Номер 34.11, страница 177 - гдз по алгебре 10 класс сборник задач Арефьева, Пирютко

Алгебра, 10 класс Сборник задач, авторы: Арефьева Ирина Глебовна, Пирютко Ольга Николаевна, издательство Народная асвета, Минск, 2020, белого цвета

Авторы: Арефьева И. Г., Пирютко О. Н.

Тип: Сборник задач

Издательство: Народная асвета

Год издания: 2020 - 2026

Уровень обучения: базовый и повышенный

Цвет обложки: белый, голубой с графиком

Допущено Министерством образования Республики Беларусь

Популярные ГДЗ в 10 классе

Глава 6. Элементы комбинаторики. Параграф 34. Метод математической индукции - номер 34.11, страница 177.

№34.11 (с. 177)
Условие. №34.11 (с. 177)
скриншот условия
Алгебра, 10 класс Сборник задач, авторы: Арефьева Ирина Глебовна, Пирютко Ольга Николаевна, издательство Народная асвета, Минск, 2020, белого цвета, страница 177, номер 34.11, Условие

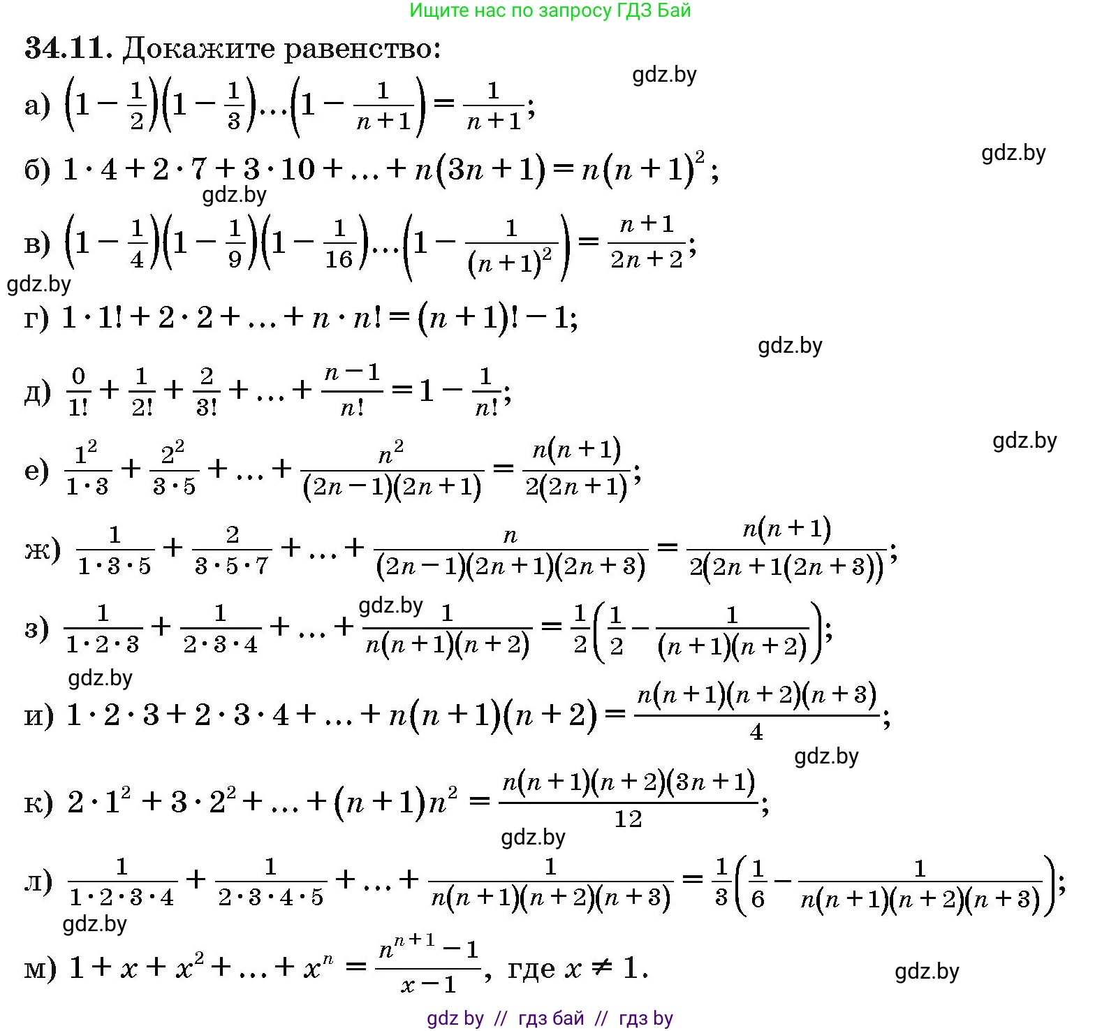
34.11. Докажите равенство:

