Номер 3.43, страница 236 - гдз по алгебре 10 класс учебник Арефьева, Пирютко

Алгебра, 10 класс Учебник, авторы: Арефьева Ирина Глебовна, Пирютко Ольга Николаевна, издательство Народная асвета, Минск, 2019, голубого цвета

Авторы: Арефьева И. Г., Пирютко О. Н.

Тип: Учебник

Издательство: Народная асвета

Год издания: 2019 - 2026

Цвет обложки: голубой с графиком

Допущено Министерством образования Республики Беларусь

Популярные ГДЗ в 10 классе

Глава 3. Производная. Параграф 19. Правила вычисления производных - номер 3.43, страница 236.

№3.43 (с. 236)
Условие. №3.43 (с. 236)
скриншот условия
Алгебра, 10 класс Учебник, авторы: Арефьева Ирина Глебовна, Пирютко Ольга Николаевна, издательство Народная асвета, Минск, 2019, голубого цвета, страница 236, номер 3.43, Условие

3.43. Решите неравенство $f'(x) > 0$, если:

а) $f(x) = x^3 - x^2 - x$;

б) $f(x) = 27x - x^3$;

в) $f(x) = \frac{-2x^3}{3} + x^2 + 24;

г) $f(x) = \frac{x}{x^2 + 3}$;

д) $f(x) = x + \frac{4}{x}$;

е) $f(x) = \frac{x^2 - 1}{x}$.

Решение. №3.43 (с. 236)
Алгебра, 10 класс Учебник, авторы: Арефьева Ирина Глебовна, Пирютко Ольга Николаевна, издательство Народная асвета, Минск, 2019, голубого цвета, страница 236, номер 3.43, Решение Алгебра, 10 класс Учебник, авторы: Арефьева Ирина Глебовна, Пирютко Ольга Николаевна, издательство Народная асвета, Минск, 2019, голубого цвета, страница 236, номер 3.43, Решение (продолжение 2)
Решение 2. №3.43 (с. 236)

Для решения задачи необходимо для каждой функции $f(x)$ найти ее производную $f'(x)$ и затем решить неравенство $f'(x) > 0$.

а) $f(x) = x^3 - x^2 - x$

1. Находим производную функции:

$f'(x) = (x^3 - x^2 - x)' = 3x^2 - 2x - 1$.

2. Решаем неравенство $f'(x) > 0$:

$3x^2 - 2x - 1 > 0$.

Это квадратичное неравенство. Сначала найдем корни уравнения $3x^2 - 2x - 1 = 0$.
Дискриминант $D = b^2 - 4ac = (-2)^2 - 4 \cdot 3 \cdot (-1) = 4 + 12 = 16$.
Корни уравнения: $x_{1,2} = \frac{-b \pm \sqrt{D}}{2a} = \frac{2 \pm \sqrt{16}}{2 \cdot 3} = \frac{2 \pm 4}{6}$.

$x_1 = \frac{2 + 4}{6} = 1$

$x_2 = \frac{2 - 4}{6} = -\frac{2}{6} = -\frac{1}{3}$

Так как коэффициент при $x^2$ равен 3 (положительный), ветви параболы $y = 3x^2 - 2x - 1$ направлены вверх. Следовательно, неравенство $3x^2 - 2x - 1 > 0$ выполняется, когда $x$ находится вне интервала между корнями.

Ответ: $x \in (-\infty; -\frac{1}{3}) \cup (1; +\infty)$.

б) $f(x) = 27x - x^3$

1. Находим производную функции:

$f'(x) = (27x - x^3)' = 27 - 3x^2$.

2. Решаем неравенство $f'(x) > 0$:

$27 - 3x^2 > 0$.

$-3x^2 > -27$.

Делим обе части на -3 и меняем знак неравенства:

$x^2 < 9$.

Это неравенство равносильно $|x| < 3$, то есть $-3 < x < 3$.

Ответ: $x \in (-3; 3)$.

в) $f(x) = \frac{-2x^3}{3} + x^2 + 24$

1. Находим производную функции:

$f'(x) = (\frac{-2x^3}{3} + x^2 + 24)' = -\frac{2}{3} \cdot 3x^2 + 2x = -2x^2 + 2x$.

2. Решаем неравенство $f'(x) > 0$:

$-2x^2 + 2x > 0$.

Делим обе части на -2 и меняем знак неравенства:

$x^2 - x < 0$.

Выносим $x$ за скобки:

$x(x-1) < 0$.

