Номер 4.293, страница 260 - гдз по алгебре 9 класс учебник Арефьева, Пирютко

Алгебра, 9 класс Учебник, авторы: Арефьева Ирина Глебовна, Пирютко Ольга Николаевна, издательство Народная асвета, Минск, 2019, голубого цвета

Авторы: Арефьева И. Г., Пирютко О. Н.

Тип: Учебник

Издательство: Народная асвета

Год издания: 2019 - 2026

Цвет обложки: голубой, синий с графиком

ISBN: 978-985-03-3077-2

Допущено Министерством образования Республики Беларусь

Популярные ГДЗ в 9 классе

Глава 4. Прогрессии. Параграф 19. Сумма бесконечно убывающей геометрической прогрессии - номер 4.293, страница 260.

№4.293 (с. 260)
Условие. №4.293 (с. 260)
скриншот условия
Алгебра, 9 класс Учебник, авторы: Арефьева Ирина Глебовна, Пирютко Ольга Николаевна, издательство Народная асвета, Минск, 2019, голубого цвета, страница 260, номер 4.293, Условие

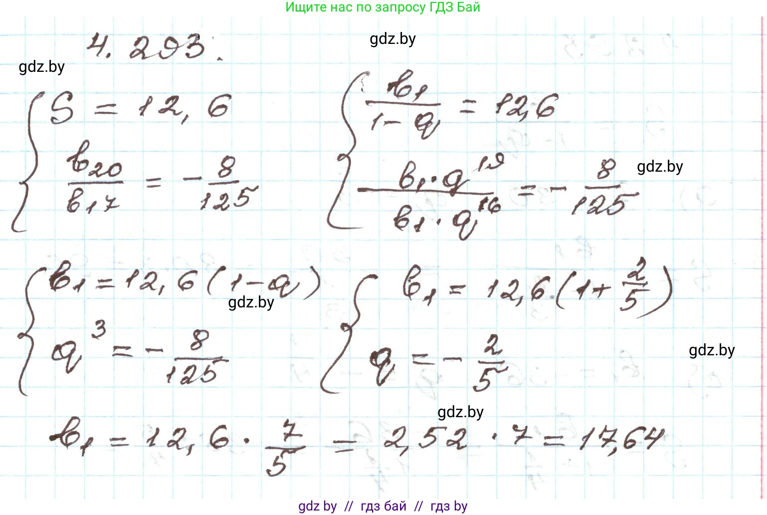
4.293*. Найдите первый член бесконечно убывающей геометрической прогрессии, зная, что сумма членов этой прогрессии равна 12,6, а отношение 20-го члена к 17-му равно $ \frac{8}{125} $.

Решение. №4.293 (с. 260)
Алгебра, 9 класс Учебник, авторы: Арефьева Ирина Глебовна, Пирютко Ольга Николаевна, издательство Народная асвета, Минск, 2019, голубого цвета, страница 260, номер 4.293, Решение
Решение 2. №4.293 (с. 260)

Обозначим первый член бесконечно убывающей геометрической прогрессии как $b_1$, а ее знаменатель как $q$. По условию, прогрессия является бесконечно убывающей, следовательно, $|q| < 1$.

Сумма членов $S$ этой прогрессии вычисляется по формуле:

$S = \frac{b_1}{1 - q}$

Из условия задачи нам известно, что $S = 12,6$. Представим это число в виде неправильной дроби:

$12,6 = 12 \frac{6}{10} = 12 \frac{3}{5} = \frac{12 \cdot 5 + 3}{5} = \frac{63}{5}$

Таким образом, мы имеем первое уравнение:

$\frac{b_1}{1 - q} = \frac{63}{5}$ (1)

Формула n-го члена геометрической прогрессии имеет вид:

$b_n = b_1 \cdot q^{n-1}$

Используя эту формулу, найдем 20-й и 17-й члены прогрессии:

$b_{20} = b_1 \cdot q^{20-1} = b_1 \cdot q^{19}$

$b_{17} = b_1 \cdot q^{17-1} = b_1 \cdot q^{16}$

По условию, отношение 20-го члена к 17-му равно $-\frac{8}{125}$. Составим второе уравнение:

$\frac{b_{20}}{b_{17}} = \frac{b_1 \cdot q^{19}}{b_1 \cdot q^{16}} = -\frac{8}{125}$

Сократив $b_1$ (так как $b_1 \neq 0$, иначе сумма была бы равна нулю), получим:

$q^{19-16} = q^3 = -\frac{8}{125}$

Найдем знаменатель прогрессии $q$, извлекая кубический корень:

$q = \sqrt[3]{-\frac{8}{125}} = -\frac{\sqrt[3]{8}}{\sqrt[3]{125}} = -\frac{2}{5}$

Проверим условие для бесконечно убывающей прогрессии: $|q| = |-\frac{2}{5}| = \frac{2}{5} < 1$. Условие выполняется.

Теперь, когда мы нашли $q$, подставим его значение в уравнение (1), чтобы найти первый член $b_1$:

$\frac{b_1}{1 - (-\frac{2}{5})} = \frac{63}{5}$

$\frac{b_1}{1 + \frac{2}{5}} = \frac{63}{5}$

$\frac{b_1}{\frac{5}{5} + \frac{2}{5}} = \frac{63}{5}$

$\frac{b_1}{\frac{7}{5}} = \frac{63}{5}$

Выразим $b_1$:

$b_1 = \frac{63}{5} \cdot \frac{7}{5} = \frac{441}{25}$

Для представления ответа в требуемом формате, выделим целую часть из неправильной дроби $\frac{441}{25}$:

$441 \div 25 = 17$ (остаток $441 - 17 \cdot 25 = 441 - 425 = 16$)

Следовательно, $\frac{441}{25} = 17\frac{16}{25}$.

Ответ: 17$\frac{16}{25}$

Помогло решение? Оставьте отзыв в комментариях ниже.

Присоединяйтесь к Телеграм-группе @gdz_by_belarus

Присоединиться

Мы подготовили для вас ответ c подробным объяснением домашего задания по алгебре за 9 класс, для упражнения номер 4.293 расположенного на странице 260 к учебнику 2019 года издания для учащихся школ и гимназий.

Теперь на нашем сайте ГДЗ.ТОП вы всегда легко и бесплатно найдёте условие с правильным ответом на вопрос «Как решить ДЗ» и «Как сделать» задание по алгебре к упражнению №4.293 (с. 260), авторов: Арефьева (Ирина Глебовна), Пирютко (Ольга Николаевна), учебного пособия издательства Народная асвета.