а) $ (1 - \frac{1}{2})(1 - \frac{1}{3})\dots(1 - \frac{1}{n+1}) = \frac{1}{n+1} $

б) $ 1\cdot 4 + 2\cdot 7 + 3\cdot 10 + \dots + n(3n+1) = n(n+1)^2 $

в) $ (1 - \frac{1}{4})(1 - \frac{1}{9})(1 - \frac{1}{16})\dots(1 - \frac{1}{(n+1)^2}) = \frac{n+1}{2n+2} $

г) $ 1\cdot 1! + 2\cdot 2! + \dots + n\cdot n! = (n+1)! - 1 $

д) $ \frac{0}{1!} + \frac{1}{2!} + \frac{2}{3!} + \dots + \frac{n-1}{n!} = 1 - \frac{1}{n!} $

е) $ \frac{1^2}{1\cdot 3} + \frac{2^2}{3\cdot 5} + \dots + \frac{n^2}{(2n-1)(2n+1)} = \frac{n(n+1)}{2(2n+1)} $

ж) $ \frac{1}{1\cdot 3\cdot 5} + \frac{2}{3\cdot 5\cdot 7} + \dots + \frac{n}{(2n-1)(2n+1)(2n+3)} = \frac{n(n+1)}{2(2n+1)(2n+3)} $

з) $ \frac{1}{1\cdot 2\cdot 3} + \frac{1}{2\cdot 3\cdot 4} + \dots + \frac{1}{n(n+1)(n+2)} = \frac{1}{2}\left(\frac{1}{2} - \frac{1}{(n+1)(n+2)}\right) $

и) $ 1\cdot 2\cdot 3 + 2\cdot 3\cdot 4 + \dots + n(n+1)(n+2) = \frac{n(n+1)(n+2)(n+3)}{4} $

к) $ 2\cdot 1^2 + 3\cdot 2^2 + \dots + (n+1)n^2 = \frac{n(n+1)(n+2)(3n+1)}{12} $

л) $ \frac{1}{1\cdot 2\cdot 3\cdot 4} + \frac{1}{2\cdot 3\cdot 4\cdot 5} + \dots + \frac{1}{n(n+1)(n+2)(n+3)} = \frac{1}{3}\left(\frac{1}{6} - \frac{1}{n(n+1)(n+2)(n+3)}\right) $

м) $ 1 + x + x^2 + \dots + x^n = \frac{x^{n+1}-1}{x-1} $, где $ x \neq 1 $.

Решение. №34.11 (с. 177)
Алгебра, 10 класс Сборник задач, авторы: Арефьева Ирина Глебовна, Пирютко Ольга Николаевна, издательство Народная асвета, Минск, 2020, белого цвета, страница 177, номер 34.11, Решение Алгебра, 10 класс Сборник задач, авторы: Арефьева Ирина Глебовна, Пирютко Ольга Николаевна, издательство Народная асвета, Минск, 2020, белого цвета, страница 177, номер 34.11, Решение (продолжение 2)
Решение 2. №34.11 (с. 177)

а) Докажем равенство $(1 - \frac{1}{2})(1 - \frac{1}{3})...(1 - \frac{1}{n+1}) = \frac{1}{n+1}$.

Преобразуем каждый член произведения. Общий член имеет вид $(1 - \frac{1}{k})$ для $k$ от $2$ до $n+1$.

$(1 - \frac{1}{k}) = \frac{k-1}{k}$.

