $S = -140, b_1 = -35$;

б) $S = \frac{2}{3}, b_1 = 1$.

Решение. №4.289 (с. 260)
Алгебра, 9 класс Учебник, авторы: Арефьева Ирина Глебовна, Пирютко Ольга Николаевна, издательство Народная асвета, Минск, 2019, голубого цвета, страница 260, номер 4.289, Решение
Решение 2. №4.289 (с. 260)

Для нахождения знаменателя $q$ бесконечно убывающей геометрической прогрессии используется формула её суммы:

$$ S = \frac{b_1}{1 - q} $$

Здесь $S$ — это сумма прогрессии, $b_1$ — её первый член, а $q$ — знаменатель, для которого выполняется условие $|q| < 1$.

Чтобы найти $q$, выразим его из этой формулы:

$$ 1 - q = \frac{b_1}{S} $$

$$ q = 1 - \frac{b_1}{S} $$

Теперь применим эту формулу для решения каждого из подпунктов.

а) Даны значения: $S = -140$ и $b_1 = -35$.

Подставим их в выведенную формулу для $q$:

$$ q = 1 - \frac{-35}{-140} = 1 - \frac{35}{140} $$

Сократим дробь $\frac{35}{140}$ на 35, получим $\frac{1}{4}$:

$$ q = 1 - \frac{1}{4} = \frac{4}{4} - \frac{1}{4} = \frac{3}{4} $$

Проверим, выполняется ли условие $|q| < 1$: $|\frac{3}{4}| < 1$, что является верным. Полученная дробь $\frac{3}{4}$ является правильной, поэтому выделение целой части не требуется. Ответ: $\frac{3}{4}$.

б) Даны значения: $S = \frac{2}{3}$ и $b_1 = 1$.

Подставим их в формулу для $q$:

$$ q = 1 - \frac{1}{\frac{2}{3}} $$

При делении на дробь, мы умножаем на перевернутую дробь:

$$ q = 1 - 1 \cdot \frac{3}{2} = 1 - \frac{3}{2} $$

$$ q = \frac{2}{2} - \frac{3}{2} = -\frac{1}{2} $$

Проверим, выполняется ли условие $|q| < 1$: $|-\frac{1}{2}| < 1$, что является верным. Полученная дробь $-\frac{1}{2}$ является правильной, поэтому выделение целой части не требуется. Ответ: $-\frac{1}{2}$.

Помогло решение? Оставьте отзыв в комментариях ниже.

Присоединяйтесь к Телеграм-группе @gdz_by_belarus

Присоединиться

Мы подготовили для вас ответ c подробным объяснением домашего задания по алгебре за 9 класс, для упражнения номер 4.289 расположенного на странице 260 к учебнику 2019 года издания для учащихся школ и гимназий.

Теперь на нашем сайте ГДЗ.ТОП вы всегда легко и бесплатно найдёте условие с правильным ответом на вопрос «Как решить ДЗ» и «Как сделать» задание по алгебре к упражнению №4.289 (с. 260), авторов: Арефьева (Ирина Глебовна), Пирютко (Ольга Николаевна), учебного пособия издательства Народная асвета.