Номер 13.22, страница 75 - гдз по алгебре 10 класс сборник задач Арефьева, Пирютко

Алгебра, 10 класс Сборник задач, авторы: Арефьева Ирина Глебовна, Пирютко Ольга Николаевна, издательство Народная асвета, Минск, 2020, белого цвета

Авторы: Арефьева И. Г., Пирютко О. Н.

Тип: Сборник задач

Издательство: Народная асвета

Год издания: 2020 - 2026

Уровень обучения: базовый и повышенный

Цвет обложки: белый, голубой с графиком

Допущено Министерством образования Республики Беларусь

Популярные ГДЗ в 10 классе

Глава 3. Тригонометрия. Параграф 13. Тригонометрические уравнения. Тригонометрические неравенства - номер 13.22, страница 75.

№13.22 (с. 75)
Условие. №13.22 (с. 75)
скриншот условия
Алгебра, 10 класс Сборник задач, авторы: Арефьева Ирина Глебовна, Пирютко Ольга Николаевна, издательство Народная асвета, Минск, 2020, белого цвета, страница 75, номер 13.22, Условие

13.22. Решите уравнение:

a) $\cos x - |\sin x| = 0;$

б) $|\cos x| - \sqrt{3} \sin x = 0;$

в) $\sqrt{3}\operatorname{ctg} x = \frac{|\sin x|}{\sin x};$

г) $4|\cos x| + 3 = 4\sin^2 x.$

Решение. №13.22 (с. 75)
Алгебра, 10 класс Сборник задач, авторы: Арефьева Ирина Глебовна, Пирютко Ольга Николаевна, издательство Народная асвета, Минск, 2020, белого цвета, страница 75, номер 13.22, Решение Алгебра, 10 класс Сборник задач, авторы: Арефьева Ирина Глебовна, Пирютко Ольга Николаевна, издательство Народная асвета, Минск, 2020, белого цвета, страница 75, номер 13.22, Решение (продолжение 2)
Решение 2. №13.22 (с. 75)

а)

Исходное уравнение: $ \cos x - |\sin x| = 0 $, или $ \cos x = |\sin x| $.

Для решения этого уравнения необходимо рассмотреть два случая, в зависимости от знака $ \sin x $.

1. Пусть $ \sin x \ge 0 $. Это соответствует углам в I и II координатных четвертях ($ x \in [2\pi k, \pi + 2\pi k], k \in \mathbb{Z} $). В этом случае $ |\sin x| = \sin x $, и уравнение принимает вид:

$ \cos x = \sin x $

Если $ \cos x = 0 $, то и $ \sin x = 0 $, что невозможно, так как $ \sin^2 x + \cos^2 x = 1 $. Поэтому можно разделить обе части уравнения на $ \cos x \ne 0 $:

$ \tan x = 1 $

Решением этого уравнения является серия корней $ x = \frac{\pi}{4} + \pi n, n \in \mathbb{Z} $.

Выберем из этой серии те корни, которые удовлетворяют условию $ \sin x \ge 0 $.

При $ x = \frac{\pi}{4} $, $ \sin(\frac{\pi}{4}) = \frac{\sqrt{2}}{2} > 0 $. Этот корень подходит.

При $ x = \frac{\pi}{4} + \pi = \frac{5\pi}{4} $, $ \sin(\frac{5\pi}{4}) = -\frac{\sqrt{2}}{2} < 0 $. Этот корень не подходит.

Таким образом, подходят только корни вида $ x = \frac{\pi}{4} + 2\pi k, k \in \mathbb{Z} $.

2. Пусть $ \sin x < 0 $. Это соответствует углам в III и IV координатных четвертях ($ x \in (\pi + 2\pi k, 2\pi + 2\pi k), k \in \mathbb{Z} $). В этом случае $ |\sin x| = -\sin x $, и уравнение принимает вид:

$ \cos x = -\sin x $

Разделив на $ \cos x \ne 0 $, получаем:

$ \tan x = -1 $

Решением этого уравнения является серия корней $ x = -\frac{\pi}{4} + \pi n, n \in \mathbb{Z} $.

Выберем из этой серии те корни, которые удовлетворяют условию $ \sin x < 0 $.

