Номер 19.14, страница 101 - гдз по алгебре 10 класс сборник задач Арефьева, Пирютко

Алгебра, 10 класс Сборник задач, авторы: Арефьева Ирина Глебовна, Пирютко Ольга Николаевна, издательство Народная асвета, Минск, 2020, белого цвета

Авторы: Арефьева И. Г., Пирютко О. Н.

Тип: Сборник задач

Издательство: Народная асвета

Год издания: 2020 - 2026

Уровень обучения: базовый и повышенный

Цвет обложки: белый, голубой с графиком

Допущено Министерством образования Республики Беларусь

Глава 4. Корень n-й степени из числа. Параграф 19. Свойства корней n-й степени (n≥2, n∈N) - номер 19.14, страница 101.

№19.14 (с. 101)
Условие. №19.14 (с. 101)
скриншот условия
Алгебра, 10 класс Сборник задач, авторы: Арефьева Ирина Глебовна, Пирютко Ольга Николаевна, издательство Народная асвета, Минск, 2020, белого цвета, страница 101, номер 19.14, Условие

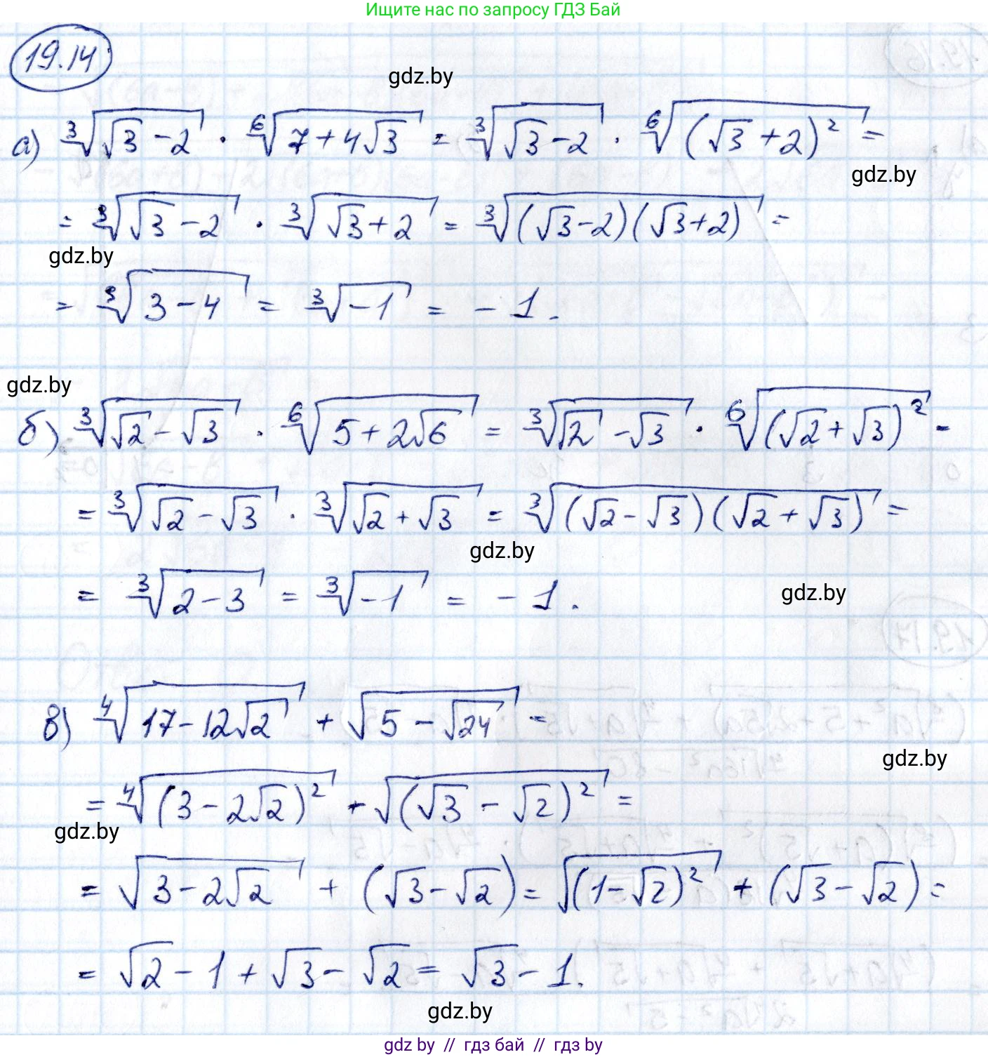
19.14. Найдите значение выражения:

