Номер 1.351, страница 114 - гдз по алгебре 10 класс учебник Арефьева, Пирютко

Алгебра, 10 класс Учебник, авторы: Арефьева Ирина Глебовна, Пирютко Ольга Николаевна, издательство Народная асвета, Минск, 2019, голубого цвета

Авторы: Арефьева И. Г., Пирютко О. Н.

Тип: Учебник

Издательство: Народная асвета

Год издания: 2019 - 2026

Цвет обложки: голубой с графиком

Допущено Министерством образования Республики Беларусь

Популярные ГДЗ в 10 классе

Глава 1. Тригонометрия. Параграф 8. Тригонометрические уравнения - номер 1.351, страница 114.

№1.351 (с. 114)
Условие. №1.351 (с. 114)
скриншот условия
Алгебра, 10 класс Учебник, авторы: Арефьева Ирина Глебовна, Пирютко Ольга Николаевна, издательство Народная асвета, Минск, 2019, голубого цвета, страница 114, номер 1.351, Условие

1.351. Решите простейшее тригонометрическое уравнение:

а) $sin x = \frac{\sqrt{2}}{2}$;

б) $cos x = \frac{\sqrt{3}}{2}$;

в) $sin \frac{x}{4} = \frac{\sqrt{3}}{2}$;

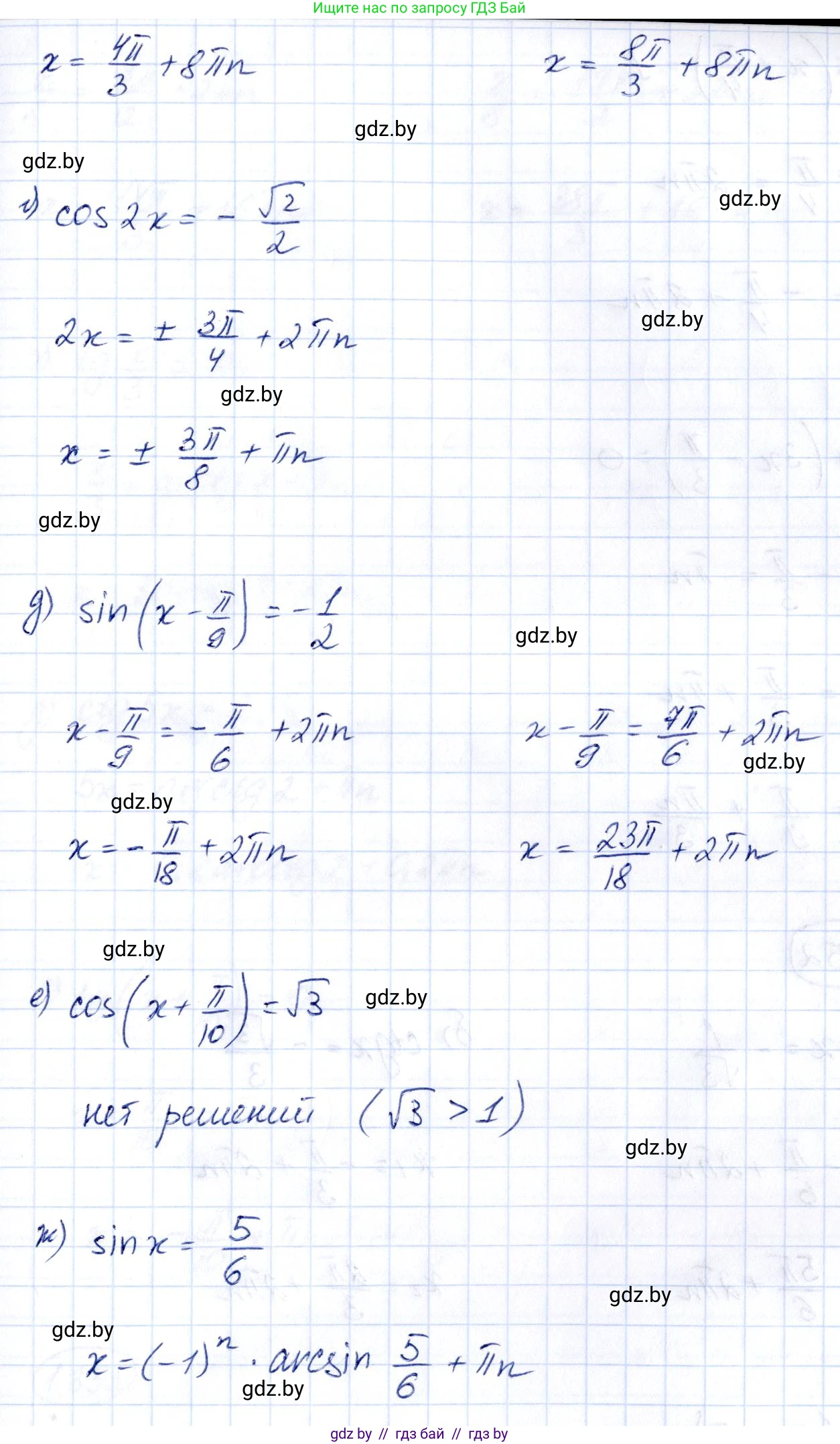
г) $cos 2x = -\frac{\sqrt{2}}{2}$;