Корни уравнения $x(x-1)=0$ равны $x=0$ и $x=1$. Ветви параболы $y = x^2 - x$ направлены вверх. Неравенство выполняется между корнями.

Ответ: $x \in (0; 1)$.

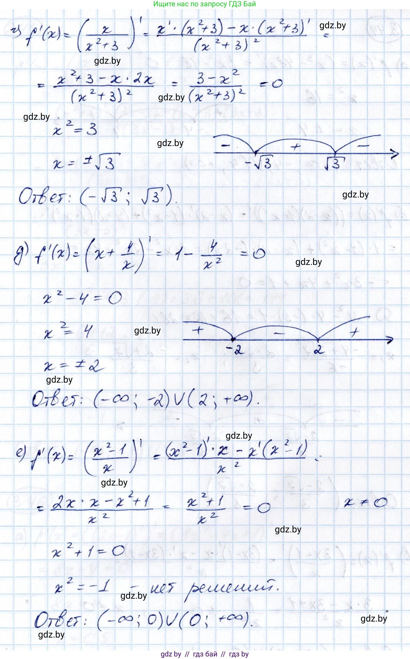
г) $f(x) = \frac{x}{x^2 + 3}$

1. Находим производную, используя правило производной частного $(\frac{u}{v})' = \frac{u'v - uv'}{v^2}$:

$f'(x) = \frac{(x)'(x^2+3) - x(x^2+3)'}{(x^2+3)^2} = \frac{1 \cdot (x^2+3) - x \cdot (2x)}{(x^2+3)^2} = \frac{x^2+3-2x^2}{(x^2+3)^2} = \frac{3-x^2}{(x^2+3)^2}$.

2. Решаем неравенство $f'(x) > 0$:

$\frac{3-x^2}{(x^2+3)^2} > 0$.

Знаменатель $(x^2+3)^2$ всегда положителен при любом $x$. Следовательно, знак дроби зависит только от знака числителя:

$3 - x^2 > 0$.

$x^2 < 3$.

Это неравенство равносильно $|x| < \sqrt{3}$, то есть $-\sqrt{3} < x < \sqrt{3}$.

Ответ: $x \in (-\sqrt{3}; \sqrt{3})$.

д) $f(x) = x + \frac{4}{x}$

1. Находим производную функции (область определения $x \neq 0$):

$f'(x) = (x + 4x^{-1})' = 1 - 4x^{-2} = 1 - \frac{4}{x^2}$.

2. Решаем неравенство $f'(x) > 0$:

$1 - \frac{4}{x^2} > 0$.

Приводим к общему знаменателю:

$\frac{x^2 - 4}{x^2} > 0$.

Знаменатель $x^2$ положителен при $x \neq 0$. Значит, знак дроби определяется знаком числителя:

$x^2 - 4 > 0$.

$x^2 > 4$.

Это неравенство выполняется, когда $|x| > 2$, то есть $x < -2$ или $x > 2$.

Ответ: $x \in (-\infty; -2) \cup (2; +\infty)$.

е) $f(x) = \frac{x^2-1}{x}$

1. Находим производную функции (область определения $x \neq 0$). Функцию можно переписать как $f(x) = x - \frac{1}{x}$:

$f'(x) = (x - x^{-1})' = 1 - (-1)x^{-2} = 1 + \frac{1}{x^2}$.

2. Решаем неравенство $f'(x) > 0$:

$1 + \frac{1}{x^2} > 0$.

Приведем к общему знаменателю:

$\frac{x^2+1}{x^2} > 0$.

Для любого $x \neq 0$:
Числитель $x^2+1$ всегда положителен (так как $x^2 \ge 0$, то $x^2+1 \ge 1$).
Знаменатель $x^2$ также всегда положителен.

Следовательно, дробь положительна для всех $x$ из области определения функции.

Ответ: $x \in (-\infty; 0) \cup (0; +\infty)$.

Помогло решение? Оставьте отзыв в комментариях ниже.

Присоединяйтесь к Телеграм-группе @gdz_by_belarus

Присоединиться

Мы подготовили для вас ответ c подробным объяснением домашего задания по алгебре за 10 класс, для упражнения номер 3.43 расположенного на странице 236 к учебнику 2019 года издания для учащихся школ и гимназий.

Теперь на нашем сайте ГДЗ.ТОП вы всегда легко и бесплатно найдёте условие с правильным ответом на вопрос «Как решить ДЗ» и «Как сделать» задание по алгебре к упражнению №3.43 (с. 236), авторов: Арефьева (Ирина Глебовна), Пирютко (Ольга Николаевна), учебного пособия издательства Народная асвета.