Тогда все произведение равно:

$P = (1 - \frac{1}{2})(1 - \frac{1}{3})...(1 - \frac{1}{n+1}) = \frac{2-1}{2} \cdot \frac{3-1}{3} \cdot ... \cdot \frac{(n+1)-1}{n+1}$

$P = \frac{1}{2} \cdot \frac{2}{3} \cdot \frac{3}{4} \cdot ... \cdot \frac{n}{n+1}$

Это телескопическое произведение, в котором числитель каждой дроби сокращается со знаменателем следующей дроби:

$P = \frac{1}{\cancel{2}} \cdot \frac{\cancel{2}}{\cancel{3}} \cdot \frac{\cancel{3}}{\cancel{4}} \cdot ... \cdot \frac{\cancel{n}}{n+1} = \frac{1}{n+1}$.

Равенство доказано.

Ответ: $\frac{1}{n+1}$.

б) Докажем равенство $1 \cdot 4 + 2 \cdot 7 + 3 \cdot 10 + ... + n(3n+1) = n(n+1)^2$ методом математической индукции.

Пусть $S(n) = 1 \cdot 4 + 2 \cdot 7 + ... + n(3n+1)$.

База индукции (n=1):

Левая часть: $S(1) = 1(3 \cdot 1 + 1) = 4$.

Правая часть: $1(1+1)^2 = 1 \cdot 2^2 = 4$.

Равенство выполняется для $n=1$.

Индукционный переход:

Предположим, что равенство верно для некоторого натурального $k \ge 1$, то есть $S(k) = k(k+1)^2$.

Докажем, что оно верно и для $k+1$, то есть $S(k+1) = (k+1)((k+1)+1)^2 = (k+1)(k+2)^2$.

$S(k+1) = S(k) + (k+1)(3(k+1)+1) = k(k+1)^2 + (k+1)(3k+4)$.

Вынесем общий множитель $(k+1)$:

$S(k+1) = (k+1)[k(k+1) + (3k+4)] = (k+1)(k^2+k+3k+4) = (k+1)(k^2+4k+4)$.

Так как $k^2+4k+4 = (k+2)^2$, получаем:

$S(k+1) = (k+1)(k+2)^2$.

Индукционный переход доказан. Следовательно, равенство верно для любого натурального $n$.

Ответ: $n(n+1)^2$.

в) Докажем равенство $(1 - \frac{1}{4})(1 - \frac{1}{9})(1 - \frac{1}{16})...(1 - \frac{1}{(n+1)^2}) = \frac{n+2}{2n+2}$.

Общий член произведения, начиная со второго, имеет вид $(1 - \frac{1}{k^2})$ для $k$ от $2$ до $n+1$.

Преобразуем его, используя формулу разности квадратов: $1 - \frac{1}{k^2} = \frac{k^2-1}{k^2} = \frac{(k-1)(k+1)}{k \cdot k}$.

Запишем произведение:

$P = \prod_{k=2}^{n+1} \frac{(k-1)(k+1)}{k^2} = \frac{1 \cdot 3}{2 \cdot 2} \cdot \frac{2 \cdot 4}{3 \cdot 3} \cdot \frac{3 \cdot 5}{4 \cdot 4} \cdot ... \cdot \frac{n(n+2)}{(n+1)(n+1)}$.

Перегруппируем множители:

$P = \left(\frac{1}{2} \cdot \frac{2}{3} \cdot \frac{3}{4} \cdot ... \cdot \frac{n}{n+1}\right) \cdot \left(\frac{3}{2} \cdot \frac{4}{3} \cdot \frac{5}{4} \cdot ... \cdot \frac{n+2}{n+1}\right)$.

Оба произведения являются телескопическими. Первое сворачивается в $\frac{1}{n+1}$, второе в $\frac{n+2}{2}$.

$P = \frac{1}{n+1} \cdot \frac{n+2}{2} = \frac{n+2}{2(n+1)} = \frac{n+2}{2n+2}$.

Равенство доказано.

Ответ: $\frac{n+2}{2n+2}$.

г) Докажем равенство $1 \cdot 1! + 2 \cdot 2! + ... + n \cdot n! = (n+1)! - 1$.

Рассмотрим общий член суммы $a_k = k \cdot k!$. Его можно представить в виде:

$k \cdot k! = (k+1-1) \cdot k! = (k+1) \cdot k! - k! = (k+1)! - k!$.