д) $sin \left(x - \frac{\pi}{9}\right) = -\frac{1}{2}$;

е) $cos \left(x + \frac{\pi}{10}\right) = \sqrt{3}$;

ж) $sin x = \frac{5}{6}$;

з) $cos \left(x + \frac{\pi}{4}\right) = 1$;

и) $sin \left(3x - \frac{\pi}{3}\right) = 0$.

Решение. №1.351 (с. 114)
Алгебра, 10 класс Учебник, авторы: Арефьева Ирина Глебовна, Пирютко Ольга Николаевна, издательство Народная асвета, Минск, 2019, голубого цвета, страница 114, номер 1.351, Решение Алгебра, 10 класс Учебник, авторы: Арефьева Ирина Глебовна, Пирютко Ольга Николаевна, издательство Народная асвета, Минск, 2019, голубого цвета, страница 114, номер 1.351, Решение (продолжение 2)
Решение 2. №1.351 (с. 114)

Ниже представлены развернутые решения для каждого тригонометрического уравнения.

а) $ \sin x = \frac{\sqrt{2}}{2} $

Это простейшее тригонометрическое уравнение. Общая формула для решения уравнения $ \sin x = a $, где $ |a| \le 1 $, имеет вид: $ x = (-1)^n \arcsin(a) + \pi n $, где $ n \in \mathbb{Z} $ (n - любое целое число).

В данном случае $ a = \frac{\sqrt{2}}{2} $. Это табличное значение для синуса.

$ \arcsin(\frac{\sqrt{2}}{2}) = \frac{\pi}{4} $.

Подставляем это значение в общую формулу:

$ x = (-1)^n \frac{\pi}{4} + \pi n, n \in \mathbb{Z} $.

Ответ: $ x = (-1)^n \frac{\pi}{4} + \pi n, n \in \mathbb{Z} $.

б) $ \cos x = \frac{\sqrt{3}}{2} $

Общая формула для решения уравнения $ \cos x = a $, где $ |a| \le 1 $, имеет вид: $ x = \pm \arccos(a) + 2\pi n $, где $ n \in \mathbb{Z} $.

В данном случае $ a = \frac{\sqrt{3}}{2} $. Это также табличное значение.

$ \arccos(\frac{\sqrt{3}}{2}) = \frac{\pi}{6} $.

Подставляем в общую формулу:

$ x = \pm \frac{\pi}{6} + 2\pi n, n \in \mathbb{Z} $.

Ответ: $ x = \pm \frac{\pi}{6} + 2\pi n, n \in \mathbb{Z} $.

в) $ \sin \frac{x}{4} = \frac{\sqrt{3}}{2} $

Сначала решим уравнение относительно аргумента синуса, то есть $ \frac{x}{4} $.

$ \frac{x}{4} = (-1)^n \arcsin(\frac{\sqrt{3}}{2}) + \pi n, n \in \mathbb{Z} $.

$ \arcsin(\frac{\sqrt{3}}{2}) = \frac{\pi}{3} $.

Получаем: $ \frac{x}{4} = (-1)^n \frac{\pi}{3} + \pi n, n \in \mathbb{Z} $.

Теперь, чтобы найти $ x $, умножим обе части уравнения на 4:

$ x = 4 \left( (-1)^n \frac{\pi}{3} + \pi n \right) = (-1)^n \frac{4\pi}{3} + 4\pi n, n \in \mathbb{Z} $.

Дробь $ \frac{4}{3} $ является неправильной. Выделим целую часть: $ \frac{4}{3} = 1\frac{1}{3} $.

Ответ: $ x = (-1)^n 1\frac{1}{3}\pi + 4\pi n, n \in \mathbb{Z} $.

г) $ \cos 2x = -\frac{\sqrt{2}}{2} $

Решаем относительно $ 2x $:

$ 2x = \pm \arccos(-\frac{\sqrt{2}}{2}) + 2\pi n, n \in \mathbb{Z} $.

Используем свойство арккосинуса $ \arccos(-a) = \pi - \arccos(a) $:

$ \arccos(-\frac{\sqrt{2}}{2}) = \pi - \arccos(\frac{\sqrt{2}}{2}) = \pi - \frac{\pi}{4} = \frac{3\pi}{4} $.

