Номер 3.40, страница 236 - гдз по алгебре 10 класс учебник Арефьева, Пирютко

Алгебра, 10 класс Учебник, авторы: Арефьева Ирина Глебовна, Пирютко Ольга Николаевна, издательство Народная асвета, Минск, 2019, голубого цвета

Авторы: Арефьева И. Г., Пирютко О. Н.

Тип: Учебник

Издательство: Народная асвета

Год издания: 2019 - 2026

Цвет обложки: голубой с графиком

Допущено Министерством образования Республики Беларусь

Популярные ГДЗ в 10 классе

Глава 3. Производная. Параграф 19. Правила вычисления производных - номер 3.40, страница 236.

№3.40 (с. 236)
Условие. №3.40 (с. 236)
скриншот условия
Алгебра, 10 класс Учебник, авторы: Арефьева Ирина Глебовна, Пирютко Ольга Николаевна, издательство Народная асвета, Минск, 2019, голубого цвета, страница 236, номер 3.40, Условие

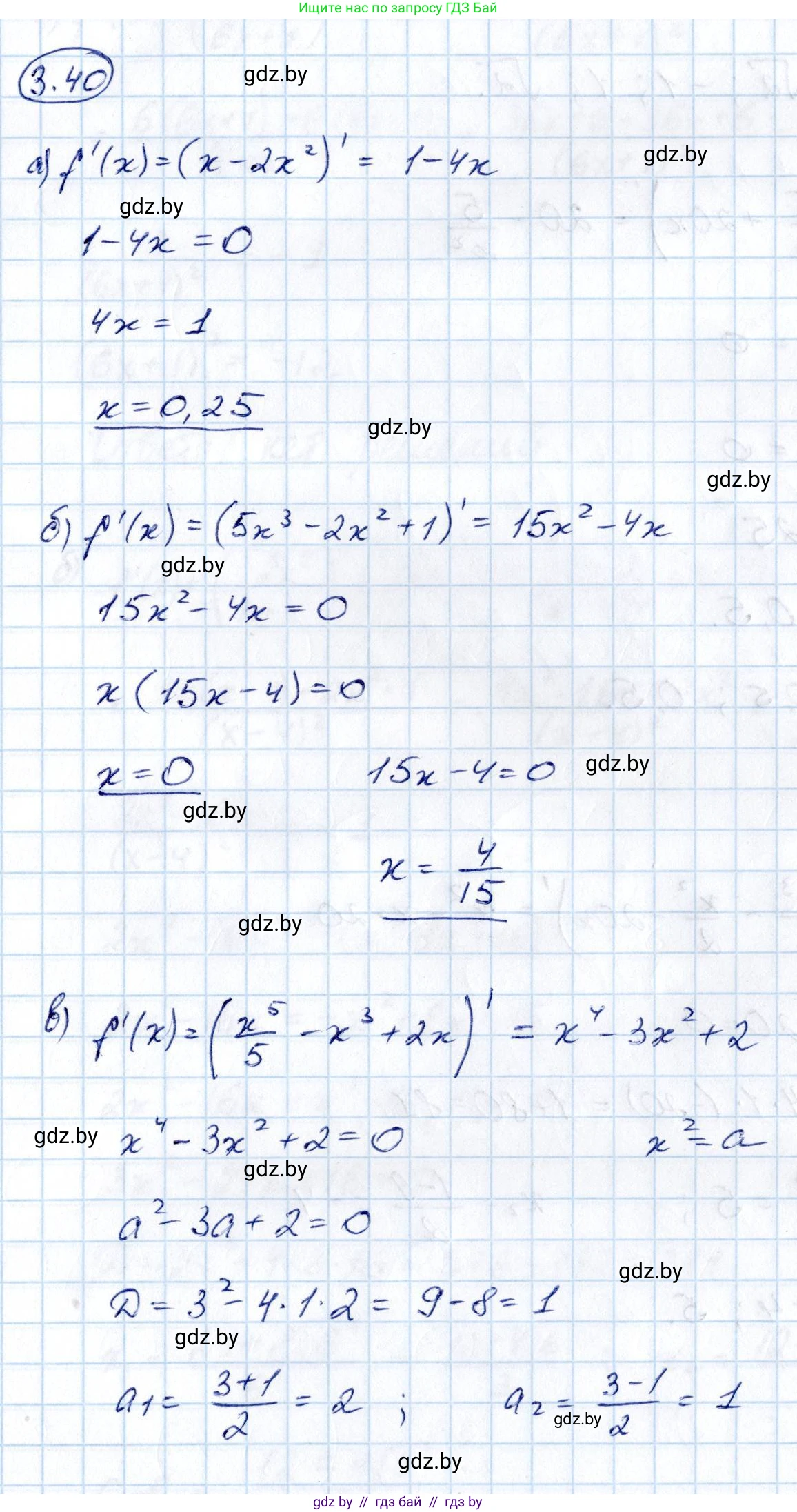
3.40. Решите уравнение $f'(x) = 0$, если:

а) $f(x) = x - 2x^2$;

б) $f(x) = 5x^3 - 2x^2 + 1$;

В) $f(x) = \frac{x^5}{5} - x^3 + 2x$;

Г) $f(x) = \frac{5}{x} + 20x$.

