Номер 1.491, страница 149 - гдз по алгебре 10 класс учебник Арефьева, Пирютко

Алгебра, 10 класс Учебник, авторы: Арефьева Ирина Глебовна, Пирютко Ольга Николаевна, издательство Народная асвета, Минск, 2019, голубого цвета

Авторы: Арефьева И. Г., Пирютко О. Н.

Тип: Учебник

Издательство: Народная асвета

Год издания: 2019 - 2026

Цвет обложки: голубой с графиком

Допущено Министерством образования Республики Беларусь

Популярные ГДЗ в 10 классе

Глава 1. Тригонометрия. Параграф 11. Формулы двойного аргумента - номер 1.491, страница 149.

№1.491 (с. 149)
Условие. №1.491 (с. 149)
скриншот условия
Алгебра, 10 класс Учебник, авторы: Арефьева Ирина Глебовна, Пирютко Ольга Николаевна, издательство Народная асвета, Минск, 2019, голубого цвета, страница 149, номер 1.491, Условие

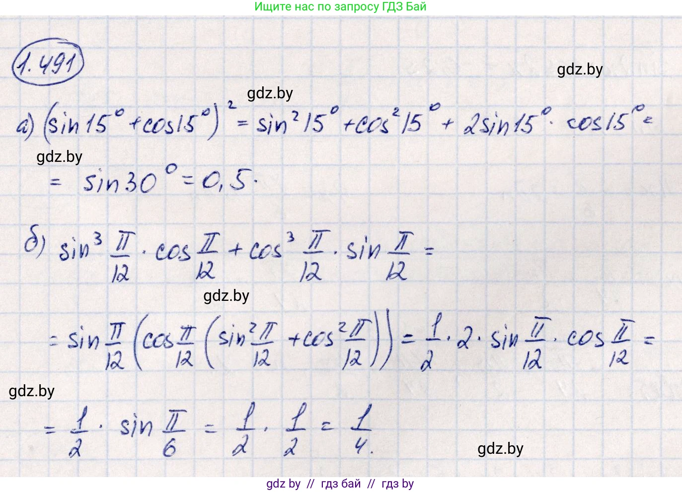
1.491. Найдите значение выражения:

a) $(sin 15^{\circ} + cos 15^{\circ})^2$;

б) $sin^3 \frac{\pi}{12} cos \frac{\pi}{12} + cos^3 \frac{\pi}{12} sin \frac{\pi}{12}$.

Решение. №1.491 (с. 149)
Алгебра, 10 класс Учебник, авторы: Арефьева Ирина Глебовна, Пирютко Ольга Николаевна, издательство Народная асвета, Минск, 2019, голубого цвета, страница 149, номер 1.491, Решение
Решение 2. №1.491 (с. 149)

а) Для нахождения значения выражения $(\sin 15^\circ + \cos 15^\circ)^2$ воспользуемся формулой квадрата суммы: $(a+b)^2 = a^2 + 2ab + b^2$.

$(\sin 15^\circ + \cos 15^\circ)^2 = \sin^2 15^\circ + 2\sin 15^\circ \cos 15^\circ + \cos^2 15^\circ$

Сгруппируем первое и третье слагаемые и применим основное тригонометрическое тождество $\sin^2 \alpha + \cos^2 \alpha = 1$. Для второго слагаемого применим формулу синуса двойного угла $\sin 2\alpha = 2\sin \alpha \cos \alpha$.

$(\sin^2 15^\circ + \cos^2 15^\circ) + 2\sin 15^\circ \cos 15^\circ = 1 + \sin(2 \cdot 15^\circ) = 1 + \sin 30^\circ$

Так как значение $\sin 30^\circ = \frac{1}{2}$, получаем:

$1 + \frac{1}{2} = \frac{2}{2} + \frac{1}{2} = \frac{3}{2}$

Преобразуем неправильную дробь в смешанное число: $\frac{3}{2} = 1\frac{1}{2}$.

Ответ: 1$\frac{1}{2}$.

б) Для упрощения выражения $\sin^3 \frac{\pi}{12}\cos \frac{\pi}{12} + \cos^3 \frac{\pi}{12}\sin \frac{\pi}{12}$ вынесем общий множитель $\sin \frac{\pi}{12}\cos \frac{\pi}{12}$ за скобки.

$\sin \frac{\pi}{12}\cos \frac{\pi}{12}(\sin^2 \frac{\pi}{12} + \cos^2 \frac{\pi}{12})$

Выражение в скобках, согласно основному тригонометрическому тождеству $\sin^2 \alpha + \cos^2 \alpha = 1$, равно единице.

$\sin \frac{\pi}{12}\cos \frac{\pi}{12} \cdot 1 = \sin \frac{\pi}{12}\cos \frac{\pi}{12}$

Теперь воспользуемся формулой синуса двойного угла $\sin 2\alpha = 2\sin \alpha \cos \alpha$, из которой можно выразить $\sin \alpha \cos \alpha = \frac{1}{2}\sin 2\alpha$.

$\sin \frac{\pi}{12}\cos \frac{\pi}{12} = \frac{1}{2}\sin(2 \cdot \frac{\pi}{12}) = \frac{1}{2}\sin(\frac{2\pi}{12}) = \frac{1}{2}\sin(\frac{\pi}{6})$

Значение $\sin \frac{\pi}{6} = \frac{1}{2}$, следовательно:

$\frac{1}{2} \cdot \frac{1}{2} = \frac{1}{4}$

Ответ: $\frac{1}{4}$.

Помогло решение? Оставьте отзыв в комментариях ниже.

Присоединяйтесь к Телеграм-группе @gdz_by_belarus

Присоединиться

Мы подготовили для вас ответ c подробным объяснением домашего задания по алгебре за 10 класс, для упражнения номер 1.491 расположенного на странице 149 к учебнику 2019 года издания для учащихся школ и гимназий.

Теперь на нашем сайте ГДЗ.ТОП вы всегда легко и бесплатно найдёте условие с правильным ответом на вопрос «Как решить ДЗ» и «Как сделать» задание по алгебре к упражнению №1.491 (с. 149), авторов: Арефьева (Ирина Глебовна), Пирютко (Ольга Николаевна), учебного пособия издательства Народная асвета.