Номер 3.53, страница 237 - гдз по алгебре 10 класс учебник Арефьева, Пирютко

Алгебра, 10 класс Учебник, авторы: Арефьева Ирина Глебовна, Пирютко Ольга Николаевна, издательство Народная асвета, Минск, 2019, голубого цвета

Авторы: Арефьева И. Г., Пирютко О. Н.

Тип: Учебник

Издательство: Народная асвета

Год издания: 2019 - 2026

Цвет обложки: голубой с графиком

Допущено Министерством образования Республики Беларусь

Популярные ГДЗ в 10 классе

Глава 3. Производная. Параграф 19. Правила вычисления производных - номер 3.53, страница 237.

№3.53 (с. 237)
Условие. №3.53 (с. 237)
скриншот условия
Алгебра, 10 класс Учебник, авторы: Арефьева Ирина Глебовна, Пирютко Ольга Николаевна, издательство Народная асвета, Минск, 2019, голубого цвета, страница 237, номер 3.53, Условие

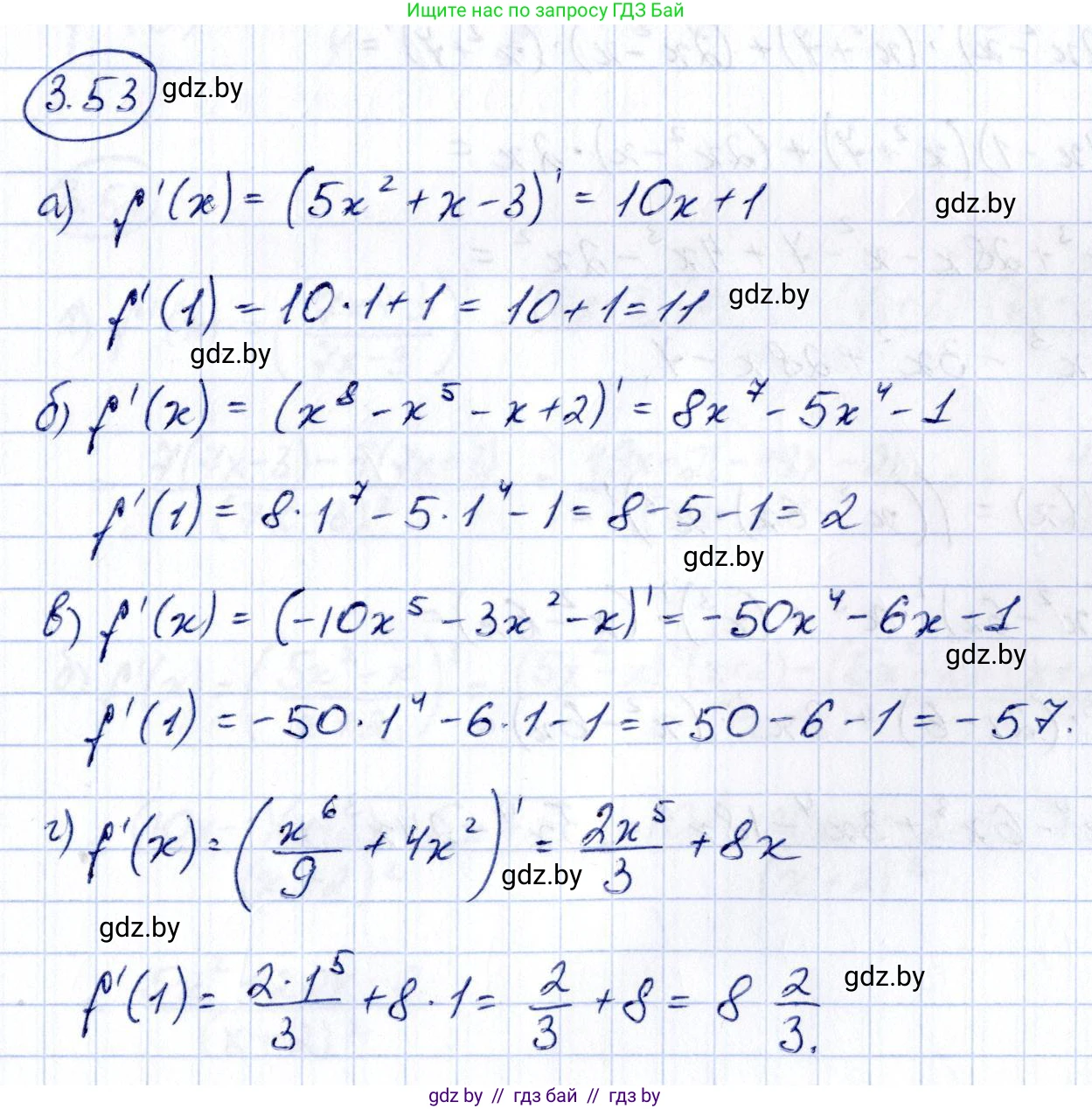
3.53. Найдите $f'(1)$ для функции:

a) $f(x) = 5x^2 + x - 3;$

б) $f(x) = x^8 - x^5 - x + 2;$

в) $f(x) = -10x^5 - 3x^2 - x;$

г) $f(x) = \frac{x^6}{9} + 4x^2.$

Решение. №3.53 (с. 237)
Алгебра, 10 класс Учебник, авторы: Арефьева Ирина Глебовна, Пирютко Ольга Николаевна, издательство Народная асвета, Минск, 2019, голубого цвета, страница 237, номер 3.53, Решение
Решение 2. №3.53 (с. 237)

а) Для функции $f(x) = 5x^2 + x - 3$ сначала найдем ее производную. Используя правило дифференцирования степенной функции $(x^n)' = nx^{n-1}$, производной суммы и правило, что производная константы равна нулю, получаем:
$f'(x) = (5x^2)' + (x)' - (3)' = 5 \cdot 2x^{2-1} + 1 - 0 = 10x + 1$.
Теперь найдем значение производной в точке $x=1$:
$f'(1) = 10 \cdot 1 + 1 = 11$.
Ответ: 11

б) Для функции $f(x) = x^8 - x^5 - x + 2$ найдем ее производную:
$f'(x) = (x^8)' - (x^5)' - (x)' + (2)' = 8x^{8-1} - 5x^{5-1} - 1 + 0 = 8x^7 - 5x^4 - 1$.
Вычислим значение производной в точке $x=1$:
$f'(1) = 8(1)^7 - 5(1)^4 - 1 = 8 - 5 - 1 = 2$.
Ответ: 2

в) Для функции $f(x) = -10x^5 - 3x^2 - x$ найдем ее производную:
$f'(x) = (-10x^5)' - (3x^2)' - (x)' = -10 \cdot 5x^{5-1} - 3 \cdot 2x^{2-1} - 1 = -50x^4 - 6x - 1$.
Вычислим значение производной в точке $x=1$:
$f'(1) = -50(1)^4 - 6(1) - 1 = -50 - 6 - 1 = -57$.
Ответ: -57

г) Для функции $f(x) = \frac{x^6}{9} + 4x^2$ найдем ее производную. Функцию можно записать как $f(x) = \frac{1}{9}x^6 + 4x^2$:
$f'(x) = (\frac{1}{9}x^6)' + (4x^2)' = \frac{1}{9} \cdot 6x^{6-1} + 4 \cdot 2x^{2-1} = \frac{6}{9}x^5 + 8x = \frac{2}{3}x^5 + 8x$.
Вычислим значение производной в точке $x=1$:
$f'(1) = \frac{2}{3}(1)^5 + 8(1) = \frac{2}{3} + 8 = \frac{2}{3} + \frac{24}{3} = \frac{26}{3}$.
Так как $\frac{26}{3}$ — неправильная дробь, выделим из нее целую часть: $\frac{26}{3} = 8\frac{2}{3}$.
Ответ: $8\frac{2}{3}$

Помогло решение? Оставьте отзыв в комментариях ниже.

Присоединяйтесь к Телеграм-группе @gdz_by_belarus

Присоединиться

Мы подготовили для вас ответ c подробным объяснением домашего задания по алгебре за 10 класс, для упражнения номер 3.53 расположенного на странице 237 к учебнику 2019 года издания для учащихся школ и гимназий.

Теперь на нашем сайте ГДЗ.ТОП вы всегда легко и бесплатно найдёте условие с правильным ответом на вопрос «Как решить ДЗ» и «Как сделать» задание по алгебре к упражнению №3.53 (с. 237), авторов: Арефьева (Ирина Глебовна), Пирютко (Ольга Николаевна), учебного пособия издательства Народная асвета.