Тогда вся сумма является телескопической:

$S_n = \sum_{k=1}^{n} k \cdot k! = \sum_{k=1}^{n} ((k+1)! - k!) = (2! - 1!) + (3! - 2!) + ... + ((n+1)! - n!)$.

Все промежуточные члены сокращаются, и остается:

$S_n = (n+1)! - 1! = (n+1)! - 1$.

Равенство доказано.

Ответ: $(n+1)! - 1$.

д) Докажем равенство $\frac{0}{1!} + \frac{1}{2!} + \frac{2}{3!} + ... + \frac{n-1}{n!} = 1 - \frac{1}{n!}$.

Рассмотрим общий член суммы $a_k = \frac{k-1}{k!}$ для $k \ge 1$. Преобразуем его:

$a_k = \frac{k-1}{k!} = \frac{k}{k!} - \frac{1}{k!} = \frac{1}{(k-1)!} - \frac{1}{k!}$ (для $k \ge 1$, считая $0!=1$).

Сумма является телескопической:

$S_n = \sum_{k=1}^{n} \frac{k-1}{k!} = \sum_{k=1}^{n} (\frac{1}{(k-1)!} - \frac{1}{k!})$.

$S_n = (\frac{1}{0!} - \frac{1}{1!}) + (\frac{1}{1!} - \frac{1}{2!}) + ... + (\frac{1}{(n-1)!} - \frac{1}{n!})$.

После сокращения промежуточных членов получаем:

$S_n = \frac{1}{0!} - \frac{1}{n!} = 1 - \frac{1}{n!}$.

Равенство доказано.

Ответ: $1 - \frac{1}{n!}$.

е) Докажем равенство $\frac{1^2}{1 \cdot 3} + \frac{2^2}{3 \cdot 5} + ... + \frac{n^2}{(2n-1)(2n+1)} = \frac{n(n+1)}{2(2n+1)}$.

Рассмотрим общий член суммы $a_k = \frac{k^2}{(2k-1)(2k+1)}$.

$a_k = \frac{k^2}{4k^2-1} = \frac{1}{4} \cdot \frac{4k^2}{4k^2-1} = \frac{1}{4} \cdot \frac{4k^2-1+1}{4k^2-1} = \frac{1}{4} \left(1 + \frac{1}{4k^2-1}\right) = \frac{1}{4} \left(1 + \frac{1}{(2k-1)(2k+1)}\right)$.

Разложим дробь $\frac{1}{(2k-1)(2k+1)}$ на простейшие: $\frac{1}{(2k-1)(2k+1)} = \frac{1}{2}\left(\frac{1}{2k-1} - \frac{1}{2k+1}\right)$.

Тогда $a_k = \frac{1}{4} + \frac{1}{8}\left(\frac{1}{2k-1} - \frac{1}{2k+1}\right)$.

Суммируем от $k=1$ до $n$:

$S_n = \sum_{k=1}^{n} a_k = \sum_{k=1}^{n} \frac{1}{4} + \frac{1}{8} \sum_{k=1}^{n} \left(\frac{1}{2k-1} - \frac{1}{2k+1}\right) = \frac{n}{4} + \frac{1}{8} \left( (1-\frac{1}{3}) + (\frac{1}{3}-\frac{1}{5}) + ... + (\frac{1}{2n-1}-\frac{1}{2n+1}) \right)$.

Вторая часть является телескопической суммой:

$S_n = \frac{n}{4} + \frac{1}{8} \left(1 - \frac{1}{2n+1}\right) = \frac{n}{4} + \frac{1}{8} \frac{2n}{2n+1} = \frac{n}{4} + \frac{n}{4(2n+1)}$.

$S_n = \frac{n}{4} \left(1 + \frac{1}{2n+1}\right) = \frac{n}{4} \frac{2n+2}{2n+1} = \frac{n \cdot 2(n+1)}{4(2n+1)} = \frac{n(n+1)}{2(2n+1)}$.

Равенство доказано.

Ответ: $\frac{n(n+1)}{2(2n+1)}$.