Подставляем значение: $ 2x = \pm \frac{3\pi}{4} + 2\pi n, n \in \mathbb{Z} $.

Делим обе части на 2, чтобы найти $ x $:

$ x = \pm \frac{3\pi}{8} + \pi n, n \in \mathbb{Z} $.

Ответ: $ x = \pm \frac{3\pi}{8} + \pi n, n \in \mathbb{Z} $.

д) $ \sin(x - \frac{\pi}{9}) = -\frac{1}{2} $

Решаем относительно аргумента $ x - \frac{\pi}{9} $:

$ x - \frac{\pi}{9} = (-1)^n \arcsin(-\frac{1}{2}) + \pi n, n \in \mathbb{Z} $.

Используем свойство арксинуса $ \arcsin(-a) = -\arcsin(a) $:

$ \arcsin(-\frac{1}{2}) = -\arcsin(\frac{1}{2}) = -\frac{\pi}{6} $.

Подставляем: $ x - \frac{\pi}{9} = (-1)^n (-\frac{\pi}{6}) + \pi n = (-1)^{n+1} \frac{\pi}{6} + \pi n, n \in \mathbb{Z} $.

Выражаем $ x $, перенося $ \frac{\pi}{9} $ в правую часть:

$ x = \frac{\pi}{9} + (-1)^{n+1} \frac{\pi}{6} + \pi n, n \in \mathbb{Z} $.

Ответ: $ x = \frac{\pi}{9} + (-1)^{n+1} \frac{\pi}{6} + \pi n, n \in \mathbb{Z} $.

е) $ \cos(x + \frac{\pi}{10}) = \sqrt{3} $

Область значений функции косинус - это отрезок $ [-1, 1] $.

Значение $ \sqrt{3} \approx 1.732 $, что больше 1.

Так как $ \sqrt{3} > 1 $, данное уравнение не имеет действительных решений.

Ответ: решений нет.

ж) $ \sin x = \frac{5}{6} $

Так как $ |\frac{5}{6}| < 1 $, уравнение имеет решения. Используем общую формулу:

$ x = (-1)^n \arcsin(a) + \pi n, n \in \mathbb{Z} $.

Число $ \frac{5}{6} $ не является табличным значением для синуса, поэтому ответ записывается через арксинус.

Ответ: $ x = (-1)^n \arcsin\frac{5}{6} + \pi n, n \in \mathbb{Z} $.

з) $ \cos(x + \frac{\pi}{4}) = 1 $

Это частный случай тригонометрического уравнения. Равенство $ \cos(t) = 1 $ выполняется, когда $ t = 2\pi n, n \in \mathbb{Z} $.

В нашем случае $ t = x + \frac{\pi}{4} $.

$ x + \frac{\pi}{4} = 2\pi n, n \in \mathbb{Z} $.

Выражаем $ x $:

$ x = -\frac{\pi}{4} + 2\pi n, n \in \mathbb{Z} $.

Ответ: $ x = -\frac{\pi}{4} + 2\pi n, n \in \mathbb{Z} $.

и) $ \sin(3x - \frac{\pi}{3}) = 0 $

Это также частный случай. Равенство $ \sin(t) = 0 $ выполняется, когда $ t = \pi n, n \in \mathbb{Z} $.

В нашем случае $ t = 3x - \frac{\pi}{3} $.

$ 3x - \frac{\pi}{3} = \pi n, n \in \mathbb{Z} $.

Выражаем $ 3x $:

$ 3x = \frac{\pi}{3} + \pi n, n \in \mathbb{Z} $.

Делим обе части на 3, чтобы найти $ x $:

$ x = \frac{\pi}{9} + \frac{\pi n}{3}, n \in \mathbb{Z} $.

Ответ: $ x = \frac{\pi}{9} + \frac{\pi n}{3}, n \in \mathbb{Z} $.

Помогло решение? Оставьте отзыв в комментариях ниже.

Присоединяйтесь к Телеграм-группе @gdz_by_belarus

Присоединиться

Мы подготовили для вас ответ c подробным объяснением домашего задания по алгебре за 10 класс, для упражнения номер 1.351 расположенного на странице 114 к учебнику 2019 года издания для учащихся школ и гимназий.

Теперь на нашем сайте ГДЗ.ТОП вы всегда легко и бесплатно найдёте условие с правильным ответом на вопрос «Как решить ДЗ» и «Как сделать» задание по алгебре к упражнению №1.351 (с. 114), авторов: Арефьева (Ирина Глебовна), Пирютко (Ольга Николаевна), учебного пособия издательства Народная асвета.