a) $\sqrt[3]{\sqrt{3}-2} \cdot \sqrt[6]{7+4\sqrt{3}};$

б) $\sqrt[3]{\sqrt{2}-\sqrt{3}} \cdot \sqrt[6]{5+2\sqrt{6}};$

в) $\sqrt[4]{17-12\sqrt{2}} + \sqrt{5-\sqrt{24}}.$

Решение. №19.14 (с. 101)
Алгебра, 10 класс Сборник задач, авторы: Арефьева Ирина Глебовна, Пирютко Ольга Николаевна, издательство Народная асвета, Минск, 2020, белого цвета, страница 101, номер 19.14, Решение
Решение 2. №19.14 (с. 101)

а) Для того чтобы перемножить корни с разными показателями, приведем их к одному показателю, равному 6. Для этого возведем подкоренное выражение первого множителя в квадрат, а показатель корня умножим на 2.
Исходное выражение: $ \sqrt[3]{\sqrt{3}-2} \cdot \sqrt[6]{7+4\sqrt{3}} $
Заметим, что $ \sqrt{3} \approx 1.732 $, поэтому $ \sqrt{3} - 2 < 0 $. Кубический корень из отрицательного числа является отрицательным числом. Мы можем вынести минус за знак корня:
$ \sqrt[3]{\sqrt{3}-2} = -\sqrt[3]{-(\sqrt{3}-2)} = -\sqrt[3]{2-\sqrt{3}} $
Теперь приводим первый множитель к показателю 6:
$ -\sqrt[3]{2-\sqrt{3}} = -\sqrt[3 \cdot 2]{(2-\sqrt{3})^2} = -\sqrt[6]{(2-\sqrt{3})^2} $
Раскроем скобки в подкоренном выражении:
$ (2-\sqrt{3})^2 = 2^2 - 2 \cdot 2 \cdot \sqrt{3} + (\sqrt{3})^2 = 4 - 4\sqrt{3} + 3 = 7 - 4\sqrt{3} $
Подставим результат в исходное выражение:
$ -\sqrt[6]{7-4\sqrt{3}} \cdot \sqrt[6]{7+4\sqrt{3}} $
Объединим подкоренные выражения, используя свойство $ \sqrt[n]{a} \cdot \sqrt[n]{b} = \sqrt[n]{ab} $:
$ -\sqrt[6]{(7-4\sqrt{3})(7+4\sqrt{3})} $
Воспользуемся формулой разности квадратов $ (a-b)(a+b) = a^2 - b^2 $:
$ -\sqrt[6]{7^2 - (4\sqrt{3})^2} = -\sqrt[6]{49 - 16 \cdot 3} = -\sqrt[6]{49-48} = -\sqrt[6]{1} = -1 $
Ответ: -1.

б) Решение аналогично предыдущему пункту. Приведем корни к общему показателю 6.
Исходное выражение: $ \sqrt[3]{\sqrt{2}-\sqrt{3}} \cdot \sqrt[6]{5+2\sqrt{6}} $
Так как $ \sqrt{2} < \sqrt{3} $, выражение $ \sqrt{2}-\sqrt{3} $ отрицательно. Вынесем минус:
$ \sqrt[3]{\sqrt{2}-\sqrt{3}} = -\sqrt[3]{\sqrt{3}-\sqrt{2}} $
Приведем первый корень к показателю 6:
$ -\sqrt[3]{\sqrt{3}-\sqrt{2}} = -\sqrt[6]{(\sqrt{3}-\sqrt{2})^2} $
Раскроем скобки:
$ (\sqrt{3}-\sqrt{2})^2 = (\sqrt{3})^2 - 2\sqrt{3}\sqrt{2} + (\sqrt{2})^2 = 3 - 2\sqrt{6} + 2 = 5-2\sqrt{6} $
Подставим в выражение:
$ -\sqrt[6]{5-2\sqrt{6}} \cdot \sqrt[6]{5+2\sqrt{6}} $
Объединим под один корень и применим формулу разности квадратов:
$ -\sqrt[6]{(5-2\sqrt{6})(5+2\sqrt{6})} = -\sqrt[6]{5^2 - (2\sqrt{6})^2} = -\sqrt[6]{25 - 4 \cdot 6} = -\sqrt[6]{25-24} = -\sqrt[6]{1} = -1 $
Ответ: -1.