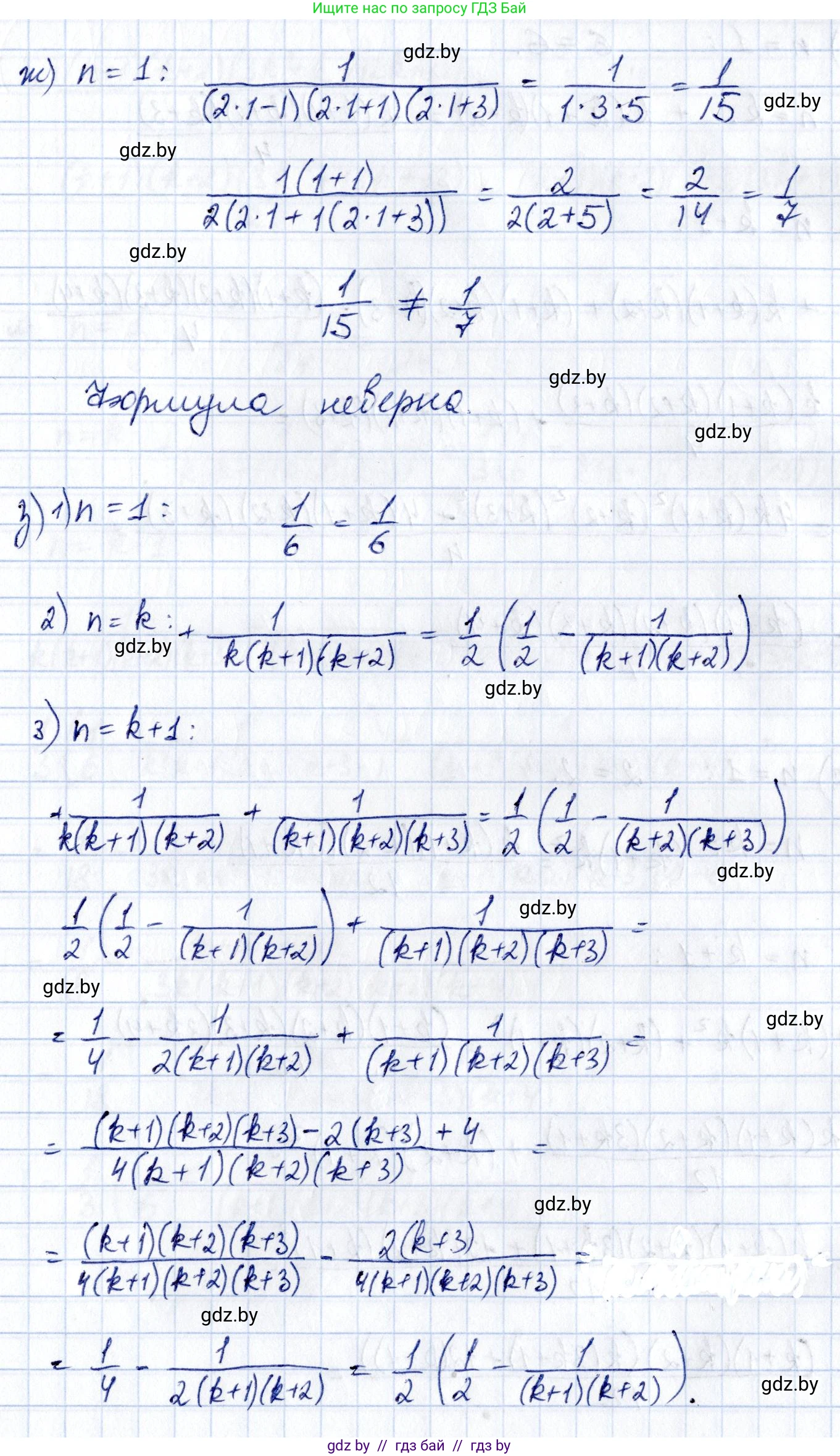
ж) Докажем равенство $\frac{1}{1 \cdot 3 \cdot 5} + ... + \frac{n}{(2n-1)(2n+1)(2n+3)} = \frac{n(n+1)}{2(2n+1)(2n+3)}$ методом математической индукции.

База индукции (n=1): Левая часть: $\frac{1}{1 \cdot 3 \cdot 5} = \frac{1}{15}$. Правая часть: $\frac{1(1+1)}{2(2 \cdot 1+1)(2 \cdot 1+3)} = \frac{2}{2(3)(5)} = \frac{1}{15}$. Верно.

