Номер 35.7, страница 181 - гдз по алгебре 10 класс сборник задач Арефьева, Пирютко

Алгебра, 10 класс Сборник задач, авторы: Арефьева Ирина Глебовна, Пирютко Ольга Николаевна, издательство Народная асвета, Минск, 2020, белого цвета

Авторы: Арефьева И. Г., Пирютко О. Н.

Тип: Сборник задач

Издательство: Народная асвета

Год издания: 2020 - 2026

Уровень обучения: базовый и повышенный

Цвет обложки: белый, голубой с графиком

Допущено Министерством образования Республики Беларусь

Популярные ГДЗ в 10 классе

Глава 6. Элементы комбинаторики. Параграф 35. Бином Ньютона - номер 35.7, страница 181.

№35.7 (с. 181)
Условие. №35.7 (с. 181)
скриншот условия
Алгебра, 10 класс Сборник задач, авторы: Арефьева Ирина Глебовна, Пирютко Ольга Николаевна, издательство Народная асвета, Минск, 2020, белого цвета, страница 181, номер 35.7, Условие

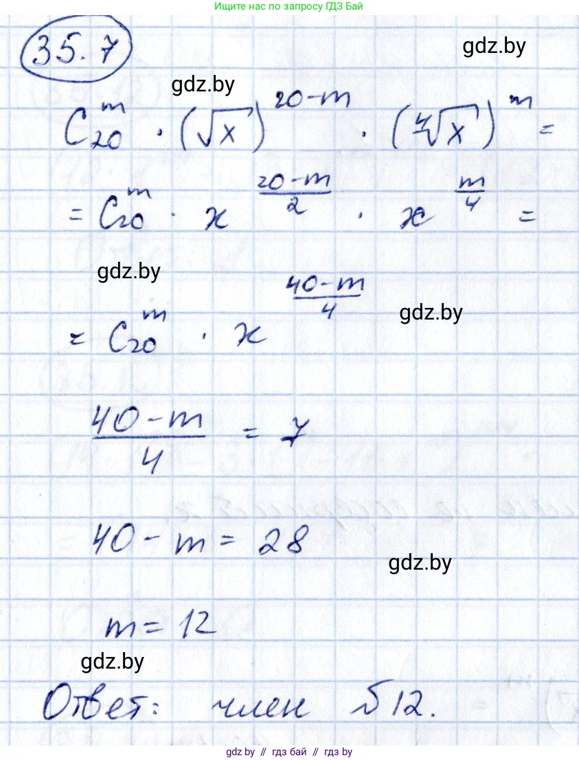
35.7. Определите номер члена разложения $(\sqrt{x} - \sqrt[4]{x})^{20}$, содержащего $x^7$.

Решение. №35.7 (с. 181)
Алгебра, 10 класс Сборник задач, авторы: Арефьева Ирина Глебовна, Пирютко Ольга Николаевна, издательство Народная асвета, Минск, 2020, белого цвета, страница 181, номер 35.7, Решение
Решение 2. №35.7 (с. 181)

35.7.

Для нахождения номера члена разложения бинома, содержащего $x^7$, воспользуемся формулой общего члена разложения бинома Ньютона: $T_{k+1} = C_n^k a^{n-k} b^k$, где $T_{k+1}$ — это $(k+1)$-й член разложения.

В нашем выражении $(\sqrt{x} - \sqrt[4]{x})^{20}$ имеем: $a = \sqrt{x} = x^{1/2}$, $b = -\sqrt[4]{x} = -x^{1/4}$ и $n = 20$.

Подставим эти значения в формулу и найдем общий вид члена разложения:

$T_{k+1} = C_{20}^k (x^{1/2})^{20-k} (-x^{1/4})^k = C_{20}^k (-1)^k x^{\frac{20-k}{2}} x^{\frac{k}{4}}$

Чтобы найти степень $x$ в общем члене, сложим показатели степеней:

$\frac{20-k}{2} + \frac{k}{4} = \frac{2(20-k) + k}{4} = \frac{40 - 2k + k}{4} = \frac{40-k}{4}$

По условию задачи, искомый член должен содержать $x^7$. Следовательно, степень $x$ должна быть равна 7. Составим и решим уравнение относительно $k$:

$\frac{40-k}{4} = 7$

$40 - k = 28$

$k = 40 - 28 = 12$

Номер члена в разложении равен $k+1$. Так как $k=12$, то номер искомого члена: $12 + 1 = 13$.

Ответ: 13

Помогло решение? Оставьте отзыв в комментариях ниже.

Присоединяйтесь к Телеграм-группе @gdz_by_belarus

Присоединиться

Мы подготовили для вас ответ c подробным объяснением домашего задания по алгебре за 10 класс, для упражнения номер 35.7 расположенного на странице 181 к сборнику задач 2020 года издания для учащихся школ и гимназий.

Теперь на нашем сайте ГДЗ.ТОП вы всегда легко и бесплатно найдёте условие с правильным ответом на вопрос «Как решить ДЗ» и «Как сделать» задание по алгебре к упражнению №35.7 (с. 181), авторов: Арефьева (Ирина Глебовна), Пирютко (Ольга Николаевна), базовый и повышенный уровень обучения учебного пособия издательства Народная асвета.