При $ x = -\frac{\pi}{4} $, $ \sin(-\frac{\pi}{4}) = -\frac{\sqrt{2}}{2} < 0 $. Этот корень подходит.

При $ x = -\frac{\pi}{4} + \pi = \frac{3\pi}{4} $, $ \sin(\frac{3\pi}{4}) = \frac{\sqrt{2}}{2} > 0 $. Этот корень не подходит.

Таким образом, подходят только корни вида $ x = -\frac{\pi}{4} + 2\pi k, k \in \mathbb{Z} $.

Объединяя решения из обоих случаев, получаем: $ x = \frac{\pi}{4} + 2\pi k $ и $ x = -\frac{\pi}{4} + 2\pi k $.

Ответ: $ x = \pm \frac{\pi}{4} + 2\pi k, k \in \mathbb{Z} $.

б)

Исходное уравнение: $ |\cos x| - \sqrt{3}\sin x = 0 $, или $ |\cos x| = \sqrt{3}\sin x $.

Так как левая часть уравнения $ |\cos x| \ge 0 $, то и правая часть должна быть неотрицательной: $ \sqrt{3}\sin x \ge 0 $, откуда $ \sin x \ge 0 $. Это означает, что решения могут находиться только в I и II координатных четвертях ($ x \in [2\pi k, \pi + 2\pi k], k \in \mathbb{Z} $).

При условии $ \sin x \ge 0 $ рассмотрим два случая для $ \cos x $.

1. Пусть $ \cos x \ge 0 $. Это соответствует углам в I четверти. Тогда $ |\cos x| = \cos x $, и уравнение становится:

$ \cos x = \sqrt{3}\sin x $

Делим обе части на $ \cos x \ne 0 $:

$ \tan x = \frac{1}{\sqrt{3}} $

Решение: $ x = \frac{\pi}{6} + \pi n, n \in \mathbb{Z} $. Условию $ \cos x \ge 0 $ (и $ \sin x \ge 0 $) удовлетворяют только корни вида $ x = \frac{\pi}{6} + 2\pi k, k \in \mathbb{Z} $.

2. Пусть $ \cos x < 0 $. Это соответствует углам во II четверти. Тогда $ |\cos x| = -\cos x $, и уравнение становится:

$ -\cos x = \sqrt{3}\sin x $

Делим обе части на $ \cos x \ne 0 $:

$ \tan x = -\frac{1}{\sqrt{3}} $

Решение: $ x = -\frac{\pi}{6} + \pi n, n \in \mathbb{Z} $ (или $ x = \frac{5\pi}{6} + \pi n $). Условию $ \cos x < 0 $ (и $ \sin x \ge 0 $) удовлетворяют только корни вида $ x = \frac{5\pi}{6} + 2\pi k, k \in \mathbb{Z} $.

Объединяя найденные решения, получаем две серии корней.

Ответ: $ x = \frac{\pi}{6} + 2\pi k, x = \frac{5\pi}{6} + 2\pi k, k \in \mathbb{Z} $.