Решение. №3.40 (с. 236)
Алгебра, 10 класс Учебник, авторы: Арефьева Ирина Глебовна, Пирютко Ольга Николаевна, издательство Народная асвета, Минск, 2019, голубого цвета, страница 236, номер 3.40, Решение Алгебра, 10 класс Учебник, авторы: Арефьева Ирина Глебовна, Пирютко Ольга Николаевна, издательство Народная асвета, Минск, 2019, голубого цвета, страница 236, номер 3.40, Решение (продолжение 2)
Решение 2. №3.40 (с. 236)

Для решения уравнения $f'(x) = 0$ необходимо сначала найти производную функции $f(x)$, а затем приравнять ее к нулю и решить полученное уравнение.

а) Дана функция $f(x) = x - 2x^2$.

Найдем ее производную $f'(x)$, используя правила дифференцирования степенной функции $(x^n)' = nx^{n-1}$ и суммы/разности функций:

$f'(x) = (x - 2x^2)' = (x)' - (2x^2)' = 1 - 2 \cdot 2x = 1 - 4x$.

Теперь решим уравнение $f'(x) = 0$:

$1 - 4x = 0$

$4x = 1$

$x = \frac{1}{4}$

Ответ: $x = \frac{1}{4}$.

б) Дана функция $f(x) = 5x^3 - 2x^2 + 1$.

Найдем ее производную $f'(x)$:

$f'(x) = (5x^3 - 2x^2 + 1)' = (5x^3)' - (2x^2)' + (1)' = 5 \cdot 3x^2 - 2 \cdot 2x + 0 = 15x^2 - 4x$.

Решим уравнение $f'(x) = 0$:

$15x^2 - 4x = 0$

Вынесем общий множитель $x$ за скобки:

$x(15x - 4) = 0$

Произведение равно нулю, если хотя бы один из множителей равен нулю:

$x_1 = 0$

или

$15x - 4 = 0 \implies 15x = 4 \implies x_2 = \frac{4}{15}$

Ответ: $x_1 = 0, x_2 = \frac{4}{15}$.

в) Дана функция $f(x) = \frac{x^5}{5} - x^3 + 2x$.

Найдем ее производную $f'(x)$:

$f'(x) = (\frac{x^5}{5} - x^3 + 2x)' = (\frac{1}{5}x^5)' - (x^3)' + (2x)' = \frac{1}{5} \cdot 5x^4 - 3x^2 + 2 = x^4 - 3x^2 + 2$.

Решим уравнение $f'(x) = 0$:

$x^4 - 3x^2 + 2 = 0$

Это биквадратное уравнение. Сделаем замену переменной: пусть $t = x^2$, где $t \ge 0$. Уравнение примет вид:

$t^2 - 3t + 2 = 0$

Решим это квадратное уравнение относительно $t$. По теореме Виета, сумма корней равна 3, а их произведение равно 2. Следовательно, корни:

$t_1 = 1$, $t_2 = 2$

Оба корня неотрицательные, поэтому подходят. Вернемся к исходной переменной $x$:

1) $x^2 = 1 \implies x = \pm\sqrt{1} \implies x_{1,2} = \pm 1$.

2) $x^2 = 2 \implies x = \pm\sqrt{2} \implies x_{3,4} = \pm\sqrt{2}$.

Ответ: $x = \pm 1, x = \pm\sqrt{2}$.

г) Дана функция $f(x) = \frac{5}{x} + 20x$. Область определения функции: $x \neq 0$.

Для нахождения производной представим функцию в виде $f(x) = 5x^{-1} + 20x$.

$f'(x) = (5x^{-1} + 20x)' = (5x^{-1})' + (20x)' = 5 \cdot (-1)x^{-2} + 20 = -5x^{-2} + 20 = -\frac{5}{x^2} + 20$.

Решим уравнение $f'(x) = 0$:

$-\frac{5}{x^2} + 20 = 0$

$20 = \frac{5}{x^2}$

Умножим обе части на $x^2$ (учитывая, что $x \neq 0$):

$20x^2 = 5$

$x^2 = \frac{5}{20} = \frac{1}{4}$

Извлечем квадратный корень:

$x = \pm\sqrt{\frac{1}{4}}$

$x_{1,2} = \pm\frac{1}{2}$

Оба корня входят в область определения функции.

Ответ: $x = \pm\frac{1}{2}$.

Помогло решение? Оставьте отзыв в комментариях ниже.

Присоединяйтесь к Телеграм-группе @gdz_by_belarus

Присоединиться

Мы подготовили для вас ответ c подробным объяснением домашего задания по алгебре за 10 класс, для упражнения номер 3.40 расположенного на странице 236 к учебнику 2019 года издания для учащихся школ и гимназий.

Теперь на нашем сайте ГДЗ.ТОП вы всегда легко и бесплатно найдёте условие с правильным ответом на вопрос «Как решить ДЗ» и «Как сделать» задание по алгебре к упражнению №3.40 (с. 236), авторов: Арефьева (Ирина Глебовна), Пирютко (Ольга Николаевна), учебного пособия издательства Народная асвета.