Номер 3.37, страница 236 - гдз по алгебре 10 класс учебник Арефьева, Пирютко

Алгебра, 10 класс Учебник, авторы: Арефьева Ирина Глебовна, Пирютко Ольга Николаевна, издательство Народная асвета, Минск, 2019, голубого цвета

Авторы: Арефьева И. Г., Пирютко О. Н.

Тип: Учебник

Издательство: Народная асвета

Год издания: 2019 - 2026

Цвет обложки: голубой с графиком

Допущено Министерством образования Республики Беларусь

Популярные ГДЗ в 10 классе

Глава 3. Производная. Параграф 19. Правила вычисления производных - номер 3.37, страница 236.

№3.37 (с. 236)
Условие. №3.37 (с. 236)
скриншот условия
Алгебра, 10 класс Учебник, авторы: Арефьева Ирина Глебовна, Пирютко Ольга Николаевна, издательство Народная асвета, Минск, 2019, голубого цвета, страница 236, номер 3.37, Условие

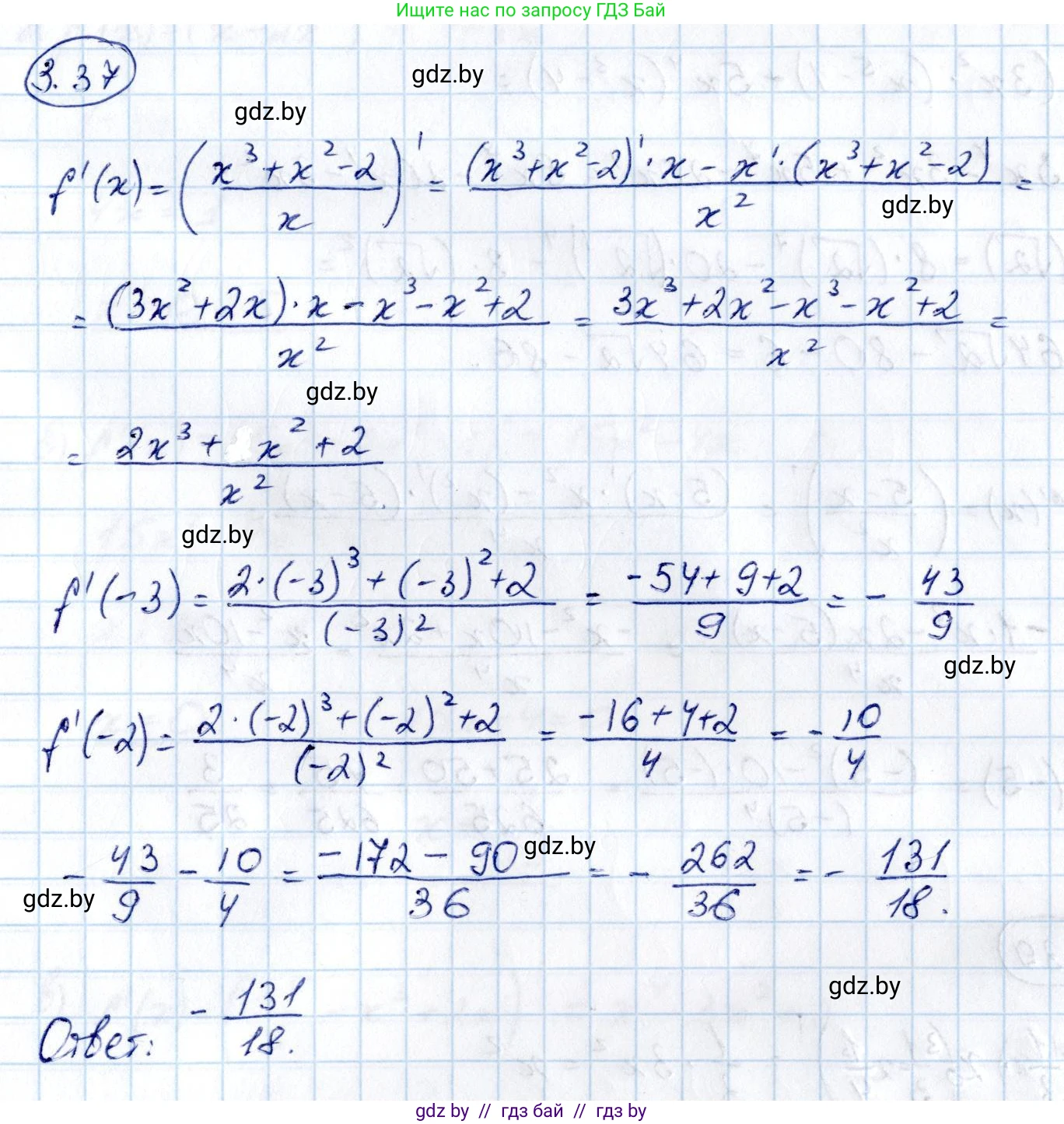
3.37. Найдите значение выражения $f'(-3) + f'(-2)$ для функции $f(x) = \frac{x^3 + x^2 - 2}{x}$.