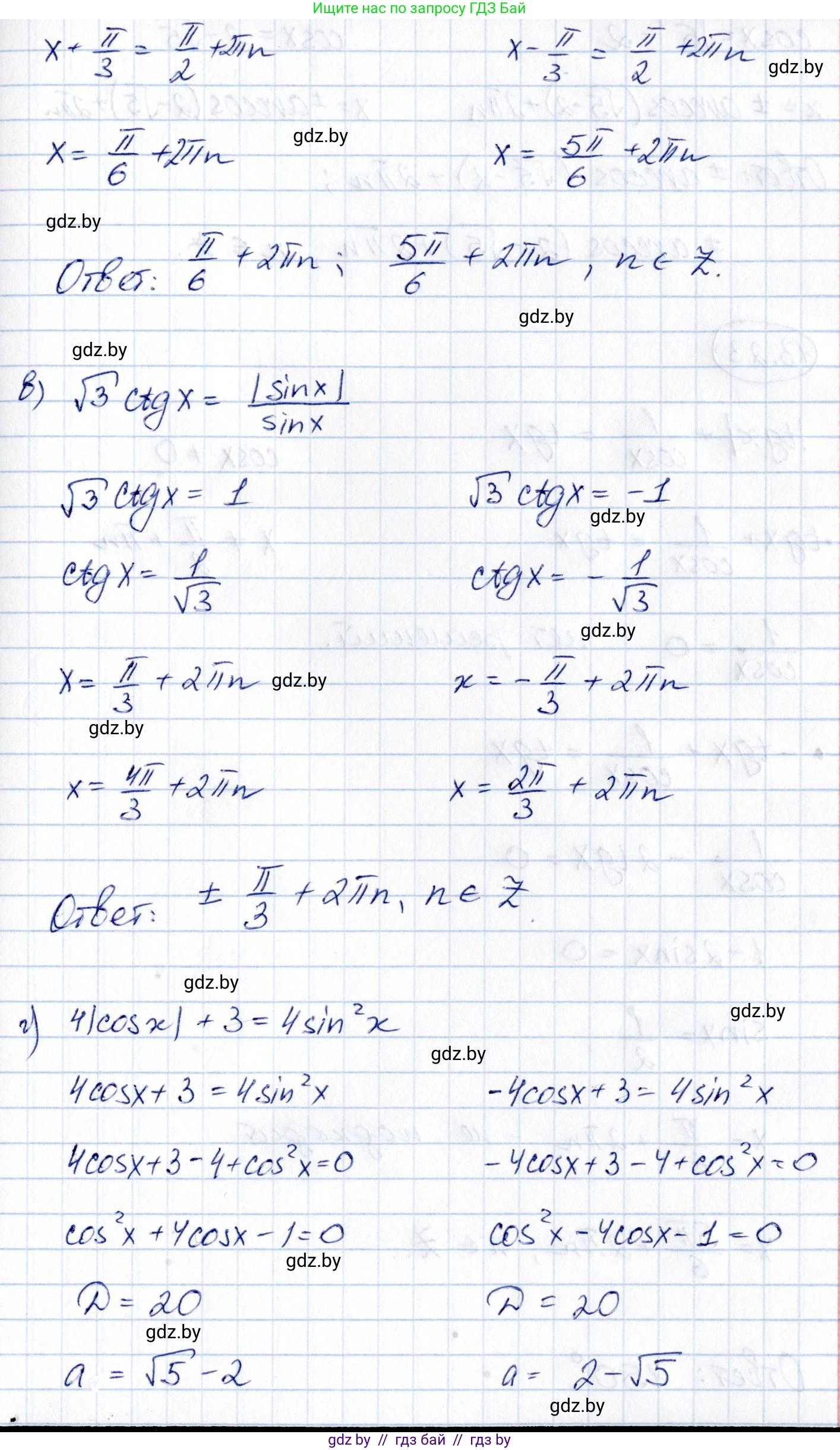
в)

Исходное уравнение: $ \sqrt{3}\text{ctg}\,x = \frac{|\sin x|}{\sin x} $.

Область допустимых значений (ОДЗ) определяется условиями $ \sin x \ne 0 $ (для существования $ \text{ctg}\,x $ и знаменателя дроби). Таким образом, $ x \ne \pi n, n \in \mathbb{Z} $.

Выражение в правой части зависит от знака $ \sin x $:

$ \frac{|\sin x|}{\sin x} = \begin{cases} 1, & \text{если } \sin x > 0 \\ -1, & \text{если } \sin x < 0 \end{cases} $

Рассмотрим эти два случая.

1. Пусть $ \sin x > 0 $ (I и II четверти). Уравнение принимает вид:

$ \sqrt{3}\text{ctg}\,x = 1 \implies \text{ctg}\,x = \frac{1}{\sqrt{3}} $

Решение: $ x = \frac{\pi}{3} + \pi n, n \in \mathbb{Z} $. Условию $ \sin x > 0 $ удовлетворяют корни, находящиеся в I четверти: $ x = \frac{\pi}{3} + 2\pi k, k \in \mathbb{Z} $.

2. Пусть $ \sin x < 0 $ (III и IV четверти). Уравнение принимает вид:

$ \sqrt{3}\text{ctg}\,x = -1 \implies \text{ctg}\,x = -\frac{1}{\sqrt{3}} $

Решение: $ x = \frac{2\pi}{3} + \pi n, n \in \mathbb{Z} $. Условию $ \sin x < 0 $ удовлетворяют корни, находящиеся в IV четверти: $ x = \frac{2\pi}{3} + \pi = \frac{5\pi}{3} $ (при n=1). Таким образом, серия корней $ x = \frac{5\pi}{3} + 2\pi k, k \in \mathbb{Z} $.