Индукционный переход: Предположим, что равенство верно для $k$: $S_k = \frac{k(k+1)}{2(2k+1)(2k+3)}$.

Докажем для $k+1$: $S_{k+1} = S_k + \frac{k+1}{(2(k+1)-1)(2(k+1)+1)(2(k+1)+3)} = S_k + \frac{k+1}{(2k+1)(2k+3)(2k+5)}$.

$S_{k+1} = \frac{k(k+1)}{2(2k+1)(2k+3)} + \frac{k+1}{(2k+1)(2k+3)(2k+5)} = \frac{k+1}{(2k+1)(2k+3)} \left(\frac{k}{2} + \frac{1}{2k+5}\right)$.

$S_{k+1} = \frac{k+1}{(2k+1)(2k+3)} \left(\frac{k(2k+5)+2}{2(2k+5)}\right) = \frac{k+1}{(2k+1)(2k+3)} \frac{2k^2+5k+2}{2(2k+5)}$.

Разложим $2k^2+5k+2 = (2k+1)(k+2)$.

$S_{k+1} = \frac{k+1}{(2k+1)(2k+3)} \frac{(2k+1)(k+2)}{2(2k+5)} = \frac{(k+1)(k+2)}{2(2k+3)(2k+5)}$.

Правая часть для $k+1$ равна $\frac{(k+1)((k+1)+1)}{2(2(k+1)+1)(2(k+1)+3)} = \frac{(k+1)(k+2)}{2(2k+3)(2k+5)}$. Равенство доказано.

Ответ: $\frac{n(n+1)}{2(2n+1)(2n+3)}$.

з) Докажем равенство $\frac{1}{1 \cdot 2 \cdot 3} + ... + \frac{1}{n(n+1)(n+2)} = \frac{1}{2} (\frac{1}{2} - \frac{1}{(n+1)(n+2)})$.

Представим общий член суммы $a_k = \frac{1}{k(k+1)(k+2)}$ в виде разности:

$a_k = \frac{1}{2} \left(\frac{1}{k(k+1)} - \frac{1}{(k+1)(k+2)}\right)$.

Тогда сумма становится телескопической:

$S_n = \frac{1}{2} \sum_{k=1}^{n} \left(\frac{1}{k(k+1)} - \frac{1}{(k+1)(k+2)}\right)$.

$S_n = \frac{1}{2} \left[ \left(\frac{1}{1 \cdot 2} - \frac{1}{2 \cdot 3}\right) + \left(\frac{1}{2 \cdot 3} - \frac{1}{3 \cdot 4}\right) + ... + \left(\frac{1}{n(n+1)} - \frac{1}{(n+1)(n+2)}\right) \right]$.

После сокращения остается: $S_n = \frac{1}{2} \left(\frac{1}{1 \cdot 2} - \frac{1}{(n+1)(n+2)}\right) = \frac{1}{2} \left(\frac{1}{2} - \frac{1}{(n+1)(n+2)}\right)$.

Равенство доказано.

Ответ: $\frac{1}{2} \left(\frac{1}{2} - \frac{1}{(n+1)(n+2)}\right)$.

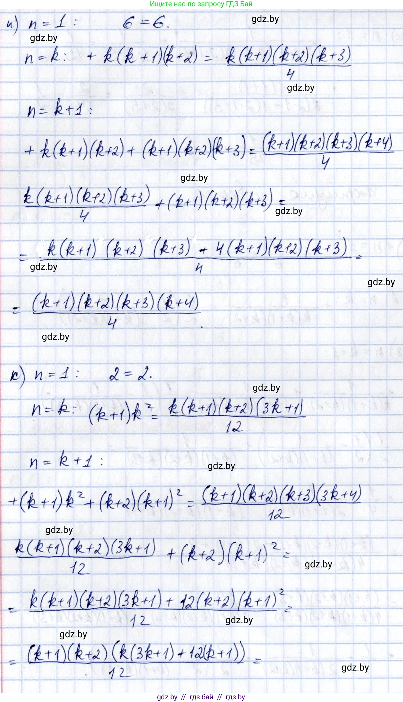
и) Докажем равенство $1 \cdot 2 \cdot 3 + ... + n(n+1)(n+2) = \frac{n(n+1)(n+2)(n+3)}{4}$ методом математической индукции.