в) Найдем значение выражения $ \sqrt[4]{17-12\sqrt{2}} + \sqrt{5-\sqrt{24}} $. Для этого упростим каждый из сложных радикалов.
1. Упростим первый член $ \sqrt[4]{17-12\sqrt{2}} $. Это можно записать как $ \sqrt{\sqrt{17-12\sqrt{2}}} $.
Сначала упростим внутренний корень $ \sqrt{17-12\sqrt{2}} $. Представим подкоренное выражение в виде полного квадрата $ (a-b)^2 = a^2 - 2ab + b^2 $.
$ \sqrt{17-12\sqrt{2}} = \sqrt{17-2 \cdot 6\sqrt{2}} = \sqrt{17-2\sqrt{72}} $
Нам нужны два числа, сумма которых равна 17, а произведение — 72. Это числа 9 и 8.
Значит, $ 17-2\sqrt{72} = (\sqrt{9}-\sqrt{8})^2 = (3-2\sqrt{2})^2 $.
Тогда $ \sqrt{17-12\sqrt{2}} = \sqrt{(3-2\sqrt{2})^2} = 3-2\sqrt{2} $ (так как $ 3 > 2\sqrt{2} $).
Теперь первый член нашего выражения равен $ \sqrt{3-2\sqrt{2}} $. Снова применим тот же метод.
Нам нужны два числа, сумма которых 3, а произведение 2. Это числа 2 и 1.
Значит, $ 3-2\sqrt{2} = (\sqrt{2}-\sqrt{1})^2 = (\sqrt{2}-1)^2 $.
Таким образом, первый член равен $ \sqrt{(\sqrt{2}-1)^2} = \sqrt{2}-1 $.
2. Упростим второй член $ \sqrt{5-\sqrt{24}} $.
Сначала преобразуем радикал: $ \sqrt{24} = \sqrt{4 \cdot 6} = 2\sqrt{6} $.
Выражение принимает вид $ \sqrt{5-2\sqrt{6}} $.
Ищем два числа, сумма которых 5, а произведение 6. Это числа 3 и 2.
Значит, $ 5-2\sqrt{6} = (\sqrt{3}-\sqrt{2})^2 $.
Таким образом, второй член равен $ \sqrt{(\sqrt{3}-\sqrt{2})^2} = \sqrt{3}-\sqrt{2} $ (так как $ \sqrt{3} > \sqrt{2} $).
3. Сложим полученные результаты:
$ (\sqrt{2}-1) + (\sqrt{3}-\sqrt{2}) = \sqrt{2} - 1 + \sqrt{3} - \sqrt{2} = \sqrt{3}-1 $
Ответ: $ \sqrt{3}-1 $.

Помогло решение? Оставьте отзыв в комментариях ниже.

Присоединяйтесь к Телеграм-группе @gdz_by_belarus

Присоединиться

Мы подготовили для вас ответ c подробным объяснением домашего задания по алгебре за 10 класс, для упражнения номер 19.14 расположенного на странице 101 к сборнику задач 2020 года издания для учащихся школ и гимназий.

Теперь на нашем сайте ГДЗ.ТОП вы всегда легко и бесплатно найдёте условие с правильным ответом на вопрос «Как решить ДЗ» и «Как сделать» задание по алгебре к упражнению №19.14 (с. 101), авторов: Арефьева (Ирина Глебовна), Пирютко (Ольга Николаевна), базовый и повышенный уровень обучения учебного пособия издательства Народная асвета.