Объединяем решения из обоих случаев.

Ответ: $ x = \frac{\pi}{3} + 2\pi k, x = \frac{5\pi}{3} + 2\pi k, k \in \mathbb{Z} $.

г)

Исходное уравнение: $ 4|\cos x| + 3 = 4\sin^2 x $.

Используем основное тригонометрическое тождество $ \sin^2 x = 1 - \cos^2 x $:

$ 4|\cos x| + 3 = 4(1 - \cos^2 x) $

$ 4|\cos x| + 3 = 4 - 4\cos^2 x $

Перенесем все члены в левую часть и учтем, что $ \cos^2 x = |\cos x|^2 $:

$ 4|\cos x|^2 + 4|\cos x| - 1 = 0 $

Сделаем замену переменной. Пусть $ t = |\cos x| $. Так как $ 0 \le |\cos x| \le 1 $, то $ 0 \le t \le 1 $. Уравнение становится квадратным относительно $ t $:

$ 4t^2 + 4t - 1 = 0 $

Найдем корни этого уравнения по формуле:

$ t = \frac{-b \pm \sqrt{b^2 - 4ac}}{2a} = \frac{-4 \pm \sqrt{4^2 - 4 \cdot 4 \cdot (-1)}}{2 \cdot 4} = \frac{-4 \pm \sqrt{16 + 16}}{8} = \frac{-4 \pm \sqrt{32}}{8} = \frac{-4 \pm 4\sqrt{2}}{8} = \frac{-1 \pm \sqrt{2}}{2} $

Получаем два значения для $ t $:

$ t_1 = \frac{-1 + \sqrt{2}}{2} $ и $ t_2 = \frac{-1 - \sqrt{2}}{2} $.

Проверим, удовлетворяют ли корни условию $ 0 \le t \le 1 $.

$ t_1 = \frac{\sqrt{2}-1}{2} $. Так как $ 1.4 < \sqrt{2} < 1.5 $, то $ 0.4 < \sqrt{2}-1 < 0.5 $, и $ 0.2 < \frac{\sqrt{2}-1}{2} < 0.25 $. Этот корень удовлетворяет условию $ 0 \le t_1 \le 1 $.

$ t_2 = \frac{-1-\sqrt{2}}{2} < 0 $. Этот корень не удовлетворяет условию $ t \ge 0 $, поэтому он является посторонним.

Возвращаемся к замене:

$ |\cos x| = \frac{\sqrt{2}-1}{2} $

Это уравнение распадается на два:

$ \cos x = \frac{\sqrt{2}-1}{2} $ или $ \cos x = -\frac{\sqrt{2}-1}{2} $.

Решения первого уравнения: $ x = \pm \arccos\left(\frac{\sqrt{2}-1}{2}\right) + 2\pi k, k \in \mathbb{Z} $.

Решения второго уравнения: $ x = \pm \arccos\left(-\frac{\sqrt{2}-1}{2}\right) + 2\pi k = \pm\left(\pi - \arccos\left(\frac{\sqrt{2}-1}{2}\right)\right) + 2\pi k, k \in \mathbb{Z} $.

Все четыре серии решений можно объединить в одну более компактную форму.

Ответ: $ x = \pm \arccos\left(\frac{\sqrt{2}-1}{2}\right) + \pi k, k \in \mathbb{Z} $.

Помогло решение? Оставьте отзыв в комментариях ниже.

Присоединяйтесь к Телеграм-группе @gdz_by_belarus

Присоединиться

Мы подготовили для вас ответ c подробным объяснением домашего задания по алгебре за 10 класс, для упражнения номер 13.22 расположенного на странице 75 к сборнику задач 2020 года издания для учащихся школ и гимназий.

Теперь на нашем сайте ГДЗ.ТОП вы всегда легко и бесплатно найдёте условие с правильным ответом на вопрос «Как решить ДЗ» и «Как сделать» задание по алгебре к упражнению №13.22 (с. 75), авторов: Арефьева (Ирина Глебовна), Пирютко (Ольга Николаевна), базовый и повышенный уровень обучения учебного пособия издательства Народная асвета.