Решение. №3.37 (с. 236)
Алгебра, 10 класс Учебник, авторы: Арефьева Ирина Глебовна, Пирютко Ольга Николаевна, издательство Народная асвета, Минск, 2019, голубого цвета, страница 236, номер 3.37, Решение
Решение 2. №3.37 (с. 236)

Для нахождения значения выражения $f'(-3) + f'(-2)$ для функции $f(x) = \frac{x^3 + x^2 - 2}{x}$, необходимо последовательно выполнить следующие действия:

1. Найти производную функции $f(x)$.

Для удобства сначала упростим выражение для функции, разделив числитель на знаменатель (это возможно, так как точки $x=-3$ и $x=-2$ не равны нулю):

$f(x) = \frac{x^3}{x} + \frac{x^2}{x} - \frac{2}{x} = x^2 + x - 2x^{-1}$

Теперь найдем производную $f'(x)$, используя стандартные правила дифференцирования:

$f'(x) = (x^2 + x - 2x^{-1})' = 2x + 1 - 2(-1)x^{-2} = 2x + 1 + \frac{2}{x^2}$

2. Вычислить значения производной в заданных точках.

Подставим $x = -3$ в найденное выражение для производной:

$f'(-3) = 2(-3) + 1 + \frac{2}{(-3)^2} = -6 + 1 + \frac{2}{9} = -5 + \frac{2}{9}$

Приведем к общему знаменателю: $-5 + \frac{2}{9} = -\frac{45}{9} + \frac{2}{9} = -\frac{43}{9}$

Подставим $x = -2$ в выражение для производной:

$f'(-2) = 2(-2) + 1 + \frac{2}{(-2)^2} = -4 + 1 + \frac{2}{4} = -3 + \frac{1}{2}$

Приведем к общему знаменателю: $-3 + \frac{1}{2} = -\frac{6}{2} + \frac{1}{2} = -\frac{5}{2}$

3. Найти сумму полученных значений.

$f'(-3) + f'(-2) = -\frac{43}{9} + (-\frac{5}{2}) = -\frac{43}{9} - \frac{5}{2}$

Для сложения дробей найдем общий знаменатель, который равен 18:

$-\frac{43 \cdot 2}{9 \cdot 2} - \frac{5 \cdot 9}{2 \cdot 9} = -\frac{86}{18} - \frac{45}{18} = \frac{-86 - 45}{18} = -\frac{131}{18}$

4. Представить результат в требуемом виде.

Неправильная дробь $-\frac{131}{18}$ преобразуется в смешанное число. Для этого разделим 131 на 18 с остатком:

$131 \div 18 = 7$ (остаток $131 - 18 \cdot 7 = 131 - 126 = 5$)

Таким образом, $-\frac{131}{18} = -7\frac{5}{18}$.

Согласно условию, необходимо выделить целую часть.

Ответ: -7\frac{5}{18}

Помогло решение? Оставьте отзыв в комментариях ниже.

Присоединяйтесь к Телеграм-группе @gdz_by_belarus

Присоединиться

Мы подготовили для вас ответ c подробным объяснением домашего задания по алгебре за 10 класс, для упражнения номер 3.37 расположенного на странице 236 к учебнику 2019 года издания для учащихся школ и гимназий.

Теперь на нашем сайте ГДЗ.ТОП вы всегда легко и бесплатно найдёте условие с правильным ответом на вопрос «Как решить ДЗ» и «Как сделать» задание по алгебре к упражнению №3.37 (с. 236), авторов: Арефьева (Ирина Глебовна), Пирютко (Ольга Николаевна), учебного пособия издательства Народная асвета.