Номер 3.46, страница 237 - гдз по алгебре 10 класс учебник Арефьева, Пирютко

Алгебра, 10 класс Учебник, авторы: Арефьева Ирина Глебовна, Пирютко Ольга Николаевна, издательство Народная асвета, Минск, 2019, голубого цвета

Авторы: Арефьева И. Г., Пирютко О. Н.

Тип: Учебник

Издательство: Народная асвета

Год издания: 2019 - 2026

Цвет обложки: голубой с графиком

Допущено Министерством образования Республики Беларусь

Глава 3. Производная. Параграф 19. Правила вычисления производных - номер 3.46, страница 237.

№3.46 (с. 237)
Условие. №3.46 (с. 237)
скриншот условия
Алгебра, 10 класс Учебник, авторы: Арефьева Ирина Глебовна, Пирютко Ольга Николаевна, издательство Народная асвета, Минск, 2019, голубого цвета, страница 237, номер 3.46, Условие

3.46. Примените формулу квадрата разности или квадрата суммы для нахождения производной функции и решите уравнение $f'(x) = 0$, если:

a) $f(x) = (2x-1)^2$;

б) $f(x) = \frac{(3x+5)^2}{x+1}$.

Решение. №3.46 (с. 237)
Алгебра, 10 класс Учебник, авторы: Арефьева Ирина Глебовна, Пирютко Ольга Николаевна, издательство Народная асвета, Минск, 2019, голубого цвета, страница 237, номер 3.46, Решение Алгебра, 10 класс Учебник, авторы: Арефьева Ирина Глебовна, Пирютко Ольга Николаевна, издательство Народная асвета, Минск, 2019, голубого цвета, страница 237, номер 3.46, Решение (продолжение 2)
Решение 2. №3.46 (с. 237)

а) Дана функция $f(x) = (2x-1)^2$.

Для нахождения производной сначала применим формулу квадрата разности $(a-b)^2 = a^2 - 2ab + b^2$:

$f(x) = (2x)^2 - 2 \cdot (2x) \cdot 1 + 1^2 = 4x^2 - 4x + 1$

Теперь найдем производную полученной функции:

$f'(x) = (4x^2 - 4x + 1)' = 4 \cdot 2x - 4 = 8x - 4$

Решим уравнение $f'(x) = 0$:

$8x - 4 = 0$

$8x = 4$

$x = \frac{4}{8} = \frac{1}{2}$

Ответ: $x = \frac{1}{2}$.

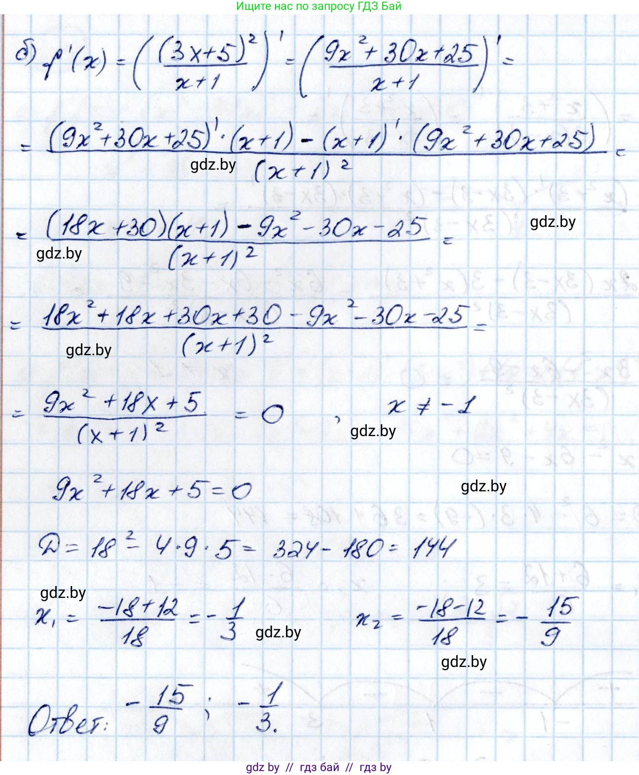
б) Дана функция $f(x) = \frac{(3x+5)^2}{x+1}$.

Для нахождения производной сначала применим формулу квадрата суммы $(a+b)^2 = a^2 + 2ab + b^2$ для числителя:

$f(x) = \frac{9x^2 + 30x + 25}{x+1}$

Теперь найдем производную, используя правило дифференцирования частного $(\frac{u}{v})' = \frac{u'v - uv'}{v^2}$.

Пусть $u = 9x^2 + 30x + 25$ и $v = x+1$. Тогда их производные:

$u' = (9x^2 + 30x + 25)' = 18x + 30$

$v' = (x+1)' = 1$

Подставляем в формулу производной частного:

$f'(x) = \frac{(18x+30)(x+1) - (9x^2+30x+25) \cdot 1}{(x+1)^2}$

Упростим выражение в числителе:

$f'(x) = \frac{18x^2 + 18x + 30x + 30 - 9x^2 - 30x - 25}{(x+1)^2} = \frac{9x^2 + 18x + 5}{(x+1)^2}$

Решим уравнение $f'(x) = 0$. Дробь равна нулю, когда ее числитель равен нулю, а знаменатель не равен нулю ($x+1 \neq 0$, т.е. $x \neq -1$).

$9x^2 + 18x + 5 = 0$

Решим это квадратное уравнение с помощью дискриминанта $D = b^2 - 4ac$:

$D = 18^2 - 4 \cdot 9 \cdot 5 = 324 - 180 = 144 = 12^2$

Корни уравнения:

$x_1 = \frac{-18 - \sqrt{144}}{2 \cdot 9} = \frac{-18 - 12}{18} = \frac{-30}{18} = -\frac{5}{3}$

$x_2 = \frac{-18 + \sqrt{144}}{2 \cdot 9} = \frac{-18 + 12}{18} = \frac{-6}{18} = -\frac{1}{3}$

Оба корня удовлетворяют условию $x \neq -1$.

Дробь $x_1 = -\frac{5}{3}$ является неправильной. Выделим целую часть: $-\frac{5}{3} = -1\frac{2}{3}$.

Ответ: $x_1 = -\mathbf{1}\frac{2}{3}, x_2 = -\frac{1}{3}$.

Помогло решение? Оставьте отзыв в комментариях ниже.

Присоединяйтесь к Телеграм-группе @gdz_by_belarus

Присоединиться

Мы подготовили для вас ответ c подробным объяснением домашего задания по алгебре за 10 класс, для упражнения номер 3.46 расположенного на странице 237 к учебнику 2019 года издания для учащихся школ и гимназий.

Теперь на нашем сайте ГДЗ.ТОП вы всегда легко и бесплатно найдёте условие с правильным ответом на вопрос «Как решить ДЗ» и «Как сделать» задание по алгебре к упражнению №3.46 (с. 237), авторов: Арефьева (Ирина Глебовна), Пирютко (Ольга Николаевна), учебного пособия издательства Народная асвета.