Номер 1.486, страница 149 - гдз по алгебре 10 класс учебник Арефьева, Пирютко

Алгебра, 10 класс Учебник, авторы: Арефьева Ирина Глебовна, Пирютко Ольга Николаевна, издательство Народная асвета, Минск, 2019, голубого цвета

Авторы: Арефьева И. Г., Пирютко О. Н.

Тип: Учебник

Издательство: Народная асвета

Год издания: 2019 - 2026

Цвет обложки: голубой с графиком

Допущено Министерством образования Республики Беларусь

Популярные ГДЗ в 10 классе

Глава 1. Тригонометрия. Параграф 11. Формулы двойного аргумента - номер 1.486, страница 149.

№1.486 (с. 149)
Условие. №1.486 (с. 149)
скриншот условия
Алгебра, 10 класс Учебник, авторы: Арефьева Ирина Глебовна, Пирютко Ольга Николаевна, издательство Народная асвета, Минск, 2019, голубого цвета, страница 149, номер 1.486, Условие

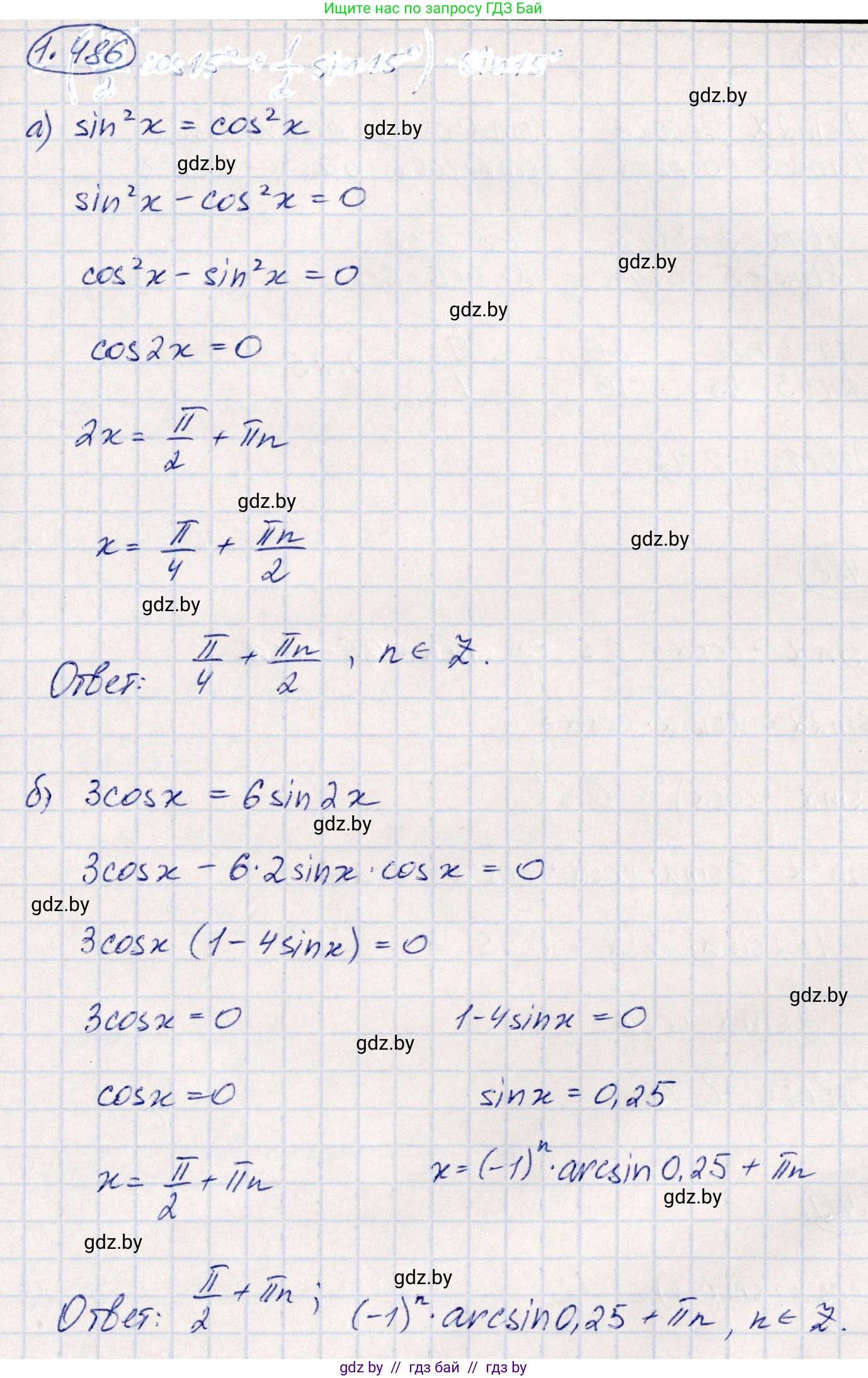
1.486. Найдите абсциссы точек пересечения графиков функций:

а) $y = \sin^2 x$ и $y = \cos^2 x$;

б) $y = 3\cos x$ и $y = 6\sin 2x$.

Решение. №1.486 (с. 149)
Алгебра, 10 класс Учебник, авторы: Арефьева Ирина Глебовна, Пирютко Ольга Николаевна, издательство Народная асвета, Минск, 2019, голубого цвета, страница 149, номер 1.486, Решение
Решение 2. №1.486 (с. 149)

а) Чтобы найти абсциссы точек пересечения графиков функций $y = \sin^2 x$ и $y = \cos^2 x$, необходимо приравнять их правые части:

$\sin^2 x = \cos^2 x$

Перенесем все слагаемые в левую часть уравнения:

$\sin^2 x - \cos^2 x = 0$

Умножим обе части уравнения на -1:

$\cos^2 x - \sin^2 x = 0$

Воспользуемся формулой косинуса двойного угла, которая гласит: $\cos(2x) = \cos^2 x - \sin^2 x$.

Таким образом, наше уравнение принимает вид:

$\cos(2x) = 0$

Это простейшее тригонометрическое уравнение, решения которого находятся по формуле:

$2x = \frac{\pi}{2} + \pi k$, где $k \in \mathbb{Z}$ (k — любое целое число).

Чтобы найти $x$, разделим обе части на 2:

$x = \frac{\pi}{4} + \frac{\pi k}{2}$, где $k \in \mathbb{Z}$.

Ответ: $x = \frac{\pi}{4} + \frac{\pi k}{2}$, где $k \in \mathbb{Z}$.

б) Чтобы найти абсциссы точек пересечения графиков функций $y = 3\cos x$ и $y = 6\sin 2x$, приравняем их правые части:

$3\cos x = 6\sin 2x$

Применим формулу синуса двойного угла: $\sin(2x) = 2\sin x \cos x$.

$3\cos x = 6(2\sin x \cos x)$

$3\cos x = 12\sin x \cos x$

Перенесем все слагаемые в одну сторону:

$12\sin x \cos x - 3\cos x = 0$

Вынесем общий множитель $3\cos x$ за скобки:

$3\cos x (4\sin x - 1) = 0$

Произведение равно нулю, если хотя бы один из множителей равен нулю. Это приводит к двум независимым уравнениям:

1) $3\cos x = 0 \implies \cos x = 0$

Решения этого уравнения:

$x = \frac{\pi}{2} + \pi n$, где $n \in \mathbb{Z}$.

2) $4\sin x - 1 = 0$

$4\sin x = 1$

$\sin x = \frac{1}{4}$

Решения этого уравнения находятся по общей формуле:

$x = (-1)^k \arcsin(\frac{1}{4}) + \pi k$, где $k \in \mathbb{Z}$.

Таким образом, абсциссы точек пересечения — это объединение решений обоих уравнений.

Ответ: $x = \frac{\pi}{2} + \pi n$; $x = (-1)^k \arcsin(\frac{1}{4}) + \pi k$, где $n, k \in \mathbb{Z}$.

Помогло решение? Оставьте отзыв в комментариях ниже.

Присоединяйтесь к Телеграм-группе @gdz_by_belarus

Присоединиться

Мы подготовили для вас ответ c подробным объяснением домашего задания по алгебре за 10 класс, для упражнения номер 1.486 расположенного на странице 149 к учебнику 2019 года издания для учащихся школ и гимназий.

Теперь на нашем сайте ГДЗ.ТОП вы всегда легко и бесплатно найдёте условие с правильным ответом на вопрос «Как решить ДЗ» и «Как сделать» задание по алгебре к упражнению №1.486 (с. 149), авторов: Арефьева (Ирина Глебовна), Пирютко (Ольга Николаевна), учебного пособия издательства Народная асвета.