База индукции (n=1): Левая часть: $1 \cdot 2 \cdot 3 = 6$. Правая часть: $\frac{1(2)(3)(4)}{4} = 6$. Верно.

Индукционный переход: Предположим, что равенство верно для $k$: $S_k = \frac{k(k+1)(k+2)(k+3)}{4}$.

Докажем для $k+1$: $S_{k+1} = S_k + (k+1)(k+2)(k+3)$.

$S_{k+1} = \frac{k(k+1)(k+2)(k+3)}{4} + (k+1)(k+2)(k+3) = (k+1)(k+2)(k+3) \left(\frac{k}{4} + 1\right)$.

$S_{k+1} = (k+1)(k+2)(k+3) \frac{k+4}{4} = \frac{(k+1)(k+2)(k+3)(k+4)}{4}$.

Это соответствует правой части для $n=k+1$. Равенство доказано.

Ответ: $\frac{n(n+1)(n+2)(n+3)}{4}$.

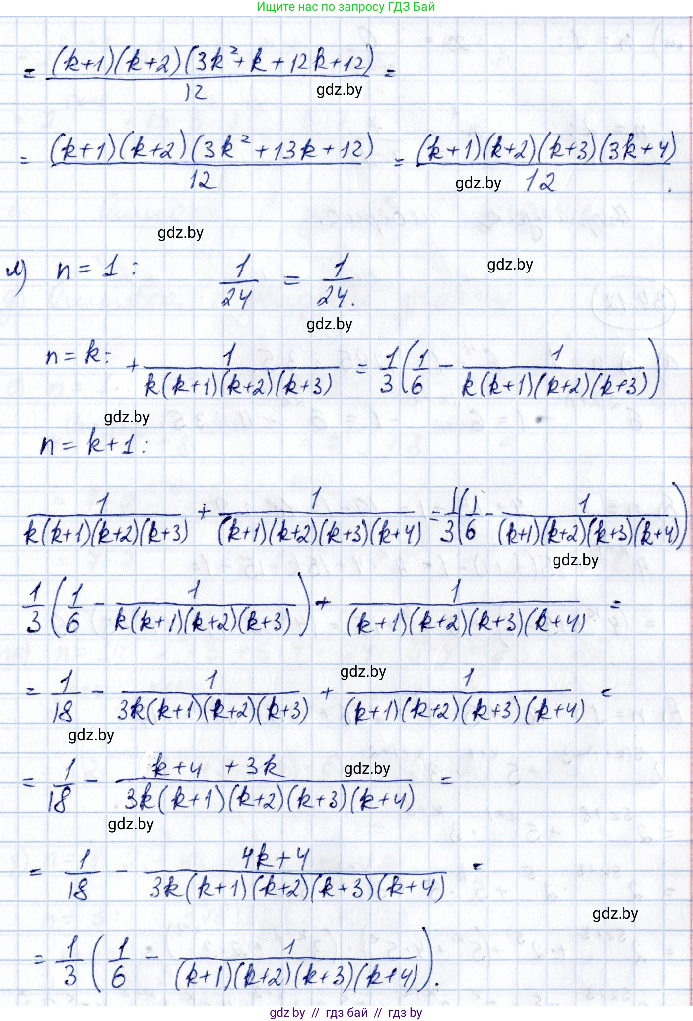
к) Докажем равенство $2 \cdot 1^2 + 3 \cdot 2^2 + ... + (n+1)n^2 = \frac{n(n+1)(n+2)(3n+1)}{12}$ методом математической индукции.

База индукции (n=1): Левая часть: $(1+1) \cdot 1^2 = 2$. Правая часть: $\frac{1(2)(3)(3 \cdot 1+1)}{12} = \frac{24}{12} = 2$. Верно.

Индукционный переход: Предположим, что равенство верно для $k$: $S_k = \frac{k(k+1)(k+2)(3k+1)}{12}$.

Докажем для $k+1$: $S_{k+1} = S_k + ((k+1)+1)(k+1)^2 = S_k + (k+2)(k+1)^2$.

$S_{k+1} = \frac{k(k+1)(k+2)(3k+1)}{12} + (k+1)^2(k+2) = \frac{(k+1)(k+2)}{12} [k(3k+1) + 12(k+1)]$.

