Номер 1.350, страница 114 - гдз по алгебре 10 класс учебник Арефьева, Пирютко

Алгебра, 10 класс Учебник, авторы: Арефьева Ирина Глебовна, Пирютко Ольга Николаевна, издательство Народная асвета, Минск, 2019, голубого цвета

Авторы: Арефьева И. Г., Пирютко О. Н.

Тип: Учебник

Издательство: Народная асвета

Год издания: 2019 - 2026

Цвет обложки: голубой с графиком

Допущено Министерством образования Республики Беларусь

Популярные ГДЗ в 10 классе

Глава 1. Тригонометрия. Параграф 8. Тригонометрические уравнения - номер 1.350, страница 114.

№1.350 (с. 114)
Условие. №1.350 (с. 114)
скриншот условия
Алгебра, 10 класс Учебник, авторы: Арефьева Ирина Глебовна, Пирютко Ольга Николаевна, издательство Народная асвета, Минск, 2019, голубого цвета, страница 114, номер 1.350, Условие

1.350*. Найдите (в градусах) все корни уравнения $cos^2 x - \sqrt{3} \sin x \cos x = 0$, принадлежащие промежутку $[-180^\circ; 60^\circ]$.

Решение. №1.350 (с. 114)
Алгебра, 10 класс Учебник, авторы: Арефьева Ирина Глебовна, Пирютко Ольга Николаевна, издательство Народная асвета, Минск, 2019, голубого цвета, страница 114, номер 1.350, Решение
Решение 2. №1.350 (с. 114)

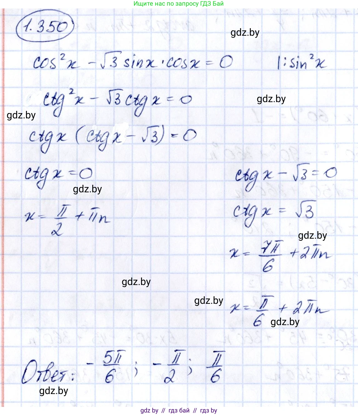
Данное тригонометрическое уравнение $\cos^2 x - \sqrt{3} \sin x \cos x = 0$ является однородным уравнением второй степени. Для его решения вынесем общий множитель $\cos x$ за скобки:

$$ \cos x (\cos x - \sqrt{3} \sin x) = 0 $$

Произведение равно нулю тогда и только тогда, когда хотя бы один из множителей равен нулю. Это приводит к совокупности двух уравнений:

1) $ \cos x = 0 $

2) $ \cos x - \sqrt{3} \sin x = 0 $

Решим каждое уравнение по отдельности и найдем корни, принадлежащие заданному промежутку $[-180^\circ; 60^\circ]$.

Решение уравнения 1)

$$ \cos x = 0 $$

Общая формула для корней этого уравнения в градусах:

$$ x = 90^\circ + 180^\circ n, \text{ где } n \in \mathbb{Z} $$

Теперь произведем отбор корней для промежутка $[-180^\circ; 60^\circ]$ путем перебора целочисленных значений $n$:

  • Если $n = 0$, то $x = 90^\circ$. Этот корень не принадлежит промежутку, так как $90^\circ > 60^\circ$.
  • Если $n = -1$, то $x = 90^\circ - 180^\circ = -90^\circ$. Этот корень принадлежит промежутку, так как $-180^\circ \le -90^\circ \le 60^\circ$.
  • Если $n = -2$, то $x = 90^\circ - 360^\circ = -270^\circ$. Этот корень не принадлежит промежутку.

Из первого уравнения мы получили один корень: $-90^\circ$.

Решение уравнения 2)

$$ \cos x - \sqrt{3} \sin x = 0 $$

Перенесем один из членов в правую часть:

$$ \cos x = \sqrt{3} \sin x $$

Заметим, что в этом уравнении $\cos x$ не может быть равен нулю, так как если $\cos x = 0$, то и $\sin x$ должен быть равен нулю, что невозможно одновременно ($\sin^2 x + \cos^2 x = 1$). Поэтому мы можем безопасно разделить обе части уравнения на $\cos x \neq 0$:

$$ 1 = \sqrt{3} \frac{\sin x}{\cos x} $$

Используя определение тангенса $\tan x = \frac{\sin x}{\cos x}$, получаем:

$$ \tan x = \frac{1}{\sqrt{3}} $$

Общая формула для корней этого уравнения в градусах:

$$ x = 30^\circ + 180^\circ k, \text{ где } k \in \mathbb{Z} $$

Теперь произведем отбор корней для промежутка $[-180^\circ; 60^\circ]$ путем перебора целочисленных значений $k$:

  • Если $k = 0$, то $x = 30^\circ$. Этот корень принадлежит промежутку, так как $-180^\circ \le 30^\circ \le 60^\circ$.
  • Если $k = -1$, то $x = 30^\circ - 180^\circ = -150^\circ$. Этот корень принадлежит промежутку, так как $-180^\circ \le -150^\circ \le 60^\circ$.
  • Если $k = 1$, то $x = 30^\circ + 180^\circ = 210^\circ$. Этот корень не принадлежит промежутку.

Из второго уравнения мы получили два корня: $30^\circ$ и $-150^\circ$.

Объединяя все найденные корни из обоих уравнений, получаем окончательный ответ.

Ответ: $-150^\circ, -90^\circ, 30^\circ$.

Помогло решение? Оставьте отзыв в комментариях ниже.

Присоединяйтесь к Телеграм-группе @gdz_by_belarus

Присоединиться

Мы подготовили для вас ответ c подробным объяснением домашего задания по алгебре за 10 класс, для упражнения номер 1.350 расположенного на странице 114 к учебнику 2019 года издания для учащихся школ и гимназий.

Теперь на нашем сайте ГДЗ.ТОП вы всегда легко и бесплатно найдёте условие с правильным ответом на вопрос «Как решить ДЗ» и «Как сделать» задание по алгебре к упражнению №1.350 (с. 114), авторов: Арефьева (Ирина Глебовна), Пирютко (Ольга Николаевна), учебного пособия издательства Народная асвета.