$S_{k+1} = \frac{(k+1)(k+2)}{12} [3k^2+k+12k+12] = \frac{(k+1)(k+2)}{12} [3k^2+13k+12]$.

Разложим $3k^2+13k+12 = (k+3)(3k+4)$.

$S_{k+1} = \frac{(k+1)(k+2)(k+3)(3k+4)}{12}$.

Правая часть для $n=k+1$: $\frac{(k+1)(k+2)(k+3)(3(k+1)+1)}{12} = \frac{(k+1)(k+2)(k+3)(3k+4)}{12}$. Равенство доказано.

Ответ: $\frac{n(n+1)(n+2)(3n+1)}{12}$.

л) Докажем равенство $\frac{1}{1 \cdot 2 \cdot 3 \cdot 4} + ... + \frac{1}{n(n+1)(n+2)(n+3)} = \frac{1}{3}(\frac{1}{6} - \frac{1}{(n+1)(n+2)(n+3)})$.

Представим общий член суммы $a_k = \frac{1}{k(k+1)(k+2)(k+3)}$ в виде разности:

$a_k = \frac{1}{3} \left(\frac{1}{k(k+1)(k+2)} - \frac{1}{(k+1)(k+2)(k+3)}\right)$.

Тогда сумма становится телескопической:

$S_n = \frac{1}{3} \sum_{k=1}^{n} \left(\frac{1}{k(k+1)(k+2)} - \frac{1}{(k+1)(k+2)(k+3)}\right)$.

$S_n = \frac{1}{3} \left[ \left(\frac{1}{1 \cdot 2 \cdot 3} - \frac{1}{2 \cdot 3 \cdot 4}\right) + ... + \left(\frac{1}{n(n+1)(n+2)} - \frac{1}{(n+1)(n+2)(n+3)}\right) \right]$.

После сокращения: $S_n = \frac{1}{3} \left(\frac{1}{1 \cdot 2 \cdot 3} - \frac{1}{(n+1)(n+2)(n+3)}\right) = \frac{1}{3} \left(\frac{1}{6} - \frac{1}{(n+1)(n+2)(n+3)}\right)$.

Равенство доказано.

Ответ: $\frac{1}{3}\left(\frac{1}{6} - \frac{1}{(n+1)(n+2)(n+3)}\right)$.

м) Докажем равенство $1 + x + x^2 + ... + x^n = \frac{x^{n+1}-1}{x-1}$, где $x \ne 1$.

Это формула суммы $n+1$ членов геометрической прогрессии с первым членом $b_1=1$ и знаменателем $x$.

Пусть $S_n = 1 + x + x^2 + ... + x^n$.

Умножим обе части на $x$:

$x S_n = x + x^2 + x^3 + ... + x^{n+1}$.

Вычтем второе уравнение из первого:

$S_n - x S_n = (1 + x + x^2 + ... + x^n) - (x + x^2 + x^3 + ... + x^{n+1})$.

$S_n(1-x) = 1 - x^{n+1}$.

Поскольку по условию $x \ne 1$, то $1-x \ne 0$, и мы можем разделить на $(1-x)$:

$S_n = \frac{1-x^{n+1}}{1-x} = \frac{-(x^{n+1}-1)}{-(x-1)} = \frac{x^{n+1}-1}{x-1}$.

Равенство доказано.

Ответ: $\frac{x^{n+1}-1}{x-1}$.

Помогло решение? Оставьте отзыв в комментариях ниже.

Присоединяйтесь к Телеграм-группе @gdz_by_belarus

Присоединиться

Мы подготовили для вас ответ c подробным объяснением домашего задания по алгебре за 10 класс, для упражнения номер 34.11 расположенного на странице 177 к сборнику задач 2020 года издания для учащихся школ и гимназий.

Теперь на нашем сайте ГДЗ.ТОП вы всегда легко и бесплатно найдёте условие с правильным ответом на вопрос «Как решить ДЗ» и «Как сделать» задание по алгебре к упражнению №34.11 (с. 177), авторов: Арефьева (Ирина Глебовна), Пирютко (Ольга Николаевна), базовый и повышенный уровень обучения учебного пособия издательства Народная асвета.